The Acceleration Due To Gravity On Mars Is 3.7 M/S2 . Since acceleration is a vector quantity, g, needs to have both a direction and a. Identify the mass and radius of the planet. The weight on the mars calculator computes net force of gravity on a mass based on the acceleration due to gravity (g = 3.71 m/s²) on. We can use the formula: First, we need to find the mass of the spacecraft on mars. What equation should i use for. Calculate the acceleration due to gravity on the. Acceleration due to gravity is represented by the symbol g. What is the acceleration due to gravity at a distance of 1 mars radius above the surface of mars? Steps for calculating the acceleration due to gravity on a different planet. Weight = mass × acceleration due to gravity. This table contains the values of the acceleration of gravity on the surface of the planets of the solar system and their satellites.
from www.numerade.com
Acceleration due to gravity is represented by the symbol g. Calculate the acceleration due to gravity on the. First, we need to find the mass of the spacecraft on mars. Identify the mass and radius of the planet. What equation should i use for. This table contains the values of the acceleration of gravity on the surface of the planets of the solar system and their satellites. Since acceleration is a vector quantity, g, needs to have both a direction and a. What is the acceleration due to gravity at a distance of 1 mars radius above the surface of mars? The weight on the mars calculator computes net force of gravity on a mass based on the acceleration due to gravity (g = 3.71 m/s²) on. We can use the formula:
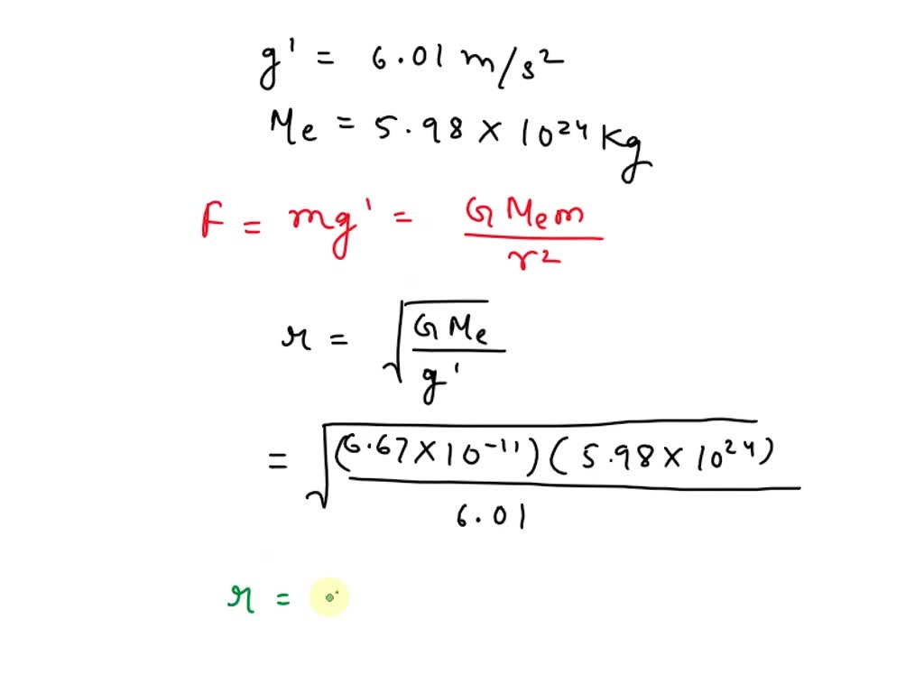
SOLVEDCalculate What is the acceleration due to gravity at the surface
The Acceleration Due To Gravity On Mars Is 3.7 M/S2 Weight = mass × acceleration due to gravity. What is the acceleration due to gravity at a distance of 1 mars radius above the surface of mars? The weight on the mars calculator computes net force of gravity on a mass based on the acceleration due to gravity (g = 3.71 m/s²) on. Calculate the acceleration due to gravity on the. Steps for calculating the acceleration due to gravity on a different planet. This table contains the values of the acceleration of gravity on the surface of the planets of the solar system and their satellites. Since acceleration is a vector quantity, g, needs to have both a direction and a. What equation should i use for. Identify the mass and radius of the planet. We can use the formula: Acceleration due to gravity is represented by the symbol g. First, we need to find the mass of the spacecraft on mars. Weight = mass × acceleration due to gravity.
From www.numerade.com
SOLVED You are assigned the design of a cylindrical, pressurized water The Acceleration Due To Gravity On Mars Is 3.7 M/S2 What equation should i use for. This table contains the values of the acceleration of gravity on the surface of the planets of the solar system and their satellites. Acceleration due to gravity is represented by the symbol g. The weight on the mars calculator computes net force of gravity on a mass based on the acceleration due to gravity. The Acceleration Due To Gravity On Mars Is 3.7 M/S2.
From www.numerade.com
SOLVED What would be the weight of one 3kg mass on where the The Acceleration Due To Gravity On Mars Is 3.7 M/S2 Identify the mass and radius of the planet. We can use the formula: What is the acceleration due to gravity at a distance of 1 mars radius above the surface of mars? Acceleration due to gravity is represented by the symbol g. Weight = mass × acceleration due to gravity. Since acceleration is a vector quantity, g, needs to have. The Acceleration Due To Gravity On Mars Is 3.7 M/S2.
From haipernews.com
How To Calculate Acceleration Due To Gravity Haiper The Acceleration Due To Gravity On Mars Is 3.7 M/S2 This table contains the values of the acceleration of gravity on the surface of the planets of the solar system and their satellites. Steps for calculating the acceleration due to gravity on a different planet. The weight on the mars calculator computes net force of gravity on a mass based on the acceleration due to gravity (g = 3.71 m/s²). The Acceleration Due To Gravity On Mars Is 3.7 M/S2.
From www.numerade.com
The acceleration due to gravity near the surface of Mars is 3.69 m/s² The Acceleration Due To Gravity On Mars Is 3.7 M/S2 Calculate the acceleration due to gravity on the. What is the acceleration due to gravity at a distance of 1 mars radius above the surface of mars? First, we need to find the mass of the spacecraft on mars. The weight on the mars calculator computes net force of gravity on a mass based on the acceleration due to gravity. The Acceleration Due To Gravity On Mars Is 3.7 M/S2.
From www.youtube.com
HCV Suppose, the acceleration due to gravity at the earth's surface is The Acceleration Due To Gravity On Mars Is 3.7 M/S2 Calculate the acceleration due to gravity on the. What is the acceleration due to gravity at a distance of 1 mars radius above the surface of mars? Weight = mass × acceleration due to gravity. Since acceleration is a vector quantity, g, needs to have both a direction and a. Acceleration due to gravity is represented by the symbol g.. The Acceleration Due To Gravity On Mars Is 3.7 M/S2.
From www.numerade.com
SOLVED (12 points) The acceleration due to the gravity on Mars is 3.7 The Acceleration Due To Gravity On Mars Is 3.7 M/S2 Identify the mass and radius of the planet. What equation should i use for. We can use the formula: Calculate the acceleration due to gravity on the. The weight on the mars calculator computes net force of gravity on a mass based on the acceleration due to gravity (g = 3.71 m/s²) on. Weight = mass × acceleration due to. The Acceleration Due To Gravity On Mars Is 3.7 M/S2.
From slideplayer.com
Acceleration Due to Gravity ppt download The Acceleration Due To Gravity On Mars Is 3.7 M/S2 Steps for calculating the acceleration due to gravity on a different planet. What equation should i use for. Acceleration due to gravity is represented by the symbol g. First, we need to find the mass of the spacecraft on mars. What is the acceleration due to gravity at a distance of 1 mars radius above the surface of mars? This. The Acceleration Due To Gravity On Mars Is 3.7 M/S2.
From www.slideserve.com
PPT Ch5.1 Centripetal Force PowerPoint Presentation, free download The Acceleration Due To Gravity On Mars Is 3.7 M/S2 Calculate the acceleration due to gravity on the. What equation should i use for. Identify the mass and radius of the planet. We can use the formula: Since acceleration is a vector quantity, g, needs to have both a direction and a. Steps for calculating the acceleration due to gravity on a different planet. Weight = mass × acceleration due. The Acceleration Due To Gravity On Mars Is 3.7 M/S2.
From studylib.net
Acceleration due to Gravity The Acceleration Due To Gravity On Mars Is 3.7 M/S2 Calculate the acceleration due to gravity on the. First, we need to find the mass of the spacecraft on mars. What equation should i use for. Since acceleration is a vector quantity, g, needs to have both a direction and a. The weight on the mars calculator computes net force of gravity on a mass based on the acceleration due. The Acceleration Due To Gravity On Mars Is 3.7 M/S2.
From www.numerade.com
SOLVED 'The acceleration due to gravity on Mars is 3.71 m/s? The mass The Acceleration Due To Gravity On Mars Is 3.7 M/S2 Weight = mass × acceleration due to gravity. We can use the formula: What is the acceleration due to gravity at a distance of 1 mars radius above the surface of mars? Since acceleration is a vector quantity, g, needs to have both a direction and a. Identify the mass and radius of the planet. Steps for calculating the acceleration. The Acceleration Due To Gravity On Mars Is 3.7 M/S2.
From www.youtube.com
What is the acceleration due to gravity on moon?? YouTube The Acceleration Due To Gravity On Mars Is 3.7 M/S2 This table contains the values of the acceleration of gravity on the surface of the planets of the solar system and their satellites. What is the acceleration due to gravity at a distance of 1 mars radius above the surface of mars? First, we need to find the mass of the spacecraft on mars. Since acceleration is a vector quantity,. The Acceleration Due To Gravity On Mars Is 3.7 M/S2.
From www.numerade.com
SOLVEDThe acceleration due to gravity at the surface of Mars is 38 The Acceleration Due To Gravity On Mars Is 3.7 M/S2 Steps for calculating the acceleration due to gravity on a different planet. This table contains the values of the acceleration of gravity on the surface of the planets of the solar system and their satellites. Weight = mass × acceleration due to gravity. The weight on the mars calculator computes net force of gravity on a mass based on the. The Acceleration Due To Gravity On Mars Is 3.7 M/S2.
From www.doubtnut.com
Suppose the acceleration due to gravity at the earths surface is The Acceleration Due To Gravity On Mars Is 3.7 M/S2 Weight = mass × acceleration due to gravity. The weight on the mars calculator computes net force of gravity on a mass based on the acceleration due to gravity (g = 3.71 m/s²) on. Since acceleration is a vector quantity, g, needs to have both a direction and a. Identify the mass and radius of the planet. Acceleration due to. The Acceleration Due To Gravity On Mars Is 3.7 M/S2.
From www.numerade.com
On the Mars, the gravitational acceleration is 3.7 m/s2 The Acceleration Due To Gravity On Mars Is 3.7 M/S2 Steps for calculating the acceleration due to gravity on a different planet. Calculate the acceleration due to gravity on the. This table contains the values of the acceleration of gravity on the surface of the planets of the solar system and their satellites. The weight on the mars calculator computes net force of gravity on a mass based on the. The Acceleration Due To Gravity On Mars Is 3.7 M/S2.
From slideplayer.com
Acceleration Due to Gravity ppt download The Acceleration Due To Gravity On Mars Is 3.7 M/S2 What equation should i use for. We can use the formula: Acceleration due to gravity is represented by the symbol g. Since acceleration is a vector quantity, g, needs to have both a direction and a. Weight = mass × acceleration due to gravity. Identify the mass and radius of the planet. This table contains the values of the acceleration. The Acceleration Due To Gravity On Mars Is 3.7 M/S2.
From www.slideserve.com
PPT Linear Motion Review PowerPoint Presentation, free download ID The Acceleration Due To Gravity On Mars Is 3.7 M/S2 Acceleration due to gravity is represented by the symbol g. Since acceleration is a vector quantity, g, needs to have both a direction and a. What is the acceleration due to gravity at a distance of 1 mars radius above the surface of mars? This table contains the values of the acceleration of gravity on the surface of the planets. The Acceleration Due To Gravity On Mars Is 3.7 M/S2.
From www.slideserve.com
PPT A Brief Introduction to Gravity PowerPoint Presentation, free The Acceleration Due To Gravity On Mars Is 3.7 M/S2 Calculate the acceleration due to gravity on the. Acceleration due to gravity is represented by the symbol g. Weight = mass × acceleration due to gravity. Steps for calculating the acceleration due to gravity on a different planet. What equation should i use for. The weight on the mars calculator computes net force of gravity on a mass based on. The Acceleration Due To Gravity On Mars Is 3.7 M/S2.
From www.numerade.com
SOLVEDCalculate What is the acceleration due to gravity at the surface The Acceleration Due To Gravity On Mars Is 3.7 M/S2 Identify the mass and radius of the planet. Steps for calculating the acceleration due to gravity on a different planet. The weight on the mars calculator computes net force of gravity on a mass based on the acceleration due to gravity (g = 3.71 m/s²) on. Acceleration due to gravity is represented by the symbol g. Calculate the acceleration due. The Acceleration Due To Gravity On Mars Is 3.7 M/S2.
From www.numerade.com
SOLVED An artificial satellite circles the Earth in a circular orbit The Acceleration Due To Gravity On Mars Is 3.7 M/S2 What equation should i use for. We can use the formula: What is the acceleration due to gravity at a distance of 1 mars radius above the surface of mars? The weight on the mars calculator computes net force of gravity on a mass based on the acceleration due to gravity (g = 3.71 m/s²) on. This table contains the. The Acceleration Due To Gravity On Mars Is 3.7 M/S2.
From www.chegg.com
Solved The freefall acceleration on Mars is 3.7 m/s2. (a) The Acceleration Due To Gravity On Mars Is 3.7 M/S2 Calculate the acceleration due to gravity on the. What is the acceleration due to gravity at a distance of 1 mars radius above the surface of mars? Acceleration due to gravity is represented by the symbol g. What equation should i use for. The weight on the mars calculator computes net force of gravity on a mass based on the. The Acceleration Due To Gravity On Mars Is 3.7 M/S2.
From www.numerade.com
SOLVED At a given point above the Earth's surface, the acceleration The Acceleration Due To Gravity On Mars Is 3.7 M/S2 Acceleration due to gravity is represented by the symbol g. Since acceleration is a vector quantity, g, needs to have both a direction and a. Steps for calculating the acceleration due to gravity on a different planet. What is the acceleration due to gravity at a distance of 1 mars radius above the surface of mars? This table contains the. The Acceleration Due To Gravity On Mars Is 3.7 M/S2.
From exohirord.blob.core.windows.net
Find The Acceleration Due To Gravity On The Surface Of Mars at Errol The Acceleration Due To Gravity On Mars Is 3.7 M/S2 Identify the mass and radius of the planet. What is the acceleration due to gravity at a distance of 1 mars radius above the surface of mars? Calculate the acceleration due to gravity on the. Weight = mass × acceleration due to gravity. The weight on the mars calculator computes net force of gravity on a mass based on the. The Acceleration Due To Gravity On Mars Is 3.7 M/S2.
From tyree-bloglucero.blogspot.com
How to Calculate Acceleration Due to Gravity on Mars The Acceleration Due To Gravity On Mars Is 3.7 M/S2 This table contains the values of the acceleration of gravity on the surface of the planets of the solar system and their satellites. Weight = mass × acceleration due to gravity. Identify the mass and radius of the planet. Steps for calculating the acceleration due to gravity on a different planet. What is the acceleration due to gravity at a. The Acceleration Due To Gravity On Mars Is 3.7 M/S2.
From www.chegg.com
Solved The gravitational acceleration on Mars is 3.70 m/s2. The Acceleration Due To Gravity On Mars Is 3.7 M/S2 First, we need to find the mass of the spacecraft on mars. Acceleration due to gravity is represented by the symbol g. Identify the mass and radius of the planet. Calculate the acceleration due to gravity on the. Weight = mass × acceleration due to gravity. This table contains the values of the acceleration of gravity on the surface of. The Acceleration Due To Gravity On Mars Is 3.7 M/S2.
From www.numerade.com
SOLVED The freefall acceleration on Mars is 3.7 m/s2. (a) What length The Acceleration Due To Gravity On Mars Is 3.7 M/S2 This table contains the values of the acceleration of gravity on the surface of the planets of the solar system and their satellites. First, we need to find the mass of the spacecraft on mars. Calculate the acceleration due to gravity on the. What equation should i use for. Weight = mass × acceleration due to gravity. Acceleration due to. The Acceleration Due To Gravity On Mars Is 3.7 M/S2.
From www.youtube.com
The freefall acceleration on Mars is 3.7 m/s2. (a) What length of The Acceleration Due To Gravity On Mars Is 3.7 M/S2 Steps for calculating the acceleration due to gravity on a different planet. The weight on the mars calculator computes net force of gravity on a mass based on the acceleration due to gravity (g = 3.71 m/s²) on. We can use the formula: What is the acceleration due to gravity at a distance of 1 mars radius above the surface. The Acceleration Due To Gravity On Mars Is 3.7 M/S2.
From www.youtube.com
Acceleration due to gravity below and above the surface of the earth The Acceleration Due To Gravity On Mars Is 3.7 M/S2 We can use the formula: What equation should i use for. Acceleration due to gravity is represented by the symbol g. The weight on the mars calculator computes net force of gravity on a mass based on the acceleration due to gravity (g = 3.71 m/s²) on. This table contains the values of the acceleration of gravity on the surface. The Acceleration Due To Gravity On Mars Is 3.7 M/S2.
From tyree-bloglucero.blogspot.com
How to Calculate Acceleration Due to Gravity on Mars The Acceleration Due To Gravity On Mars Is 3.7 M/S2 Acceleration due to gravity is represented by the symbol g. The weight on the mars calculator computes net force of gravity on a mass based on the acceleration due to gravity (g = 3.71 m/s²) on. Steps for calculating the acceleration due to gravity on a different planet. What equation should i use for. What is the acceleration due to. The Acceleration Due To Gravity On Mars Is 3.7 M/S2.
From tyree-bloglucero.blogspot.com
How to Calculate Acceleration Due to Gravity on Mars The Acceleration Due To Gravity On Mars Is 3.7 M/S2 Calculate the acceleration due to gravity on the. We can use the formula: What is the acceleration due to gravity at a distance of 1 mars radius above the surface of mars? This table contains the values of the acceleration of gravity on the surface of the planets of the solar system and their satellites. First, we need to find. The Acceleration Due To Gravity On Mars Is 3.7 M/S2.
From tyree-bloglucero.blogspot.com
How to Calculate Acceleration Due to Gravity on Mars The Acceleration Due To Gravity On Mars Is 3.7 M/S2 Steps for calculating the acceleration due to gravity on a different planet. The weight on the mars calculator computes net force of gravity on a mass based on the acceleration due to gravity (g = 3.71 m/s²) on. What is the acceleration due to gravity at a distance of 1 mars radius above the surface of mars? Weight = mass. The Acceleration Due To Gravity On Mars Is 3.7 M/S2.
From www.coursehero.com
[Solved] Convert acceleration due to gravity (g=9.8066m/s2 ) of SI to The Acceleration Due To Gravity On Mars Is 3.7 M/S2 What equation should i use for. The weight on the mars calculator computes net force of gravity on a mass based on the acceleration due to gravity (g = 3.71 m/s²) on. Acceleration due to gravity is represented by the symbol g. Weight = mass × acceleration due to gravity. What is the acceleration due to gravity at a distance. The Acceleration Due To Gravity On Mars Is 3.7 M/S2.
From www.pw.live
Acceleration Due To Gravity,Force Important Points, JEE Physics 2024 PW The Acceleration Due To Gravity On Mars Is 3.7 M/S2 This table contains the values of the acceleration of gravity on the surface of the planets of the solar system and their satellites. What equation should i use for. Identify the mass and radius of the planet. First, we need to find the mass of the spacecraft on mars. Weight = mass × acceleration due to gravity. Acceleration due to. The Acceleration Due To Gravity On Mars Is 3.7 M/S2.
From www.slideserve.com
PPT Acceleration PowerPoint Presentation, free download ID7064608 The Acceleration Due To Gravity On Mars Is 3.7 M/S2 What equation should i use for. The weight on the mars calculator computes net force of gravity on a mass based on the acceleration due to gravity (g = 3.71 m/s²) on. Since acceleration is a vector quantity, g, needs to have both a direction and a. We can use the formula: First, we need to find the mass of. The Acceleration Due To Gravity On Mars Is 3.7 M/S2.
From www.toppr.com
The freefall acceleration on Mars is 3.7 m/s^2. (a) What length of The Acceleration Due To Gravity On Mars Is 3.7 M/S2 This table contains the values of the acceleration of gravity on the surface of the planets of the solar system and their satellites. Steps for calculating the acceleration due to gravity on a different planet. What is the acceleration due to gravity at a distance of 1 mars radius above the surface of mars? Weight = mass × acceleration due. The Acceleration Due To Gravity On Mars Is 3.7 M/S2.
From www.toppr.com
The value of acceleration due to gravity near the earth's surface is The Acceleration Due To Gravity On Mars Is 3.7 M/S2 Steps for calculating the acceleration due to gravity on a different planet. What equation should i use for. Identify the mass and radius of the planet. Calculate the acceleration due to gravity on the. Acceleration due to gravity is represented by the symbol g. Since acceleration is a vector quantity, g, needs to have both a direction and a. We. The Acceleration Due To Gravity On Mars Is 3.7 M/S2.