Capacitors Permittivity Of Free Space . C = ε (a/d) where ε represents the absolute permittivity of the. \(\epsilon_o\) is a universal constant called the permittivity of free space. the capacitance c of a parallel plate capacitor with plates each having cross sectional area a, separated by a distance d is given by c = dϵ0a, where ϵ0 is the. the generalised equation for the capacitance of a parallel plate capacitor is given as: describe how to evaluate the capacitance of a system of conductors. A capacitor is a device used to store electrical charge and electrical energy. Calling the dielectric constant for. often, rather than the dielectric constant, one uses the “permittivity”, \(\epsilon\), of a material:
from www.researchgate.net
A capacitor is a device used to store electrical charge and electrical energy. the capacitance c of a parallel plate capacitor with plates each having cross sectional area a, separated by a distance d is given by c = dϵ0a, where ϵ0 is the. often, rather than the dielectric constant, one uses the “permittivity”, \(\epsilon\), of a material: describe how to evaluate the capacitance of a system of conductors. the generalised equation for the capacitance of a parallel plate capacitor is given as: C = ε (a/d) where ε represents the absolute permittivity of the. \(\epsilon_o\) is a universal constant called the permittivity of free space. Calling the dielectric constant for.
(Color online) Capacitance per unit area of the constructed parallel
Capacitors Permittivity Of Free Space describe how to evaluate the capacitance of a system of conductors. often, rather than the dielectric constant, one uses the “permittivity”, \(\epsilon\), of a material: the capacitance c of a parallel plate capacitor with plates each having cross sectional area a, separated by a distance d is given by c = dϵ0a, where ϵ0 is the. A capacitor is a device used to store electrical charge and electrical energy. Calling the dielectric constant for. C = ε (a/d) where ε represents the absolute permittivity of the. \(\epsilon_o\) is a universal constant called the permittivity of free space. describe how to evaluate the capacitance of a system of conductors. the generalised equation for the capacitance of a parallel plate capacitor is given as:
From www.slideserve.com
PPT Capacitors with Dielectrics PowerPoint Presentation, free Capacitors Permittivity Of Free Space Calling the dielectric constant for. A capacitor is a device used to store electrical charge and electrical energy. describe how to evaluate the capacitance of a system of conductors. often, rather than the dielectric constant, one uses the “permittivity”, \(\epsilon\), of a material: the generalised equation for the capacitance of a parallel plate capacitor is given as:. Capacitors Permittivity Of Free Space.
From www.toppr.com
The figure shows two identical parallel plate capacitors connected to a Capacitors Permittivity Of Free Space describe how to evaluate the capacitance of a system of conductors. the generalised equation for the capacitance of a parallel plate capacitor is given as: the capacitance c of a parallel plate capacitor with plates each having cross sectional area a, separated by a distance d is given by c = dϵ0a, where ϵ0 is the. . Capacitors Permittivity Of Free Space.
From www.doubtnut.com
The figure shows two identical parallel plate capacitors connected Capacitors Permittivity Of Free Space C = ε (a/d) where ε represents the absolute permittivity of the. A capacitor is a device used to store electrical charge and electrical energy. describe how to evaluate the capacitance of a system of conductors. Calling the dielectric constant for. often, rather than the dielectric constant, one uses the “permittivity”, \(\epsilon\), of a material: the generalised. Capacitors Permittivity Of Free Space.
From www.numerade.com
SOLVED Two dielectrics with dielectric constants K1=3 and K2=5 each Capacitors Permittivity Of Free Space the capacitance c of a parallel plate capacitor with plates each having cross sectional area a, separated by a distance d is given by c = dϵ0a, where ϵ0 is the. often, rather than the dielectric constant, one uses the “permittivity”, \(\epsilon\), of a material: A capacitor is a device used to store electrical charge and electrical energy.. Capacitors Permittivity Of Free Space.
From slideplayer.com
Battery or “power supply” ppt download Capacitors Permittivity Of Free Space describe how to evaluate the capacitance of a system of conductors. the capacitance c of a parallel plate capacitor with plates each having cross sectional area a, separated by a distance d is given by c = dϵ0a, where ϵ0 is the. \(\epsilon_o\) is a universal constant called the permittivity of free space. C = ε (a/d). Capacitors Permittivity Of Free Space.
From www.chegg.com
Solved 2) A parallel plate capacitor with electrodes of area Capacitors Permittivity Of Free Space A capacitor is a device used to store electrical charge and electrical energy. describe how to evaluate the capacitance of a system of conductors. C = ε (a/d) where ε represents the absolute permittivity of the. the generalised equation for the capacitance of a parallel plate capacitor is given as: the capacitance c of a parallel plate. Capacitors Permittivity Of Free Space.
From www.toppr.com
The figure shows two identical parallel plate capacitors connected to a Capacitors Permittivity Of Free Space C = ε (a/d) where ε represents the absolute permittivity of the. A capacitor is a device used to store electrical charge and electrical energy. the capacitance c of a parallel plate capacitor with plates each having cross sectional area a, separated by a distance d is given by c = dϵ0a, where ϵ0 is the. often, rather. Capacitors Permittivity Of Free Space.
From www.chegg.com
Solved 2. (a) The space between a parallelplate capacitor Capacitors Permittivity Of Free Space often, rather than the dielectric constant, one uses the “permittivity”, \(\epsilon\), of a material: C = ε (a/d) where ε represents the absolute permittivity of the. Calling the dielectric constant for. the generalised equation for the capacitance of a parallel plate capacitor is given as: A capacitor is a device used to store electrical charge and electrical energy.. Capacitors Permittivity Of Free Space.
From www.slideserve.com
PPT Capacitors PowerPoint Presentation, free download ID1282916 Capacitors Permittivity Of Free Space describe how to evaluate the capacitance of a system of conductors. \(\epsilon_o\) is a universal constant called the permittivity of free space. the generalised equation for the capacitance of a parallel plate capacitor is given as: C = ε (a/d) where ε represents the absolute permittivity of the. Calling the dielectric constant for. often, rather than. Capacitors Permittivity Of Free Space.
From slideplayer.com
Practice 6—Electric Charge, Fields, and Capacitors ppt download Capacitors Permittivity Of Free Space C = ε (a/d) where ε represents the absolute permittivity of the. A capacitor is a device used to store electrical charge and electrical energy. describe how to evaluate the capacitance of a system of conductors. Calling the dielectric constant for. often, rather than the dielectric constant, one uses the “permittivity”, \(\epsilon\), of a material: the capacitance. Capacitors Permittivity Of Free Space.
From www.researchgate.net
(Color online) Capacitance per unit area of the constructed parallel Capacitors Permittivity Of Free Space C = ε (a/d) where ε represents the absolute permittivity of the. \(\epsilon_o\) is a universal constant called the permittivity of free space. the capacitance c of a parallel plate capacitor with plates each having cross sectional area a, separated by a distance d is given by c = dϵ0a, where ϵ0 is the. often, rather than. Capacitors Permittivity Of Free Space.
From www.coursehero.com
Capacitors and Dielectrics Physics Course Hero Capacitors Permittivity Of Free Space \(\epsilon_o\) is a universal constant called the permittivity of free space. the generalised equation for the capacitance of a parallel plate capacitor is given as: the capacitance c of a parallel plate capacitor with plates each having cross sectional area a, separated by a distance d is given by c = dϵ0a, where ϵ0 is the. A. Capacitors Permittivity Of Free Space.
From slidetodoc.com
Lecture 7 Capacitors and dielectric permittivity Capacitance of Capacitors Permittivity Of Free Space Calling the dielectric constant for. the generalised equation for the capacitance of a parallel plate capacitor is given as: often, rather than the dielectric constant, one uses the “permittivity”, \(\epsilon\), of a material: \(\epsilon_o\) is a universal constant called the permittivity of free space. C = ε (a/d) where ε represents the absolute permittivity of the. . Capacitors Permittivity Of Free Space.
From www.numerade.com
SOLVED Consider a spherical capacitor, like the one from Textbook Capacitors Permittivity Of Free Space often, rather than the dielectric constant, one uses the “permittivity”, \(\epsilon\), of a material: describe how to evaluate the capacitance of a system of conductors. C = ε (a/d) where ε represents the absolute permittivity of the. the generalised equation for the capacitance of a parallel plate capacitor is given as: Calling the dielectric constant for. . Capacitors Permittivity Of Free Space.
From www.youtube.com
Permittivity, Relative Permittivity And Dielectric Constant Capacitors Permittivity Of Free Space A capacitor is a device used to store electrical charge and electrical energy. often, rather than the dielectric constant, one uses the “permittivity”, \(\epsilon\), of a material: C = ε (a/d) where ε represents the absolute permittivity of the. the generalised equation for the capacitance of a parallel plate capacitor is given as: \(\epsilon_o\) is a universal. Capacitors Permittivity Of Free Space.
From www.toppr.com
The figure shows two identical parallel plate capacitors connected to a Capacitors Permittivity Of Free Space describe how to evaluate the capacitance of a system of conductors. C = ε (a/d) where ε represents the absolute permittivity of the. often, rather than the dielectric constant, one uses the “permittivity”, \(\epsilon\), of a material: Calling the dielectric constant for. the capacitance c of a parallel plate capacitor with plates each having cross sectional area. Capacitors Permittivity Of Free Space.
From www.slideserve.com
PPT Capacitors Chapter 12 PowerPoint Presentation, free download ID Capacitors Permittivity Of Free Space the generalised equation for the capacitance of a parallel plate capacitor is given as: the capacitance c of a parallel plate capacitor with plates each having cross sectional area a, separated by a distance d is given by c = dϵ0a, where ϵ0 is the. describe how to evaluate the capacitance of a system of conductors. . Capacitors Permittivity Of Free Space.
From www.engineersgarage.com
Basic Electronics Capacitance, Construction, Types and Properties of Capacitors Permittivity Of Free Space often, rather than the dielectric constant, one uses the “permittivity”, \(\epsilon\), of a material: \(\epsilon_o\) is a universal constant called the permittivity of free space. C = ε (a/d) where ε represents the absolute permittivity of the. describe how to evaluate the capacitance of a system of conductors. Calling the dielectric constant for. the capacitance c. Capacitors Permittivity Of Free Space.
From www.numerade.com
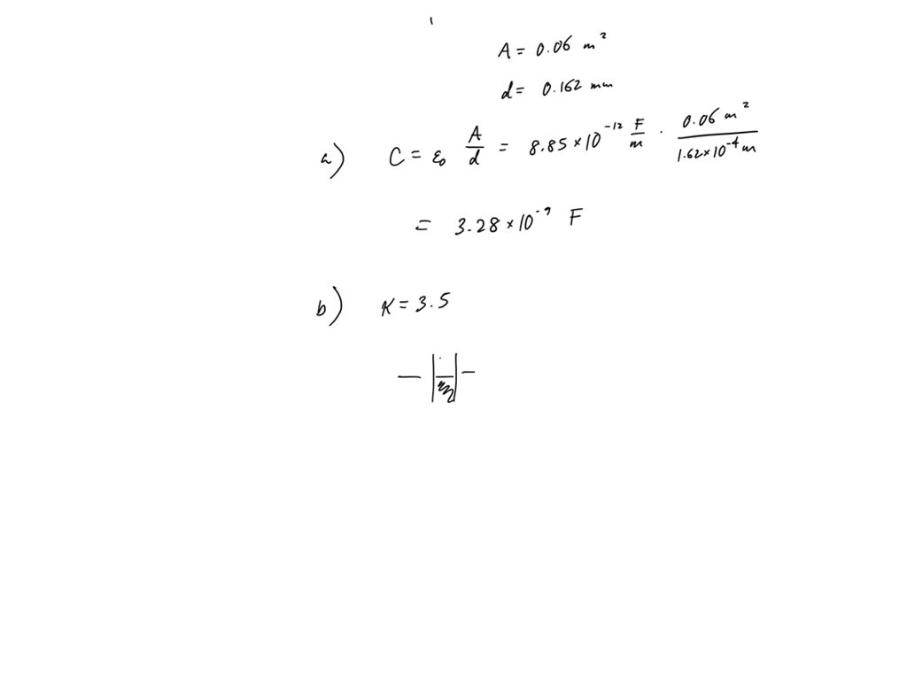
SOLVED Texts A parallel plate capacitor has plates of area A = 7 Capacitors Permittivity Of Free Space A capacitor is a device used to store electrical charge and electrical energy. Calling the dielectric constant for. the generalised equation for the capacitance of a parallel plate capacitor is given as: often, rather than the dielectric constant, one uses the “permittivity”, \(\epsilon\), of a material: the capacitance c of a parallel plate capacitor with plates each. Capacitors Permittivity Of Free Space.
From www.slideshare.net
Intro To Capacitors Capacitors Permittivity Of Free Space the generalised equation for the capacitance of a parallel plate capacitor is given as: Calling the dielectric constant for. \(\epsilon_o\) is a universal constant called the permittivity of free space. the capacitance c of a parallel plate capacitor with plates each having cross sectional area a, separated by a distance d is given by c = dϵ0a,. Capacitors Permittivity Of Free Space.
From www.doubtnut.com
Figure shows two identical parallel plate capacitors connected to a ba Capacitors Permittivity Of Free Space Calling the dielectric constant for. the capacitance c of a parallel plate capacitor with plates each having cross sectional area a, separated by a distance d is given by c = dϵ0a, where ϵ0 is the. A capacitor is a device used to store electrical charge and electrical energy. C = ε (a/d) where ε represents the absolute permittivity. Capacitors Permittivity Of Free Space.
From www.youtube.com
Capacitance of Parallel Plate Capacitor in Terms of Area, Distance an Capacitors Permittivity Of Free Space often, rather than the dielectric constant, one uses the “permittivity”, \(\epsilon\), of a material: A capacitor is a device used to store electrical charge and electrical energy. Calling the dielectric constant for. describe how to evaluate the capacitance of a system of conductors. C = ε (a/d) where ε represents the absolute permittivity of the. the capacitance. Capacitors Permittivity Of Free Space.
From www.researchgate.net
The relative permittivity and the permeability of the NZRIM with Capacitors Permittivity Of Free Space C = ε (a/d) where ε represents the absolute permittivity of the. the capacitance c of a parallel plate capacitor with plates each having cross sectional area a, separated by a distance d is given by c = dϵ0a, where ϵ0 is the. describe how to evaluate the capacitance of a system of conductors. Calling the dielectric constant. Capacitors Permittivity Of Free Space.
From www.slideserve.com
PPT Physics 2113 Lecture 06 WED 01 OCT PowerPoint Presentation, free Capacitors Permittivity Of Free Space \(\epsilon_o\) is a universal constant called the permittivity of free space. Calling the dielectric constant for. often, rather than the dielectric constant, one uses the “permittivity”, \(\epsilon\), of a material: describe how to evaluate the capacitance of a system of conductors. A capacitor is a device used to store electrical charge and electrical energy. the capacitance. Capacitors Permittivity Of Free Space.
From slideplayer.com
C H A P T E R 19 Electric Potential Energy and the Electric Potential Capacitors Permittivity Of Free Space C = ε (a/d) where ε represents the absolute permittivity of the. the generalised equation for the capacitance of a parallel plate capacitor is given as: \(\epsilon_o\) is a universal constant called the permittivity of free space. A capacitor is a device used to store electrical charge and electrical energy. Calling the dielectric constant for. the capacitance. Capacitors Permittivity Of Free Space.
From www.toppr.com
The figure shows two identical parallel plate capacitors connected to a Capacitors Permittivity Of Free Space \(\epsilon_o\) is a universal constant called the permittivity of free space. the capacitance c of a parallel plate capacitor with plates each having cross sectional area a, separated by a distance d is given by c = dϵ0a, where ϵ0 is the. A capacitor is a device used to store electrical charge and electrical energy. Calling the dielectric. Capacitors Permittivity Of Free Space.
From www.doubtnut.com
The figure shows two identical parallel plate capacitors connected Capacitors Permittivity Of Free Space describe how to evaluate the capacitance of a system of conductors. Calling the dielectric constant for. A capacitor is a device used to store electrical charge and electrical energy. the generalised equation for the capacitance of a parallel plate capacitor is given as: \(\epsilon_o\) is a universal constant called the permittivity of free space. often, rather. Capacitors Permittivity Of Free Space.
From www.researchgate.net
(PDF) Dielectric constant and permittivity of free space measurement of Capacitors Permittivity Of Free Space A capacitor is a device used to store electrical charge and electrical energy. the capacitance c of a parallel plate capacitor with plates each having cross sectional area a, separated by a distance d is given by c = dϵ0a, where ϵ0 is the. C = ε (a/d) where ε represents the absolute permittivity of the. Calling the dielectric. Capacitors Permittivity Of Free Space.
From www.coursehero.com
Capacitors and Dielectrics Physics Course Hero Capacitors Permittivity Of Free Space Calling the dielectric constant for. often, rather than the dielectric constant, one uses the “permittivity”, \(\epsilon\), of a material: describe how to evaluate the capacitance of a system of conductors. the generalised equation for the capacitance of a parallel plate capacitor is given as: A capacitor is a device used to store electrical charge and electrical energy.. Capacitors Permittivity Of Free Space.
From www.numerade.com
SOLVED A parallel plate capacitor has plates of area A = 6.00 Capacitors Permittivity Of Free Space Calling the dielectric constant for. \(\epsilon_o\) is a universal constant called the permittivity of free space. C = ε (a/d) where ε represents the absolute permittivity of the. often, rather than the dielectric constant, one uses the “permittivity”, \(\epsilon\), of a material: describe how to evaluate the capacitance of a system of conductors. the generalised equation. Capacitors Permittivity Of Free Space.
From www.numerade.com
SOLVED 3 As is shown in the figure; capacitor consists of two Capacitors Permittivity Of Free Space Calling the dielectric constant for. the generalised equation for the capacitance of a parallel plate capacitor is given as: describe how to evaluate the capacitance of a system of conductors. the capacitance c of a parallel plate capacitor with plates each having cross sectional area a, separated by a distance d is given by c = dϵ0a,. Capacitors Permittivity Of Free Space.
From slideplayer.com
Electric potential, Systems of charges ppt download Capacitors Permittivity Of Free Space the generalised equation for the capacitance of a parallel plate capacitor is given as: often, rather than the dielectric constant, one uses the “permittivity”, \(\epsilon\), of a material: \(\epsilon_o\) is a universal constant called the permittivity of free space. the capacitance c of a parallel plate capacitor with plates each having cross sectional area a, separated. Capacitors Permittivity Of Free Space.
From www.numerade.com
SOLVED The Figure below depicts a capacitor consisting of two parallel Capacitors Permittivity Of Free Space the capacitance c of a parallel plate capacitor with plates each having cross sectional area a, separated by a distance d is given by c = dϵ0a, where ϵ0 is the. describe how to evaluate the capacitance of a system of conductors. \(\epsilon_o\) is a universal constant called the permittivity of free space. C = ε (a/d). Capacitors Permittivity Of Free Space.
From www.numerade.com
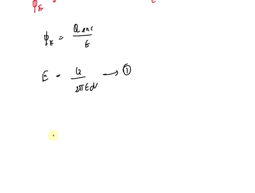
SOLVED Use Gauss's Law to show that for a parallel plate capacitor Capacitors Permittivity Of Free Space C = ε (a/d) where ε represents the absolute permittivity of the. describe how to evaluate the capacitance of a system of conductors. the capacitance c of a parallel plate capacitor with plates each having cross sectional area a, separated by a distance d is given by c = dϵ0a, where ϵ0 is the. Calling the dielectric constant. Capacitors Permittivity Of Free Space.
From slidetodoc.com
Lecture 7 Capacitors and dielectric permittivity Capacitance of Capacitors Permittivity Of Free Space the generalised equation for the capacitance of a parallel plate capacitor is given as: describe how to evaluate the capacitance of a system of conductors. A capacitor is a device used to store electrical charge and electrical energy. Calling the dielectric constant for. C = ε (a/d) where ε represents the absolute permittivity of the. the capacitance. Capacitors Permittivity Of Free Space.