Gas Calculator Hydrogen . Read on to learn more. This calculator allows you to calculate the amount of each fuel necessary to provide the same energy as 1 kg of hydrogen, 1 million cubic feet natural. Cmb.tech offers a comprehensive tool for calculating the mass of hydrogen based on pressure, temperature, and volume, as well as for converting between mass and. Calculator to accurately convert hydrogen volume, mass, temperature, and pressure. This molar mass of gas calculator is a tool that uses the ideal gas law formula to work out an unknown gas' molar mass and the number of moles of it present. Hyarc calculators provide various tools for hydrogen energy conversions, equivalency, equation of state, financial analysis, and unit. Find out how to convert between hydrogen mass and volume or mass and energy using the online calculators. Calculate the pressure, volume, temperature or quantity of a gas using the ideal gas formula (pv = nrt) and its component laws.
from www.numerade.com
This molar mass of gas calculator is a tool that uses the ideal gas law formula to work out an unknown gas' molar mass and the number of moles of it present. Find out how to convert between hydrogen mass and volume or mass and energy using the online calculators. Cmb.tech offers a comprehensive tool for calculating the mass of hydrogen based on pressure, temperature, and volume, as well as for converting between mass and. Read on to learn more. Calculator to accurately convert hydrogen volume, mass, temperature, and pressure. This calculator allows you to calculate the amount of each fuel necessary to provide the same energy as 1 kg of hydrogen, 1 million cubic feet natural. Calculate the pressure, volume, temperature or quantity of a gas using the ideal gas formula (pv = nrt) and its component laws. Hyarc calculators provide various tools for hydrogen energy conversions, equivalency, equation of state, financial analysis, and unit.
SOLVED In the lab, students generated and collected hydrogen gas according to the following
Gas Calculator Hydrogen Cmb.tech offers a comprehensive tool for calculating the mass of hydrogen based on pressure, temperature, and volume, as well as for converting between mass and. Calculator to accurately convert hydrogen volume, mass, temperature, and pressure. Hyarc calculators provide various tools for hydrogen energy conversions, equivalency, equation of state, financial analysis, and unit. This molar mass of gas calculator is a tool that uses the ideal gas law formula to work out an unknown gas' molar mass and the number of moles of it present. Cmb.tech offers a comprehensive tool for calculating the mass of hydrogen based on pressure, temperature, and volume, as well as for converting between mass and. This calculator allows you to calculate the amount of each fuel necessary to provide the same energy as 1 kg of hydrogen, 1 million cubic feet natural. Find out how to convert between hydrogen mass and volume or mass and energy using the online calculators. Read on to learn more. Calculate the pressure, volume, temperature or quantity of a gas using the ideal gas formula (pv = nrt) and its component laws.
From www.numerade.com
SOLVED A hydrogen fuel cell gas chamber is .1 L. Calculate the volume of water needed to Gas Calculator Hydrogen Calculator to accurately convert hydrogen volume, mass, temperature, and pressure. Find out how to convert between hydrogen mass and volume or mass and energy using the online calculators. This molar mass of gas calculator is a tool that uses the ideal gas law formula to work out an unknown gas' molar mass and the number of moles of it present.. Gas Calculator Hydrogen.
From www.toppr.com
12 Calculate hydrogen 27°C (i) energy of one grammolecule of the gas, (ii) Gas Calculator Hydrogen Calculator to accurately convert hydrogen volume, mass, temperature, and pressure. Read on to learn more. This calculator allows you to calculate the amount of each fuel necessary to provide the same energy as 1 kg of hydrogen, 1 million cubic feet natural. Hyarc calculators provide various tools for hydrogen energy conversions, equivalency, equation of state, financial analysis, and unit. Calculate. Gas Calculator Hydrogen.
From www.linkedin.com
Hydrogen Calculator Siemens Energy Gas Turbine Fleets Gas Calculator Hydrogen Find out how to convert between hydrogen mass and volume or mass and energy using the online calculators. Calculator to accurately convert hydrogen volume, mass, temperature, and pressure. Hyarc calculators provide various tools for hydrogen energy conversions, equivalency, equation of state, financial analysis, and unit. Read on to learn more. Cmb.tech offers a comprehensive tool for calculating the mass of. Gas Calculator Hydrogen.
From www.numerade.com
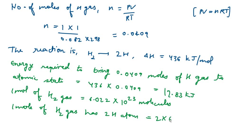
SOLVEDCalculate the energy required to excite one litre of hydrogen gas at 1 atm and 298 K to Gas Calculator Hydrogen This molar mass of gas calculator is a tool that uses the ideal gas law formula to work out an unknown gas' molar mass and the number of moles of it present. Calculate the pressure, volume, temperature or quantity of a gas using the ideal gas formula (pv = nrt) and its component laws. This calculator allows you to calculate. Gas Calculator Hydrogen.
From go.fuelcellenergy.com
Hydrogen Production Calculator FuelCell Energy Gas Calculator Hydrogen Calculator to accurately convert hydrogen volume, mass, temperature, and pressure. This calculator allows you to calculate the amount of each fuel necessary to provide the same energy as 1 kg of hydrogen, 1 million cubic feet natural. Calculate the pressure, volume, temperature or quantity of a gas using the ideal gas formula (pv = nrt) and its component laws. This. Gas Calculator Hydrogen.
From www.numerade.com
SOLVED Using the molecule mass of hydrogen to, and the temperature we determine calculate the Gas Calculator Hydrogen This calculator allows you to calculate the amount of each fuel necessary to provide the same energy as 1 kg of hydrogen, 1 million cubic feet natural. Read on to learn more. Find out how to convert between hydrogen mass and volume or mass and energy using the online calculators. Calculator to accurately convert hydrogen volume, mass, temperature, and pressure.. Gas Calculator Hydrogen.
From www.toppr.com
12 Calculate hydrogen 27°C (i) energy of one grammolecule of the gas, (ii) Gas Calculator Hydrogen Read on to learn more. Calculate the pressure, volume, temperature or quantity of a gas using the ideal gas formula (pv = nrt) and its component laws. Calculator to accurately convert hydrogen volume, mass, temperature, and pressure. Find out how to convert between hydrogen mass and volume or mass and energy using the online calculators. Cmb.tech offers a comprehensive tool. Gas Calculator Hydrogen.
From indrejaanuka.blogspot.com
9+ Calculate H+ From Ph Gas Calculator Hydrogen Read on to learn more. This calculator allows you to calculate the amount of each fuel necessary to provide the same energy as 1 kg of hydrogen, 1 million cubic feet natural. Calculate the pressure, volume, temperature or quantity of a gas using the ideal gas formula (pv = nrt) and its component laws. Hyarc calculators provide various tools for. Gas Calculator Hydrogen.
From www.numerade.com
SOLVEDThe reaction between sodium metal and water produces sodium and hydroxide ions and Gas Calculator Hydrogen This molar mass of gas calculator is a tool that uses the ideal gas law formula to work out an unknown gas' molar mass and the number of moles of it present. This calculator allows you to calculate the amount of each fuel necessary to provide the same energy as 1 kg of hydrogen, 1 million cubic feet natural. Calculate. Gas Calculator Hydrogen.
From solvedlib.com
Calculate how many liters of hydrogen gas (at STP) re… SolvedLib Gas Calculator Hydrogen Hyarc calculators provide various tools for hydrogen energy conversions, equivalency, equation of state, financial analysis, and unit. Calculate the pressure, volume, temperature or quantity of a gas using the ideal gas formula (pv = nrt) and its component laws. This molar mass of gas calculator is a tool that uses the ideal gas law formula to work out an unknown. Gas Calculator Hydrogen.
From nonsibihighschool.org
Chapter 5 Practice Exercises and Review Quizzes Gas Calculator Hydrogen Calculator to accurately convert hydrogen volume, mass, temperature, and pressure. This calculator allows you to calculate the amount of each fuel necessary to provide the same energy as 1 kg of hydrogen, 1 million cubic feet natural. Calculate the pressure, volume, temperature or quantity of a gas using the ideal gas formula (pv = nrt) and its component laws. Cmb.tech. Gas Calculator Hydrogen.
From www.toppr.com
26. Calculate the number of moles of hydrogen gas present in 500 cm3 of the gas taken 300K and Gas Calculator Hydrogen This molar mass of gas calculator is a tool that uses the ideal gas law formula to work out an unknown gas' molar mass and the number of moles of it present. Calculator to accurately convert hydrogen volume, mass, temperature, and pressure. Find out how to convert between hydrogen mass and volume or mass and energy using the online calculators.. Gas Calculator Hydrogen.
From www.chegg.com
Solved Calculate the pressure of hydrogen gas (mmHg) and Gas Calculator Hydrogen This molar mass of gas calculator is a tool that uses the ideal gas law formula to work out an unknown gas' molar mass and the number of moles of it present. Calculate the pressure, volume, temperature or quantity of a gas using the ideal gas formula (pv = nrt) and its component laws. Calculator to accurately convert hydrogen volume,. Gas Calculator Hydrogen.
From misbahbronwyn.blogspot.com
Hydrogen density calculator MisbahBronwyn Gas Calculator Hydrogen Cmb.tech offers a comprehensive tool for calculating the mass of hydrogen based on pressure, temperature, and volume, as well as for converting between mass and. Calculate the pressure, volume, temperature or quantity of a gas using the ideal gas formula (pv = nrt) and its component laws. Calculator to accurately convert hydrogen volume, mass, temperature, and pressure. Hyarc calculators provide. Gas Calculator Hydrogen.
From www.chegg.com
Solved Measure volume of hydrogen gas. Record in Lab Data Gas Calculator Hydrogen Find out how to convert between hydrogen mass and volume or mass and energy using the online calculators. Hyarc calculators provide various tools for hydrogen energy conversions, equivalency, equation of state, financial analysis, and unit. Cmb.tech offers a comprehensive tool for calculating the mass of hydrogen based on pressure, temperature, and volume, as well as for converting between mass and.. Gas Calculator Hydrogen.
From www.chegg.com
Solved Calculate pressure of hydrogen gas produced in mmhg. Gas Calculator Hydrogen Find out how to convert between hydrogen mass and volume or mass and energy using the online calculators. Cmb.tech offers a comprehensive tool for calculating the mass of hydrogen based on pressure, temperature, and volume, as well as for converting between mass and. Calculate the pressure, volume, temperature or quantity of a gas using the ideal gas formula (pv =. Gas Calculator Hydrogen.
From www.numerade.com
SOLVED In the lab, students generated and collected hydrogen gas according to the following Gas Calculator Hydrogen Read on to learn more. Calculator to accurately convert hydrogen volume, mass, temperature, and pressure. Cmb.tech offers a comprehensive tool for calculating the mass of hydrogen based on pressure, temperature, and volume, as well as for converting between mass and. Hyarc calculators provide various tools for hydrogen energy conversions, equivalency, equation of state, financial analysis, and unit. Calculate the pressure,. Gas Calculator Hydrogen.
From www.meritnation.com
Calculate number of moles of hydrogen in o 448 litre of hydrogen gas at STP Chemistry Gas Calculator Hydrogen Calculator to accurately convert hydrogen volume, mass, temperature, and pressure. Hyarc calculators provide various tools for hydrogen energy conversions, equivalency, equation of state, financial analysis, and unit. Cmb.tech offers a comprehensive tool for calculating the mass of hydrogen based on pressure, temperature, and volume, as well as for converting between mass and. Read on to learn more. This molar mass. Gas Calculator Hydrogen.
From www.efinancialmodels.com
Hydrogen Gas Tariff Calculator with Integrated Financial Statement and Cash Waterfall Gas Calculator Hydrogen This molar mass of gas calculator is a tool that uses the ideal gas law formula to work out an unknown gas' molar mass and the number of moles of it present. Calculator to accurately convert hydrogen volume, mass, temperature, and pressure. Read on to learn more. Cmb.tech offers a comprehensive tool for calculating the mass of hydrogen based on. Gas Calculator Hydrogen.
From dokumen.tips
(DOCX) Calculate Hydrogen Gas Emissions DOKUMEN.TIPS Gas Calculator Hydrogen Hyarc calculators provide various tools for hydrogen energy conversions, equivalency, equation of state, financial analysis, and unit. This calculator allows you to calculate the amount of each fuel necessary to provide the same energy as 1 kg of hydrogen, 1 million cubic feet natural. Calculator to accurately convert hydrogen volume, mass, temperature, and pressure. Find out how to convert between. Gas Calculator Hydrogen.
From www.chegg.com
Solved please calculate volume of hydrogen gas collected Gas Calculator Hydrogen Calculate the pressure, volume, temperature or quantity of a gas using the ideal gas formula (pv = nrt) and its component laws. Read on to learn more. This calculator allows you to calculate the amount of each fuel necessary to provide the same energy as 1 kg of hydrogen, 1 million cubic feet natural. Hyarc calculators provide various tools for. Gas Calculator Hydrogen.
From www.toppr.com
A 1.00mol sample of hydrogen gas is heated constant pressure from 300 K to 420 K. Calculate (a Gas Calculator Hydrogen This molar mass of gas calculator is a tool that uses the ideal gas law formula to work out an unknown gas' molar mass and the number of moles of it present. Calculator to accurately convert hydrogen volume, mass, temperature, and pressure. Hyarc calculators provide various tools for hydrogen energy conversions, equivalency, equation of state, financial analysis, and unit. Find. Gas Calculator Hydrogen.
From hydrogengasgaosube.blogspot.com
Hydrogen Gas Hydrogen Gas Density Calculator Gas Calculator Hydrogen This calculator allows you to calculate the amount of each fuel necessary to provide the same energy as 1 kg of hydrogen, 1 million cubic feet natural. Hyarc calculators provide various tools for hydrogen energy conversions, equivalency, equation of state, financial analysis, and unit. Calculate the pressure, volume, temperature or quantity of a gas using the ideal gas formula (pv. Gas Calculator Hydrogen.
From www.linkedin.com
Hydrogen Gas Tariff Calculator Bringing transparency to the cost of going green with every Gas Calculator Hydrogen Read on to learn more. This calculator allows you to calculate the amount of each fuel necessary to provide the same energy as 1 kg of hydrogen, 1 million cubic feet natural. Hyarc calculators provide various tools for hydrogen energy conversions, equivalency, equation of state, financial analysis, and unit. Find out how to convert between hydrogen mass and volume or. Gas Calculator Hydrogen.
From hydrogengasgaosube.blogspot.com
Hydrogen Gas Hydrogen Gas Density Calculator Gas Calculator Hydrogen Read on to learn more. Calculate the pressure, volume, temperature or quantity of a gas using the ideal gas formula (pv = nrt) and its component laws. This calculator allows you to calculate the amount of each fuel necessary to provide the same energy as 1 kg of hydrogen, 1 million cubic feet natural. Hyarc calculators provide various tools for. Gas Calculator Hydrogen.
From www.chegg.com
Solved 5 Calculate pressure of hydrogen gas produced in Gas Calculator Hydrogen This calculator allows you to calculate the amount of each fuel necessary to provide the same energy as 1 kg of hydrogen, 1 million cubic feet natural. Find out how to convert between hydrogen mass and volume or mass and energy using the online calculators. Calculate the pressure, volume, temperature or quantity of a gas using the ideal gas formula. Gas Calculator Hydrogen.
From www.youtube.com
The volume of hydrogen gas liberated at STP when a current of 5.36 ampere is passed through dil Gas Calculator Hydrogen Cmb.tech offers a comprehensive tool for calculating the mass of hydrogen based on pressure, temperature, and volume, as well as for converting between mass and. This calculator allows you to calculate the amount of each fuel necessary to provide the same energy as 1 kg of hydrogen, 1 million cubic feet natural. Find out how to convert between hydrogen mass. Gas Calculator Hydrogen.
From www.chegg.com
Calculate the molar amount of hydrogen gas that was Gas Calculator Hydrogen Calculator to accurately convert hydrogen volume, mass, temperature, and pressure. Find out how to convert between hydrogen mass and volume or mass and energy using the online calculators. Cmb.tech offers a comprehensive tool for calculating the mass of hydrogen based on pressure, temperature, and volume, as well as for converting between mass and. This calculator allows you to calculate the. Gas Calculator Hydrogen.
From www.scribd.com
Calculate Hydrogen Gas Emissions PDF Battery (Electricity) Battery Charger Gas Calculator Hydrogen This calculator allows you to calculate the amount of each fuel necessary to provide the same energy as 1 kg of hydrogen, 1 million cubic feet natural. Calculate the pressure, volume, temperature or quantity of a gas using the ideal gas formula (pv = nrt) and its component laws. Read on to learn more. Find out how to convert between. Gas Calculator Hydrogen.
From www.omnicalculator.com
Hydrogen Energy Levels Calculator Gas Calculator Hydrogen Hyarc calculators provide various tools for hydrogen energy conversions, equivalency, equation of state, financial analysis, and unit. Calculate the pressure, volume, temperature or quantity of a gas using the ideal gas formula (pv = nrt) and its component laws. Cmb.tech offers a comprehensive tool for calculating the mass of hydrogen based on pressure, temperature, and volume, as well as for. Gas Calculator Hydrogen.
From www.nickzom.org
How to Calculate and Solve for Heat Loss due to Hydrogen in Fuel Fuel and Furnaces Gas Calculator Hydrogen Calculate the pressure, volume, temperature or quantity of a gas using the ideal gas formula (pv = nrt) and its component laws. Find out how to convert between hydrogen mass and volume or mass and energy using the online calculators. This calculator allows you to calculate the amount of each fuel necessary to provide the same energy as 1 kg. Gas Calculator Hydrogen.
From www.toppr.com
Calculate the value of the gas constant for one gram of hydrogen, given that the density of Gas Calculator Hydrogen Cmb.tech offers a comprehensive tool for calculating the mass of hydrogen based on pressure, temperature, and volume, as well as for converting between mass and. Calculate the pressure, volume, temperature or quantity of a gas using the ideal gas formula (pv = nrt) and its component laws. This molar mass of gas calculator is a tool that uses the ideal. Gas Calculator Hydrogen.
From www.hotelsrate.org
Balanced Chemical Equation For Combustion Of Hydrogen Gas Diy Projects Gas Calculator Hydrogen Cmb.tech offers a comprehensive tool for calculating the mass of hydrogen based on pressure, temperature, and volume, as well as for converting between mass and. Calculate the pressure, volume, temperature or quantity of a gas using the ideal gas formula (pv = nrt) and its component laws. Hyarc calculators provide various tools for hydrogen energy conversions, equivalency, equation of state,. Gas Calculator Hydrogen.
From calculatorshub.net
Hydrogen Gas Production Calculator Online Gas Calculator Hydrogen Cmb.tech offers a comprehensive tool for calculating the mass of hydrogen based on pressure, temperature, and volume, as well as for converting between mass and. This molar mass of gas calculator is a tool that uses the ideal gas law formula to work out an unknown gas' molar mass and the number of moles of it present. This calculator allows. Gas Calculator Hydrogen.
From www.chegg.com
Solved 5 Calculate pressure of hydrogen gas produced in Gas Calculator Hydrogen Read on to learn more. Cmb.tech offers a comprehensive tool for calculating the mass of hydrogen based on pressure, temperature, and volume, as well as for converting between mass and. This calculator allows you to calculate the amount of each fuel necessary to provide the same energy as 1 kg of hydrogen, 1 million cubic feet natural. Find out how. Gas Calculator Hydrogen.