Class 10 Ncert Science Sample Paper Term 2 . Students can access the cbse sample papers for class 10 science with solutions and marking scheme term 2 set 2 will help students in understanding the difficulty. Section a, b and c. This question paper is divided into three sections viz. Stay tuned for further updates on ncert science sample paper class 10 2022 solved term 1 & term 2 for their exam preparation. Each question carries two marks. Sqps of remaining subjects coming soon. Here we have given cbse sample paper class 10 science with solutions. This question paper consists of. Know about the important concepts to be prepared for cbse class 10 science board exam and score more marks. Read and download pdf of cbse class 10 science term 2 sample paper solved 2022 set b designed as per the latest curriculum and examination. This question paper contains 15 questions.
from worksheethystentiqu.z13.web.core.windows.net
Students can access the cbse sample papers for class 10 science with solutions and marking scheme term 2 set 2 will help students in understanding the difficulty. Know about the important concepts to be prepared for cbse class 10 science board exam and score more marks. This question paper contains 15 questions. Each question carries two marks. This question paper consists of. Here we have given cbse sample paper class 10 science with solutions. Section a, b and c. Sqps of remaining subjects coming soon. Stay tuned for further updates on ncert science sample paper class 10 2022 solved term 1 & term 2 for their exam preparation. This question paper is divided into three sections viz.
Grade 10 Science Second Term Test Papers
Class 10 Ncert Science Sample Paper Term 2 This question paper is divided into three sections viz. This question paper is divided into three sections viz. Stay tuned for further updates on ncert science sample paper class 10 2022 solved term 1 & term 2 for their exam preparation. Read and download pdf of cbse class 10 science term 2 sample paper solved 2022 set b designed as per the latest curriculum and examination. This question paper contains 15 questions. This question paper consists of. Here we have given cbse sample paper class 10 science with solutions. Sqps of remaining subjects coming soon. Each question carries two marks. Students can access the cbse sample papers for class 10 science with solutions and marking scheme term 2 set 2 will help students in understanding the difficulty. Section a, b and c. Know about the important concepts to be prepared for cbse class 10 science board exam and score more marks.
From www.slideshare.net
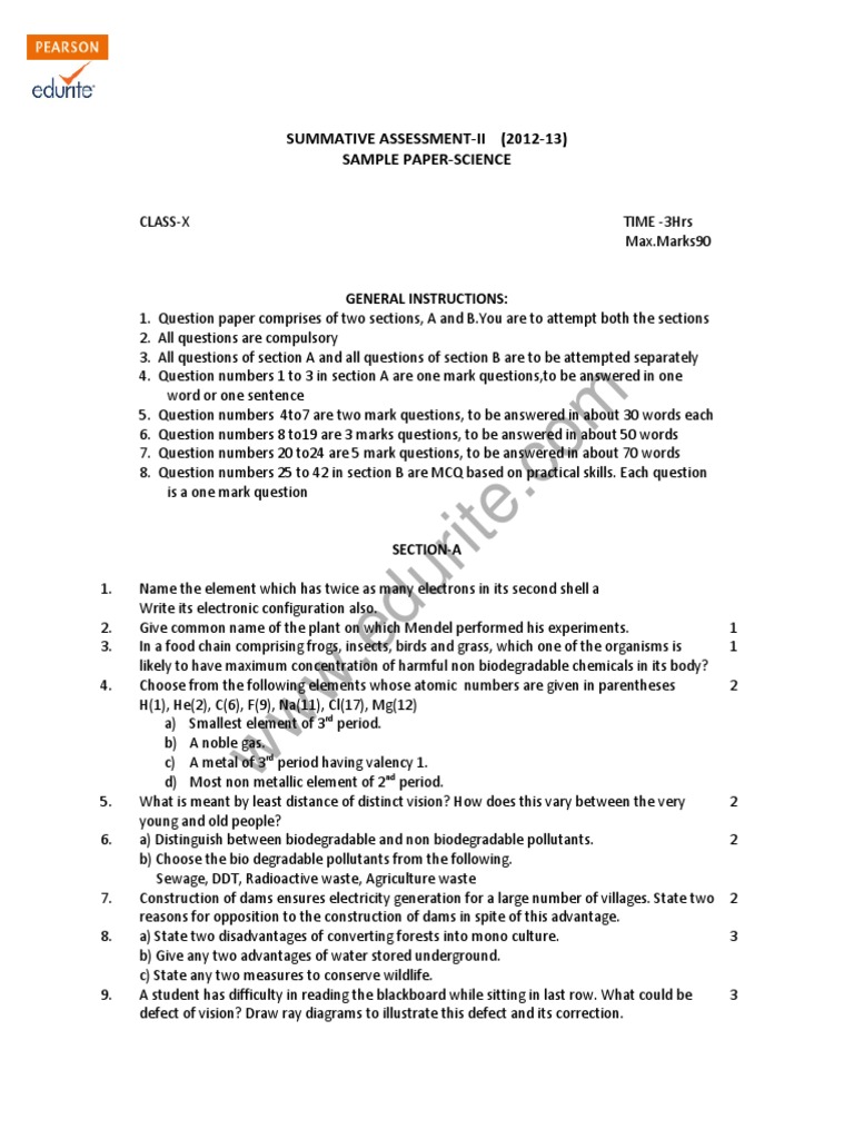
Class 10 Cbse Science Sample Paper Term 2 Model 2 Class 10 Ncert Science Sample Paper Term 2 This question paper is divided into three sections viz. Section a, b and c. This question paper contains 15 questions. This question paper consists of. Here we have given cbse sample paper class 10 science with solutions. Each question carries two marks. Stay tuned for further updates on ncert science sample paper class 10 2022 solved term 1 & term. Class 10 Ncert Science Sample Paper Term 2.
From mrmanojpandey.com
Best CBSE Sample Paper Class 10 Science Term2 2022 » Maths And Physics Class 10 Ncert Science Sample Paper Term 2 Sqps of remaining subjects coming soon. Each question carries two marks. Here we have given cbse sample paper class 10 science with solutions. Read and download pdf of cbse class 10 science term 2 sample paper solved 2022 set b designed as per the latest curriculum and examination. This question paper is divided into three sections viz. Section a, b. Class 10 Ncert Science Sample Paper Term 2.
From www.slideshare.net
Class 10 Cbse Science Sample Paper Term 2 Model 2 Class 10 Ncert Science Sample Paper Term 2 Read and download pdf of cbse class 10 science term 2 sample paper solved 2022 set b designed as per the latest curriculum and examination. Know about the important concepts to be prepared for cbse class 10 science board exam and score more marks. Each question carries two marks. This question paper contains 15 questions. Stay tuned for further updates. Class 10 Ncert Science Sample Paper Term 2.
From www.indiatoday.in
CBSE Class 10 Science sample paper for board exam 2023 with solutions Class 10 Ncert Science Sample Paper Term 2 Read and download pdf of cbse class 10 science term 2 sample paper solved 2022 set b designed as per the latest curriculum and examination. This question paper is divided into three sections viz. Stay tuned for further updates on ncert science sample paper class 10 2022 solved term 1 & term 2 for their exam preparation. Students can access. Class 10 Ncert Science Sample Paper Term 2.
From www.scribd.com
CBSE Class 10 Science Sample Paper Term 2 for 2021 22 PDF Class 10 Ncert Science Sample Paper Term 2 Stay tuned for further updates on ncert science sample paper class 10 2022 solved term 1 & term 2 for their exam preparation. This question paper consists of. Each question carries two marks. Read and download pdf of cbse class 10 science term 2 sample paper solved 2022 set b designed as per the latest curriculum and examination. Here we. Class 10 Ncert Science Sample Paper Term 2.
From www.scribd.com
Class 10 Cbse Science Sample Paper Term 2 201213 Model 3 PDF Lens Class 10 Ncert Science Sample Paper Term 2 This question paper is divided into three sections viz. Stay tuned for further updates on ncert science sample paper class 10 2022 solved term 1 & term 2 for their exam preparation. Here we have given cbse sample paper class 10 science with solutions. Know about the important concepts to be prepared for cbse class 10 science board exam and. Class 10 Ncert Science Sample Paper Term 2.
From byjus.com
CBSE Class 10 Science Sample Paper Set 3 Download PDF Class 10 Ncert Science Sample Paper Term 2 This question paper contains 15 questions. This question paper consists of. Each question carries two marks. Read and download pdf of cbse class 10 science term 2 sample paper solved 2022 set b designed as per the latest curriculum and examination. Know about the important concepts to be prepared for cbse class 10 science board exam and score more marks.. Class 10 Ncert Science Sample Paper Term 2.
From docs.aglasem.com
Class 10 Sample Paper 2022 Solution Social Science Term 2 Class 10 Ncert Science Sample Paper Term 2 This question paper is divided into three sections viz. Each question carries two marks. Read and download pdf of cbse class 10 science term 2 sample paper solved 2022 set b designed as per the latest curriculum and examination. Here we have given cbse sample paper class 10 science with solutions. Know about the important concepts to be prepared for. Class 10 Ncert Science Sample Paper Term 2.
From examplespapers.blogspot.com
Cbse Class 10 Tamil Sample Paper 2021 examples papers Class 10 Ncert Science Sample Paper Term 2 Read and download pdf of cbse class 10 science term 2 sample paper solved 2022 set b designed as per the latest curriculum and examination. Here we have given cbse sample paper class 10 science with solutions. Each question carries two marks. Stay tuned for further updates on ncert science sample paper class 10 2022 solved term 1 & term. Class 10 Ncert Science Sample Paper Term 2.
From theeducationplanet.org
CBSE sample paper 202122 class 10 term 1 science Online Test Class 10 Ncert Science Sample Paper Term 2 Read and download pdf of cbse class 10 science term 2 sample paper solved 2022 set b designed as per the latest curriculum and examination. Here we have given cbse sample paper class 10 science with solutions. Stay tuned for further updates on ncert science sample paper class 10 2022 solved term 1 & term 2 for their exam preparation.. Class 10 Ncert Science Sample Paper Term 2.
From www.indiatoday.in
CBSE Class 10 Science sample paper Solve this CBSE term 2 sample Class 10 Ncert Science Sample Paper Term 2 This question paper contains 15 questions. Read and download pdf of cbse class 10 science term 2 sample paper solved 2022 set b designed as per the latest curriculum and examination. This question paper is divided into three sections viz. Know about the important concepts to be prepared for cbse class 10 science board exam and score more marks. Sqps. Class 10 Ncert Science Sample Paper Term 2.
From byjus.com
Download CBSE Class 8 Science Sample Papers Set 1 in PDF Class 10 Ncert Science Sample Paper Term 2 Stay tuned for further updates on ncert science sample paper class 10 2022 solved term 1 & term 2 for their exam preparation. Sqps of remaining subjects coming soon. Section a, b and c. Each question carries two marks. Read and download pdf of cbse class 10 science term 2 sample paper solved 2022 set b designed as per the. Class 10 Ncert Science Sample Paper Term 2.
From ndei.org
Sample paper class 10 science 2019 Official CBSE Class 10th Sample Class 10 Ncert Science Sample Paper Term 2 Here we have given cbse sample paper class 10 science with solutions. Sqps of remaining subjects coming soon. Know about the important concepts to be prepared for cbse class 10 science board exam and score more marks. Students can access the cbse sample papers for class 10 science with solutions and marking scheme term 2 set 2 will help students. Class 10 Ncert Science Sample Paper Term 2.
From www.bank2home.com
Cbse Class 10 Science Sample Paper Set 2 Download Pdf Class 10 Ncert Science Sample Paper Term 2 Stay tuned for further updates on ncert science sample paper class 10 2022 solved term 1 & term 2 for their exam preparation. Here we have given cbse sample paper class 10 science with solutions. Section a, b and c. This question paper contains 15 questions. Students can access the cbse sample papers for class 10 science with solutions and. Class 10 Ncert Science Sample Paper Term 2.
From www.vrogue.co
Download Cbse Class 10th Science Term Ii Sample Paper vrogue.co Class 10 Ncert Science Sample Paper Term 2 Here we have given cbse sample paper class 10 science with solutions. This question paper is divided into three sections viz. This question paper consists of. Section a, b and c. Each question carries two marks. Read and download pdf of cbse class 10 science term 2 sample paper solved 2022 set b designed as per the latest curriculum and. Class 10 Ncert Science Sample Paper Term 2.
From www.youtube.com
🤩Science important Ncert Diagram class 10 science sample paper 2022 Class 10 Ncert Science Sample Paper Term 2 Know about the important concepts to be prepared for cbse class 10 science board exam and score more marks. This question paper is divided into three sections viz. Section a, b and c. Students can access the cbse sample papers for class 10 science with solutions and marking scheme term 2 set 2 will help students in understanding the difficulty.. Class 10 Ncert Science Sample Paper Term 2.
From www.tiwariacademy.com
NCERT Solutions for Class 10 Science Chapter 1 Chemical Reactions and Class 10 Ncert Science Sample Paper Term 2 Read and download pdf of cbse class 10 science term 2 sample paper solved 2022 set b designed as per the latest curriculum and examination. Know about the important concepts to be prepared for cbse class 10 science board exam and score more marks. This question paper is divided into three sections viz. Students can access the cbse sample papers. Class 10 Ncert Science Sample Paper Term 2.
From www.vedantu.com
CBSE Sample Paper for Class 7 Science with Solutions Mock Paper1 Class 10 Ncert Science Sample Paper Term 2 Stay tuned for further updates on ncert science sample paper class 10 2022 solved term 1 & term 2 for their exam preparation. This question paper contains 15 questions. This question paper consists of. Read and download pdf of cbse class 10 science term 2 sample paper solved 2022 set b designed as per the latest curriculum and examination. Here. Class 10 Ncert Science Sample Paper Term 2.
From byjus.com
Get CBSE Class 7 Science Sample Paper Set 4 Class 10 Ncert Science Sample Paper Term 2 Section a, b and c. Each question carries two marks. Here we have given cbse sample paper class 10 science with solutions. Know about the important concepts to be prepared for cbse class 10 science board exam and score more marks. Stay tuned for further updates on ncert science sample paper class 10 2022 solved term 1 & term 2. Class 10 Ncert Science Sample Paper Term 2.
From www.slideshare.net
Class 10 Cbse Science Sample Paper Term 2 201112 Class 10 Ncert Science Sample Paper Term 2 Here we have given cbse sample paper class 10 science with solutions. This question paper is divided into three sections viz. This question paper consists of. Sqps of remaining subjects coming soon. Section a, b and c. Read and download pdf of cbse class 10 science term 2 sample paper solved 2022 set b designed as per the latest curriculum. Class 10 Ncert Science Sample Paper Term 2.
From allncertsolutions.com
Class 10 Science Sample Paper 2023 with Solution PDF Download Self Class 10 Ncert Science Sample Paper Term 2 Stay tuned for further updates on ncert science sample paper class 10 2022 solved term 1 & term 2 for their exam preparation. Students can access the cbse sample papers for class 10 science with solutions and marking scheme term 2 set 2 will help students in understanding the difficulty. Sqps of remaining subjects coming soon. Here we have given. Class 10 Ncert Science Sample Paper Term 2.
From ncertsolutions.guru
CBSE Sample Papers for Class 10 Science with Solutions 20212022 Term 1 Class 10 Ncert Science Sample Paper Term 2 Section a, b and c. Read and download pdf of cbse class 10 science term 2 sample paper solved 2022 set b designed as per the latest curriculum and examination. This question paper is divided into three sections viz. Here we have given cbse sample paper class 10 science with solutions. Students can access the cbse sample papers for class. Class 10 Ncert Science Sample Paper Term 2.
From giortvnvc.blob.core.windows.net
Ncert Class 10 Science Sample Paper Term 2 With Solution at John Obrien Class 10 Ncert Science Sample Paper Term 2 This question paper consists of. Stay tuned for further updates on ncert science sample paper class 10 2022 solved term 1 & term 2 for their exam preparation. Each question carries two marks. Know about the important concepts to be prepared for cbse class 10 science board exam and score more marks. Sqps of remaining subjects coming soon. Students can. Class 10 Ncert Science Sample Paper Term 2.
From byjus.com
CBSE Sample Paper Class 10 Science SA 2 Set 2 Download PDF Class 10 Ncert Science Sample Paper Term 2 Read and download pdf of cbse class 10 science term 2 sample paper solved 2022 set b designed as per the latest curriculum and examination. This question paper is divided into three sections viz. Stay tuned for further updates on ncert science sample paper class 10 2022 solved term 1 & term 2 for their exam preparation. This question paper. Class 10 Ncert Science Sample Paper Term 2.
From www.slideshare.net
Class 10 Cbse Science Sample Paper Term 2 201112 Class 10 Ncert Science Sample Paper Term 2 Each question carries two marks. Students can access the cbse sample papers for class 10 science with solutions and marking scheme term 2 set 2 will help students in understanding the difficulty. This question paper is divided into three sections viz. Read and download pdf of cbse class 10 science term 2 sample paper solved 2022 set b designed as. Class 10 Ncert Science Sample Paper Term 2.
From byjus.com
Download CBSE Class 8 Science Sample Papers Set 4 in PDF Class 10 Ncert Science Sample Paper Term 2 Here we have given cbse sample paper class 10 science with solutions. Stay tuned for further updates on ncert science sample paper class 10 2022 solved term 1 & term 2 for their exam preparation. Section a, b and c. Each question carries two marks. Know about the important concepts to be prepared for cbse class 10 science board exam. Class 10 Ncert Science Sample Paper Term 2.
From www.scribd.com
Class 10 Cbse Science Sample Paper Term 2 201213 Model 1 PDF Lens Class 10 Ncert Science Sample Paper Term 2 Know about the important concepts to be prepared for cbse class 10 science board exam and score more marks. Read and download pdf of cbse class 10 science term 2 sample paper solved 2022 set b designed as per the latest curriculum and examination. This question paper contains 15 questions. Each question carries two marks. Section a, b and c.. Class 10 Ncert Science Sample Paper Term 2.
From www.indiatoday.in
CBSE Class 10 Science sample paper Solve this CBSE term 2 sample Class 10 Ncert Science Sample Paper Term 2 Each question carries two marks. Students can access the cbse sample papers for class 10 science with solutions and marking scheme term 2 set 2 will help students in understanding the difficulty. Know about the important concepts to be prepared for cbse class 10 science board exam and score more marks. Sqps of remaining subjects coming soon. This question paper. Class 10 Ncert Science Sample Paper Term 2.
From schools.aglasem.com
Class 10 Social Science Mid Term Sample Paper 2024 Download PT1 Class 10 Ncert Science Sample Paper Term 2 Students can access the cbse sample papers for class 10 science with solutions and marking scheme term 2 set 2 will help students in understanding the difficulty. Read and download pdf of cbse class 10 science term 2 sample paper solved 2022 set b designed as per the latest curriculum and examination. This question paper consists of. Here we have. Class 10 Ncert Science Sample Paper Term 2.
From mavink.com
Sample Paper Class 9 Social Science Term 2 Class 10 Ncert Science Sample Paper Term 2 Students can access the cbse sample papers for class 10 science with solutions and marking scheme term 2 set 2 will help students in understanding the difficulty. Here we have given cbse sample paper class 10 science with solutions. Read and download pdf of cbse class 10 science term 2 sample paper solved 2022 set b designed as per the. Class 10 Ncert Science Sample Paper Term 2.
From www.cbseguidanceweb.com
CBSE Class 10 Science 2023 Board Exam Paper and Answer Key CBSE Guidance Class 10 Ncert Science Sample Paper Term 2 This question paper contains 15 questions. Know about the important concepts to be prepared for cbse class 10 science board exam and score more marks. Each question carries two marks. This question paper consists of. Here we have given cbse sample paper class 10 science with solutions. Section a, b and c. Read and download pdf of cbse class 10. Class 10 Ncert Science Sample Paper Term 2.
From www.slideshare.net
Class 10 Cbse Science Sample Paper Term 2 201213 Model 2 Class 10 Ncert Science Sample Paper Term 2 Students can access the cbse sample papers for class 10 science with solutions and marking scheme term 2 set 2 will help students in understanding the difficulty. Sqps of remaining subjects coming soon. This question paper is divided into three sections viz. Each question carries two marks. This question paper consists of. Section a, b and c. Read and download. Class 10 Ncert Science Sample Paper Term 2.
From docs.aglasem.com
ICSE Class 10 Sample Paper 2017 Physics (Science Paper 1) Class 10 Ncert Science Sample Paper Term 2 This question paper is divided into three sections viz. Each question carries two marks. This question paper contains 15 questions. Read and download pdf of cbse class 10 science term 2 sample paper solved 2022 set b designed as per the latest curriculum and examination. Section a, b and c. Sqps of remaining subjects coming soon. This question paper consists. Class 10 Ncert Science Sample Paper Term 2.
From worksheethystentiqu.z13.web.core.windows.net
Grade 10 Science Second Term Test Papers Class 10 Ncert Science Sample Paper Term 2 Section a, b and c. Read and download pdf of cbse class 10 science term 2 sample paper solved 2022 set b designed as per the latest curriculum and examination. Here we have given cbse sample paper class 10 science with solutions. This question paper contains 15 questions. Sqps of remaining subjects coming soon. Students can access the cbse sample. Class 10 Ncert Science Sample Paper Term 2.
From allncertsolutions.com
Class 8 Science Sample Paper 2023 PDF Download Self Study Practice Class 10 Ncert Science Sample Paper Term 2 Stay tuned for further updates on ncert science sample paper class 10 2022 solved term 1 & term 2 for their exam preparation. Section a, b and c. This question paper is divided into three sections viz. Each question carries two marks. Sqps of remaining subjects coming soon. Students can access the cbse sample papers for class 10 science with. Class 10 Ncert Science Sample Paper Term 2.