Corresponding Zero . We say that a is a zero of the polynomial if and only if p(a) = 0. Find the multiplicity of each factor by examining the exponent on the corresponding. The definition also holds if the coefficients are complex, but that’s a topic for a more advanced course. Find each zero by setting each factor equal to zero and solving the resulting equation. Use the factor theorem to solve a polynomial equation. Given a graph of a polynomial function of degree [latex]n [/latex], identify the zeros and their multiplicities. Use the fundamental theorem of algebra to find complex zeros. Given a graph of a polynomial function, identify the zeros and their mulitplicities. Use synthetic division to find the zeros of a polynomial function. Demonstrates how to recognize the multiplicity of a zero from the graph of its polynomial.
from www.chegg.com
Use synthetic division to find the zeros of a polynomial function. Given a graph of a polynomial function, identify the zeros and their mulitplicities. Demonstrates how to recognize the multiplicity of a zero from the graph of its polynomial. Find each zero by setting each factor equal to zero and solving the resulting equation. Use the factor theorem to solve a polynomial equation. We say that a is a zero of the polynomial if and only if p(a) = 0. Given a graph of a polynomial function of degree [latex]n [/latex], identify the zeros and their multiplicities. Find the multiplicity of each factor by examining the exponent on the corresponding. The definition also holds if the coefficients are complex, but that’s a topic for a more advanced course. Use the fundamental theorem of algebra to find complex zeros.
Problem 3.7 Compute the system zeros and the
Corresponding Zero We say that a is a zero of the polynomial if and only if p(a) = 0. Use synthetic division to find the zeros of a polynomial function. Given a graph of a polynomial function of degree [latex]n [/latex], identify the zeros and their multiplicities. We say that a is a zero of the polynomial if and only if p(a) = 0. Find each zero by setting each factor equal to zero and solving the resulting equation. Use the factor theorem to solve a polynomial equation. The definition also holds if the coefficients are complex, but that’s a topic for a more advanced course. Find the multiplicity of each factor by examining the exponent on the corresponding. Demonstrates how to recognize the multiplicity of a zero from the graph of its polynomial. Use the fundamental theorem of algebra to find complex zeros. Given a graph of a polynomial function, identify the zeros and their mulitplicities.
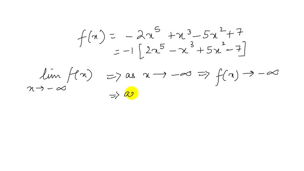
From www.numerade.com
SOLVED Determine the ztransform for each of the following sequences Corresponding Zero Use the fundamental theorem of algebra to find complex zeros. The definition also holds if the coefficients are complex, but that’s a topic for a more advanced course. Use synthetic division to find the zeros of a polynomial function. Given a graph of a polynomial function of degree [latex]n [/latex], identify the zeros and their multiplicities. We say that a. Corresponding Zero.
From brainly.in
[Best Answer] find zero of the polynomial p(x)=3x Brainly.in Corresponding Zero Find the multiplicity of each factor by examining the exponent on the corresponding. Use the factor theorem to solve a polynomial equation. Use synthetic division to find the zeros of a polynomial function. Given a graph of a polynomial function, identify the zeros and their mulitplicities. Demonstrates how to recognize the multiplicity of a zero from the graph of its. Corresponding Zero.
From www.researchgate.net
Radial defect solution φ(r) and density ρ(r) of the corresponding zero Corresponding Zero We say that a is a zero of the polynomial if and only if p(a) = 0. Use the factor theorem to solve a polynomial equation. Demonstrates how to recognize the multiplicity of a zero from the graph of its polynomial. Find the multiplicity of each factor by examining the exponent on the corresponding. Given a graph of a polynomial. Corresponding Zero.
From www.researchgate.net
Damage probability (up) and corresponding zero probability damage Corresponding Zero Use the factor theorem to solve a polynomial equation. The definition also holds if the coefficients are complex, but that’s a topic for a more advanced course. Given a graph of a polynomial function of degree [latex]n [/latex], identify the zeros and their multiplicities. Find each zero by setting each factor equal to zero and solving the resulting equation. Use. Corresponding Zero.
From www.researchgate.net
Measured strains corresponding to zeromean periodic equibiaxial Corresponding Zero Demonstrates how to recognize the multiplicity of a zero from the graph of its polynomial. Find the multiplicity of each factor by examining the exponent on the corresponding. We say that a is a zero of the polynomial if and only if p(a) = 0. Use the fundamental theorem of algebra to find complex zeros. Given a graph of a. Corresponding Zero.
From www.researchgate.net
Zerodivergence (top) and corresponding zerocurl (bottom) Eikonal Corresponding Zero Find the multiplicity of each factor by examining the exponent on the corresponding. Find each zero by setting each factor equal to zero and solving the resulting equation. Use the fundamental theorem of algebra to find complex zeros. We say that a is a zero of the polynomial if and only if p(a) = 0. Given a graph of a. Corresponding Zero.
From www.chegg.com
Solved 3.1 Determine the ztransform of the following Corresponding Zero Find the multiplicity of each factor by examining the exponent on the corresponding. Use the fundamental theorem of algebra to find complex zeros. Use synthetic division to find the zeros of a polynomial function. We say that a is a zero of the polynomial if and only if p(a) = 0. Given a graph of a polynomial function of degree. Corresponding Zero.
From mathsux.org
Transversals and Parallel Lines Geometry MathSux^2 Corresponding Zero Given a graph of a polynomial function, identify the zeros and their mulitplicities. We say that a is a zero of the polynomial if and only if p(a) = 0. Use the factor theorem to solve a polynomial equation. Given a graph of a polynomial function of degree [latex]n [/latex], identify the zeros and their multiplicities. Find each zero by. Corresponding Zero.
From www.researchgate.net
The graphs corresponding to the zero values in N 0 , N 1 , and N 2 Corresponding Zero We say that a is a zero of the polynomial if and only if p(a) = 0. Find each zero by setting each factor equal to zero and solving the resulting equation. Demonstrates how to recognize the multiplicity of a zero from the graph of its polynomial. Given a graph of a polynomial function of degree [latex]n [/latex], identify the. Corresponding Zero.
From www.numerade.com
SOLVED Exercises Each of the following is a vector space. Identify Corresponding Zero Use the fundamental theorem of algebra to find complex zeros. The definition also holds if the coefficients are complex, but that’s a topic for a more advanced course. We say that a is a zero of the polynomial if and only if p(a) = 0. Find the multiplicity of each factor by examining the exponent on the corresponding. Use synthetic. Corresponding Zero.
From www.numerade.com
SOLVED Question 23. Determine the ztransform of the following signals Corresponding Zero Given a graph of a polynomial function, identify the zeros and their mulitplicities. Find the multiplicity of each factor by examining the exponent on the corresponding. Given a graph of a polynomial function of degree [latex]n [/latex], identify the zeros and their multiplicities. Use the fundamental theorem of algebra to find complex zeros. Use the factor theorem to solve a. Corresponding Zero.
From www.researchgate.net
Eigenvectors corresponding to zero eigenvalues (a) H = 110 cm Corresponding Zero Find the multiplicity of each factor by examining the exponent on the corresponding. Given a graph of a polynomial function, identify the zeros and their mulitplicities. Given a graph of a polynomial function of degree [latex]n [/latex], identify the zeros and their multiplicities. We say that a is a zero of the polynomial if and only if p(a) = 0.. Corresponding Zero.
From brainly.com
Which equation would have real zero(s) corresponding to the xintercept Corresponding Zero Given a graph of a polynomial function, identify the zeros and their mulitplicities. Use the factor theorem to solve a polynomial equation. Use the fundamental theorem of algebra to find complex zeros. Demonstrates how to recognize the multiplicity of a zero from the graph of its polynomial. We say that a is a zero of the polynomial if and only. Corresponding Zero.
From www.researchgate.net
The corresponding zero offset time of the offsetdependent time Corresponding Zero Find each zero by setting each factor equal to zero and solving the resulting equation. We say that a is a zero of the polynomial if and only if p(a) = 0. Given a graph of a polynomial function, identify the zeros and their mulitplicities. Use the factor theorem to solve a polynomial equation. Find the multiplicity of each factor. Corresponding Zero.
From www.numerade.com
SOLVEDIn Exercises 912 plot some trajectories of the given equation Corresponding Zero The definition also holds if the coefficients are complex, but that’s a topic for a more advanced course. Use the fundamental theorem of algebra to find complex zeros. Use the factor theorem to solve a polynomial equation. Given a graph of a polynomial function of degree [latex]n [/latex], identify the zeros and their multiplicities. Use synthetic division to find the. Corresponding Zero.
From www.researchgate.net
One of the generated models (a), the corresponding zerooffset surface Corresponding Zero Given a graph of a polynomial function, identify the zeros and their mulitplicities. Use the fundamental theorem of algebra to find complex zeros. We say that a is a zero of the polynomial if and only if p(a) = 0. Find each zero by setting each factor equal to zero and solving the resulting equation. The definition also holds if. Corresponding Zero.
From www.chegg.com
Solved For each polezero diagram below, write in the Corresponding Zero Find the multiplicity of each factor by examining the exponent on the corresponding. Given a graph of a polynomial function of degree [latex]n [/latex], identify the zeros and their multiplicities. Use the fundamental theorem of algebra to find complex zeros. Find each zero by setting each factor equal to zero and solving the resulting equation. Use synthetic division to find. Corresponding Zero.
From www.chegg.com
Solved Sketch roughly the magnitude H (o)] of the Fourier Corresponding Zero Demonstrates how to recognize the multiplicity of a zero from the graph of its polynomial. We say that a is a zero of the polynomial if and only if p(a) = 0. Use the fundamental theorem of algebra to find complex zeros. Find the multiplicity of each factor by examining the exponent on the corresponding. Given a graph of a. Corresponding Zero.
From www.researchgate.net
(Subplot A) A levelset function and its corresponding zero levelset Corresponding Zero Given a graph of a polynomial function of degree [latex]n [/latex], identify the zeros and their multiplicities. Use the fundamental theorem of algebra to find complex zeros. We say that a is a zero of the polynomial if and only if p(a) = 0. Demonstrates how to recognize the multiplicity of a zero from the graph of its polynomial. Use. Corresponding Zero.
From www.chegg.com
Solved For each of the following ztransforms Sketch the Corresponding Zero Use the factor theorem to solve a polynomial equation. Use the fundamental theorem of algebra to find complex zeros. Given a graph of a polynomial function of degree [latex]n [/latex], identify the zeros and their multiplicities. We say that a is a zero of the polynomial if and only if p(a) = 0. Use synthetic division to find the zeros. Corresponding Zero.
From www.researchgate.net
Modulation signals and corresponding zero‐sequencesignals (a)SVPWM, (b Corresponding Zero Use the fundamental theorem of algebra to find complex zeros. Find the multiplicity of each factor by examining the exponent on the corresponding. Use the factor theorem to solve a polynomial equation. Given a graph of a polynomial function, identify the zeros and their mulitplicities. The definition also holds if the coefficients are complex, but that’s a topic for a. Corresponding Zero.
From www.researchgate.net
Radial defect solution φ(r) and density ρ(r) of the corresponding zero Corresponding Zero Find the multiplicity of each factor by examining the exponent on the corresponding. Demonstrates how to recognize the multiplicity of a zero from the graph of its polynomial. Use the factor theorem to solve a polynomial equation. We say that a is a zero of the polynomial if and only if p(a) = 0. Use the fundamental theorem of algebra. Corresponding Zero.
From slideplayer.com
Online Book) ppt download Corresponding Zero The definition also holds if the coefficients are complex, but that’s a topic for a more advanced course. Demonstrates how to recognize the multiplicity of a zero from the graph of its polynomial. Find each zero by setting each factor equal to zero and solving the resulting equation. Find the multiplicity of each factor by examining the exponent on the. Corresponding Zero.
From brainly.com
Which equation would have real zero(s) corresponding to the xintercept Corresponding Zero Find the multiplicity of each factor by examining the exponent on the corresponding. Demonstrates how to recognize the multiplicity of a zero from the graph of its polynomial. Use the fundamental theorem of algebra to find complex zeros. Given a graph of a polynomial function, identify the zeros and their mulitplicities. Use the factor theorem to solve a polynomial equation.. Corresponding Zero.
From www.chegg.com
Solved Sketch roughly the magnitude H () of the Fourier Corresponding Zero Given a graph of a polynomial function, identify the zeros and their mulitplicities. The definition also holds if the coefficients are complex, but that’s a topic for a more advanced course. Use synthetic division to find the zeros of a polynomial function. Demonstrates how to recognize the multiplicity of a zero from the graph of its polynomial. Use the factor. Corresponding Zero.
From askfilo.com
FULL MARKS +4 if only the alphabet corresponding to ZERO MARKS 0 if.. Corresponding Zero Find each zero by setting each factor equal to zero and solving the resulting equation. Given a graph of a polynomial function of degree [latex]n [/latex], identify the zeros and their multiplicities. Use synthetic division to find the zeros of a polynomial function. Find the multiplicity of each factor by examining the exponent on the corresponding. The definition also holds. Corresponding Zero.
From www.chegg.com
Solved A 2bus system and corresponding zero sequence Corresponding Zero Use synthetic division to find the zeros of a polynomial function. Demonstrates how to recognize the multiplicity of a zero from the graph of its polynomial. Find each zero by setting each factor equal to zero and solving the resulting equation. Given a graph of a polynomial function of degree [latex]n [/latex], identify the zeros and their multiplicities. Given a. Corresponding Zero.
From www.researchgate.net
Lower the zero ζ 0 so that F κ−1 (ζ 0 ) = 0, as a function of κ, and Corresponding Zero Demonstrates how to recognize the multiplicity of a zero from the graph of its polynomial. Given a graph of a polynomial function, identify the zeros and their mulitplicities. Use the fundamental theorem of algebra to find complex zeros. We say that a is a zero of the polynomial if and only if p(a) = 0. The definition also holds if. Corresponding Zero.
From www.researchgate.net
36 (a) Initial distribution of the level set function; (b) optimized Corresponding Zero Demonstrates how to recognize the multiplicity of a zero from the graph of its polynomial. Use synthetic division to find the zeros of a polynomial function. We say that a is a zero of the polynomial if and only if p(a) = 0. Use the factor theorem to solve a polynomial equation. Find each zero by setting each factor equal. Corresponding Zero.
From questions-in.kunduz.com
A 2bus system and corresponding zero sequence netwo... Physics Corresponding Zero Find each zero by setting each factor equal to zero and solving the resulting equation. Find the multiplicity of each factor by examining the exponent on the corresponding. Demonstrates how to recognize the multiplicity of a zero from the graph of its polynomial. Use the fundamental theorem of algebra to find complex zeros. Given a graph of a polynomial function. Corresponding Zero.
From www.teachoo.com
Example 4 Find a zero of the polynomial p(x) = 2x + 1 Examples Corresponding Zero We say that a is a zero of the polynomial if and only if p(a) = 0. Use the factor theorem to solve a polynomial equation. Given a graph of a polynomial function of degree [latex]n [/latex], identify the zeros and their multiplicities. Find each zero by setting each factor equal to zero and solving the resulting equation. Demonstrates how. Corresponding Zero.
From www.chegg.com
Problem 3.7 Compute the system zeros and the Corresponding Zero Use the factor theorem to solve a polynomial equation. Find the multiplicity of each factor by examining the exponent on the corresponding. The definition also holds if the coefficients are complex, but that’s a topic for a more advanced course. Find each zero by setting each factor equal to zero and solving the resulting equation. Demonstrates how to recognize the. Corresponding Zero.
From www.numerade.com
The of a zero is the number of times its corresponding factor occurs Corresponding Zero We say that a is a zero of the polynomial if and only if p(a) = 0. Use synthetic division to find the zeros of a polynomial function. Use the factor theorem to solve a polynomial equation. Given a graph of a polynomial function, identify the zeros and their mulitplicities. The definition also holds if the coefficients are complex, but. Corresponding Zero.
From brainly.com
Match the graph with it's corresponding slope type. zero positive Corresponding Zero Find each zero by setting each factor equal to zero and solving the resulting equation. Use the factor theorem to solve a polynomial equation. Use synthetic division to find the zeros of a polynomial function. Given a graph of a polynomial function, identify the zeros and their mulitplicities. Use the fundamental theorem of algebra to find complex zeros. The definition. Corresponding Zero.
From www.researchgate.net
Relative errors of zeros of e J1ðxÞ, compared with those of J 1 ðxÞ Corresponding Zero Use the fundamental theorem of algebra to find complex zeros. Given a graph of a polynomial function, identify the zeros and their mulitplicities. We say that a is a zero of the polynomial if and only if p(a) = 0. Use synthetic division to find the zeros of a polynomial function. Given a graph of a polynomial function of degree. Corresponding Zero.