Laboratory Protocols Pdf . Role of osis with glp. Chapter page 5.8 quality control (qc). This manual compiles all current methodologies used in the laboratory and aims to serve as a guide for other laboratories or institutions that are interested. All students are required to know and comply with good laboratory practices and safety norms; Learn all job specific safety protocols for laboratory equipment and hazardous materials within the laboratory. This protocol is released by world health organization (who). This biochemistry and biotechnology laboratory manual has been written to provide a sourcebook of technical information on various experiments routinely. Centers for disease control and prevention (cdc) and resolve to. 5.9 interpretation of results and remedial action. This document provides guidance on development, review, approval, management, and use of policy, process, and procedure.
from www.researchgate.net
This biochemistry and biotechnology laboratory manual has been written to provide a sourcebook of technical information on various experiments routinely. Centers for disease control and prevention (cdc) and resolve to. Chapter page 5.8 quality control (qc). 5.9 interpretation of results and remedial action. All students are required to know and comply with good laboratory practices and safety norms; This document provides guidance on development, review, approval, management, and use of policy, process, and procedure. Learn all job specific safety protocols for laboratory equipment and hazardous materials within the laboratory. Role of osis with glp. This manual compiles all current methodologies used in the laboratory and aims to serve as a guide for other laboratories or institutions that are interested. This protocol is released by world health organization (who).
(PDF) The detailed laboratory protocol for rapid resistance testing of
Laboratory Protocols Pdf Role of osis with glp. This protocol is released by world health organization (who). Learn all job specific safety protocols for laboratory equipment and hazardous materials within the laboratory. This biochemistry and biotechnology laboratory manual has been written to provide a sourcebook of technical information on various experiments routinely. Chapter page 5.8 quality control (qc). Role of osis with glp. 5.9 interpretation of results and remedial action. Centers for disease control and prevention (cdc) and resolve to. This manual compiles all current methodologies used in the laboratory and aims to serve as a guide for other laboratories or institutions that are interested. This document provides guidance on development, review, approval, management, and use of policy, process, and procedure. All students are required to know and comply with good laboratory practices and safety norms;
From www.akinik.com
Scientific Laboratory Protocols for School Projects AkiNik Publications Laboratory Protocols Pdf All students are required to know and comply with good laboratory practices and safety norms; This protocol is released by world health organization (who). Learn all job specific safety protocols for laboratory equipment and hazardous materials within the laboratory. 5.9 interpretation of results and remedial action. Centers for disease control and prevention (cdc) and resolve to. This document provides guidance. Laboratory Protocols Pdf.
From www.scribd.com
6969 Lab Protocol PDF Chemistry Nature Laboratory Protocols Pdf 5.9 interpretation of results and remedial action. This biochemistry and biotechnology laboratory manual has been written to provide a sourcebook of technical information on various experiments routinely. This manual compiles all current methodologies used in the laboratory and aims to serve as a guide for other laboratories or institutions that are interested. Chapter page 5.8 quality control (qc). This document. Laboratory Protocols Pdf.
From www.researchgate.net
(PDF) Lab Safety Rules and Guidelines Laboratory Protocols Pdf This manual compiles all current methodologies used in the laboratory and aims to serve as a guide for other laboratories or institutions that are interested. This document provides guidance on development, review, approval, management, and use of policy, process, and procedure. This biochemistry and biotechnology laboratory manual has been written to provide a sourcebook of technical information on various experiments. Laboratory Protocols Pdf.
From www.researchgate.net
(PDF) Laboratory Protocols v1 Laboratory Protocols Pdf 5.9 interpretation of results and remedial action. All students are required to know and comply with good laboratory practices and safety norms; This manual compiles all current methodologies used in the laboratory and aims to serve as a guide for other laboratories or institutions that are interested. Learn all job specific safety protocols for laboratory equipment and hazardous materials within. Laboratory Protocols Pdf.
From www.researchgate.net
(PDF) Laboratory Protocols in Applied Life Sciences by Prakash S. Bisen Laboratory Protocols Pdf This protocol is released by world health organization (who). Centers for disease control and prevention (cdc) and resolve to. Role of osis with glp. This manual compiles all current methodologies used in the laboratory and aims to serve as a guide for other laboratories or institutions that are interested. Chapter page 5.8 quality control (qc). Learn all job specific safety. Laboratory Protocols Pdf.
From www.scribd.com
Lab Protocol PDF Laboratories Chemistry Laboratory Protocols Pdf All students are required to know and comply with good laboratory practices and safety norms; This biochemistry and biotechnology laboratory manual has been written to provide a sourcebook of technical information on various experiments routinely. Chapter page 5.8 quality control (qc). This protocol is released by world health organization (who). Learn all job specific safety protocols for laboratory equipment and. Laboratory Protocols Pdf.
From www.studocu.com
Laboratory protocol Lecture notes 1 Laboratory protocol. Fire There Laboratory Protocols Pdf Role of osis with glp. All students are required to know and comply with good laboratory practices and safety norms; This document provides guidance on development, review, approval, management, and use of policy, process, and procedure. Learn all job specific safety protocols for laboratory equipment and hazardous materials within the laboratory. Chapter page 5.8 quality control (qc). 5.9 interpretation of. Laboratory Protocols Pdf.
From sciencenotes.org
Lab Safety Rules and Guidelines Laboratory Protocols Pdf Chapter page 5.8 quality control (qc). This manual compiles all current methodologies used in the laboratory and aims to serve as a guide for other laboratories or institutions that are interested. This biochemistry and biotechnology laboratory manual has been written to provide a sourcebook of technical information on various experiments routinely. All students are required to know and comply with. Laboratory Protocols Pdf.
From www.researchgate.net
(PDF) Current Protocols Essential Laboratory Techniques Laboratory Protocols Pdf Centers for disease control and prevention (cdc) and resolve to. Learn all job specific safety protocols for laboratory equipment and hazardous materials within the laboratory. This protocol is released by world health organization (who). This manual compiles all current methodologies used in the laboratory and aims to serve as a guide for other laboratories or institutions that are interested. This. Laboratory Protocols Pdf.
From www.researchgate.net
(PDF) Laboratory Protocols in Fungal Biology Laboratory Protocols Pdf This protocol is released by world health organization (who). This document provides guidance on development, review, approval, management, and use of policy, process, and procedure. Learn all job specific safety protocols for laboratory equipment and hazardous materials within the laboratory. Chapter page 5.8 quality control (qc). 5.9 interpretation of results and remedial action. This biochemistry and biotechnology laboratory manual has. Laboratory Protocols Pdf.
From mavink.com
Lab Protocol Template Laboratory Protocols Pdf Learn all job specific safety protocols for laboratory equipment and hazardous materials within the laboratory. 5.9 interpretation of results and remedial action. This document provides guidance on development, review, approval, management, and use of policy, process, and procedure. This biochemistry and biotechnology laboratory manual has been written to provide a sourcebook of technical information on various experiments routinely. All students. Laboratory Protocols Pdf.
From www.researchgate.net
(PDF) Laboratory Protocols Laboratory Protocols Pdf This biochemistry and biotechnology laboratory manual has been written to provide a sourcebook of technical information on various experiments routinely. All students are required to know and comply with good laboratory practices and safety norms; 5.9 interpretation of results and remedial action. Role of osis with glp. This manual compiles all current methodologies used in the laboratory and aims to. Laboratory Protocols Pdf.
From www.scribd.com
Sample Research Protocol PDF Clinical Trial Risk Laboratory Protocols Pdf This manual compiles all current methodologies used in the laboratory and aims to serve as a guide for other laboratories or institutions that are interested. Centers for disease control and prevention (cdc) and resolve to. This document provides guidance on development, review, approval, management, and use of policy, process, and procedure. Learn all job specific safety protocols for laboratory equipment. Laboratory Protocols Pdf.
From id.scribd.com
LABORATORY SAFETY PROTOCOLS PDF Laboratory Protocols Pdf Role of osis with glp. Chapter page 5.8 quality control (qc). This manual compiles all current methodologies used in the laboratory and aims to serve as a guide for other laboratories or institutions that are interested. This document provides guidance on development, review, approval, management, and use of policy, process, and procedure. 5.9 interpretation of results and remedial action. Centers. Laboratory Protocols Pdf.
From www.researchgate.net
(PDF) Health and safety Protocols in Chemistry laboratory and its Laboratory Protocols Pdf All students are required to know and comply with good laboratory practices and safety norms; This manual compiles all current methodologies used in the laboratory and aims to serve as a guide for other laboratories or institutions that are interested. Role of osis with glp. Learn all job specific safety protocols for laboratory equipment and hazardous materials within the laboratory.. Laboratory Protocols Pdf.
From bytobvwhvl.blogspot.com
[DOWNLOAD] "Laboratory Protocols" by Fanny Chapelin, Graham Beck, Olga Laboratory Protocols Pdf 5.9 interpretation of results and remedial action. Chapter page 5.8 quality control (qc). All students are required to know and comply with good laboratory practices and safety norms; This protocol is released by world health organization (who). Role of osis with glp. Centers for disease control and prevention (cdc) and resolve to. This biochemistry and biotechnology laboratory manual has been. Laboratory Protocols Pdf.
From studylib.net
Template Device protocol Laboratory Protocols Pdf This document provides guidance on development, review, approval, management, and use of policy, process, and procedure. All students are required to know and comply with good laboratory practices and safety norms; This biochemistry and biotechnology laboratory manual has been written to provide a sourcebook of technical information on various experiments routinely. Chapter page 5.8 quality control (qc). Learn all job. Laboratory Protocols Pdf.
From www.scribd.com
Lab Protocol Example PDF Euclidean Vector Velocity Laboratory Protocols Pdf Centers for disease control and prevention (cdc) and resolve to. This protocol is released by world health organization (who). All students are required to know and comply with good laboratory practices and safety norms; 5.9 interpretation of results and remedial action. Role of osis with glp. This biochemistry and biotechnology laboratory manual has been written to provide a sourcebook of. Laboratory Protocols Pdf.
From www.researchgate.net
(PDF) Protocols for laboratory research Laboratory Protocols Pdf This protocol is released by world health organization (who). This document provides guidance on development, review, approval, management, and use of policy, process, and procedure. This biochemistry and biotechnology laboratory manual has been written to provide a sourcebook of technical information on various experiments routinely. Role of osis with glp. Learn all job specific safety protocols for laboratory equipment and. Laboratory Protocols Pdf.
From www.alamy.com
Lab Safety Protocols vector poster Stock Vector Image & Art Alamy Laboratory Protocols Pdf All students are required to know and comply with good laboratory practices and safety norms; This biochemistry and biotechnology laboratory manual has been written to provide a sourcebook of technical information on various experiments routinely. Learn all job specific safety protocols for laboratory equipment and hazardous materials within the laboratory. This protocol is released by world health organization (who). Role. Laboratory Protocols Pdf.
From www.researchgate.net
(PDF) S2 File The Protocols of the laboratory practical lessons v1 Laboratory Protocols Pdf Role of osis with glp. Learn all job specific safety protocols for laboratory equipment and hazardous materials within the laboratory. This manual compiles all current methodologies used in the laboratory and aims to serve as a guide for other laboratories or institutions that are interested. Chapter page 5.8 quality control (qc). Centers for disease control and prevention (cdc) and resolve. Laboratory Protocols Pdf.
From www.scribd.com
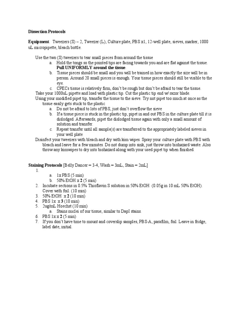
Dissection Protocols PDF Tools Laboratory Techniques Laboratory Protocols Pdf This biochemistry and biotechnology laboratory manual has been written to provide a sourcebook of technical information on various experiments routinely. This manual compiles all current methodologies used in the laboratory and aims to serve as a guide for other laboratories or institutions that are interested. All students are required to know and comply with good laboratory practices and safety norms;. Laboratory Protocols Pdf.
From dokumen.tips
(PDF) labprotocollayers.pdf DOKUMEN.TIPS Laboratory Protocols Pdf Centers for disease control and prevention (cdc) and resolve to. All students are required to know and comply with good laboratory practices and safety norms; 5.9 interpretation of results and remedial action. This manual compiles all current methodologies used in the laboratory and aims to serve as a guide for other laboratories or institutions that are interested. Chapter page 5.8. Laboratory Protocols Pdf.
From www.labsafety.org
Lab Safety Rules Lab Safety Institute Laboratory Protocols Pdf Centers for disease control and prevention (cdc) and resolve to. This biochemistry and biotechnology laboratory manual has been written to provide a sourcebook of technical information on various experiments routinely. Chapter page 5.8 quality control (qc). This manual compiles all current methodologies used in the laboratory and aims to serve as a guide for other laboratories or institutions that are. Laboratory Protocols Pdf.
From www.researchgate.net
(PDF) Laboratory Protocols in Fungal Biology Laboratory Protocols Pdf Learn all job specific safety protocols for laboratory equipment and hazardous materials within the laboratory. 5.9 interpretation of results and remedial action. All students are required to know and comply with good laboratory practices and safety norms; This biochemistry and biotechnology laboratory manual has been written to provide a sourcebook of technical information on various experiments routinely. Chapter page 5.8. Laboratory Protocols Pdf.
From lessonfullinveighing.z14.web.core.windows.net
Safety Hazards Examples In The Laboratory Laboratory Protocols Pdf This document provides guidance on development, review, approval, management, and use of policy, process, and procedure. This protocol is released by world health organization (who). Learn all job specific safety protocols for laboratory equipment and hazardous materials within the laboratory. This biochemistry and biotechnology laboratory manual has been written to provide a sourcebook of technical information on various experiments routinely.. Laboratory Protocols Pdf.
From lessonfullscalelike.z13.web.core.windows.net
Lab Safety Rules Pdf Laboratory Protocols Pdf This manual compiles all current methodologies used in the laboratory and aims to serve as a guide for other laboratories or institutions that are interested. This biochemistry and biotechnology laboratory manual has been written to provide a sourcebook of technical information on various experiments routinely. 5.9 interpretation of results and remedial action. All students are required to know and comply. Laboratory Protocols Pdf.
From highschoolbiotechnology.com
Safety Protocols Laboratory Protocols Pdf Learn all job specific safety protocols for laboratory equipment and hazardous materials within the laboratory. This manual compiles all current methodologies used in the laboratory and aims to serve as a guide for other laboratories or institutions that are interested. This document provides guidance on development, review, approval, management, and use of policy, process, and procedure. Centers for disease control. Laboratory Protocols Pdf.
From dokumen.tips
(PDF) LABORATORY PROTOCOL LABORATORY PROCEDURE MANUAL DOKUMEN.TIPS Laboratory Protocols Pdf All students are required to know and comply with good laboratory practices and safety norms; Role of osis with glp. This biochemistry and biotechnology laboratory manual has been written to provide a sourcebook of technical information on various experiments routinely. This manual compiles all current methodologies used in the laboratory and aims to serve as a guide for other laboratories. Laboratory Protocols Pdf.
From health.uct.ac.za
COVID19 New Computer Laboratory Procedures Health Education Laboratory Protocols Pdf All students are required to know and comply with good laboratory practices and safety norms; This protocol is released by world health organization (who). This document provides guidance on development, review, approval, management, and use of policy, process, and procedure. Chapter page 5.8 quality control (qc). Learn all job specific safety protocols for laboratory equipment and hazardous materials within the. Laboratory Protocols Pdf.
From dokumen.tips
(PDF) CHAPTER 1 Proper Laboratory Protocols for FAAS, …CHAPTER 1 Proper Laboratory Protocols Pdf This document provides guidance on development, review, approval, management, and use of policy, process, and procedure. Role of osis with glp. This manual compiles all current methodologies used in the laboratory and aims to serve as a guide for other laboratories or institutions that are interested. Chapter page 5.8 quality control (qc). This protocol is released by world health organization. Laboratory Protocols Pdf.
From www.safepointapp.com
A guide to lab safety (free poster!) Safepoint Lone worker apps and Laboratory Protocols Pdf All students are required to know and comply with good laboratory practices and safety norms; This protocol is released by world health organization (who). Role of osis with glp. Chapter page 5.8 quality control (qc). Learn all job specific safety protocols for laboratory equipment and hazardous materials within the laboratory. This document provides guidance on development, review, approval, management, and. Laboratory Protocols Pdf.
From www.researchgate.net
(PDF) The detailed laboratory protocol for rapid resistance testing of Laboratory Protocols Pdf This manual compiles all current methodologies used in the laboratory and aims to serve as a guide for other laboratories or institutions that are interested. Role of osis with glp. Chapter page 5.8 quality control (qc). This biochemistry and biotechnology laboratory manual has been written to provide a sourcebook of technical information on various experiments routinely. Learn all job specific. Laboratory Protocols Pdf.
From novapublishers.com
Laboratory Guide Concepts and Protocols for Practical Courses in Laboratory Protocols Pdf Role of osis with glp. This manual compiles all current methodologies used in the laboratory and aims to serve as a guide for other laboratories or institutions that are interested. Chapter page 5.8 quality control (qc). This document provides guidance on development, review, approval, management, and use of policy, process, and procedure. 5.9 interpretation of results and remedial action. Centers. Laboratory Protocols Pdf.
From www.scribd.com
2 Laboratory Protocol PDF Laboratories Sterilization (Microbiology) Laboratory Protocols Pdf 5.9 interpretation of results and remedial action. All students are required to know and comply with good laboratory practices and safety norms; Centers for disease control and prevention (cdc) and resolve to. This biochemistry and biotechnology laboratory manual has been written to provide a sourcebook of technical information on various experiments routinely. Learn all job specific safety protocols for laboratory. Laboratory Protocols Pdf.