How Do You Avoid Probate In Nebraska . A simple probate performed by an attorney for an hourly fee usually costs $6,000 to $7,500. This article provides a detailed. The affidavit for transfer of real property without probate may be used to transfer real property of the deceased, without probate, where: The court will approve or appoint an. The first step is to file a petition with the court where the decedent lived before their death. One strategy that can simplify this process is the transfer on death (tod) provision. Avoiding probate in nebraska can help you streamline the transfer of assets, reduce legal costs and maintain the privacy of your estate. In this detailed guide of nebraska inheritance laws, we break down intestate succession, probate, taxes, what makes a will valid and more. The primary reason for this is the many.
from www.elderlaw.kinglawfirm.com
A simple probate performed by an attorney for an hourly fee usually costs $6,000 to $7,500. This article provides a detailed. The primary reason for this is the many. In this detailed guide of nebraska inheritance laws, we break down intestate succession, probate, taxes, what makes a will valid and more. The court will approve or appoint an. Avoiding probate in nebraska can help you streamline the transfer of assets, reduce legal costs and maintain the privacy of your estate. The affidavit for transfer of real property without probate may be used to transfer real property of the deceased, without probate, where: The first step is to file a petition with the court where the decedent lived before their death. One strategy that can simplify this process is the transfer on death (tod) provision.
Can I Avoid Probate? King Law Firm Elder Law North Carolina
How Do You Avoid Probate In Nebraska Avoiding probate in nebraska can help you streamline the transfer of assets, reduce legal costs and maintain the privacy of your estate. In this detailed guide of nebraska inheritance laws, we break down intestate succession, probate, taxes, what makes a will valid and more. The first step is to file a petition with the court where the decedent lived before their death. The affidavit for transfer of real property without probate may be used to transfer real property of the deceased, without probate, where: This article provides a detailed. Avoiding probate in nebraska can help you streamline the transfer of assets, reduce legal costs and maintain the privacy of your estate. The primary reason for this is the many. A simple probate performed by an attorney for an hourly fee usually costs $6,000 to $7,500. The court will approve or appoint an. One strategy that can simplify this process is the transfer on death (tod) provision.
From lilaccitylaw.com
Exactly What You Need to Know About Probate and How to Avoid It How Do You Avoid Probate In Nebraska This article provides a detailed. Avoiding probate in nebraska can help you streamline the transfer of assets, reduce legal costs and maintain the privacy of your estate. In this detailed guide of nebraska inheritance laws, we break down intestate succession, probate, taxes, what makes a will valid and more. The affidavit for transfer of real property without probate may be. How Do You Avoid Probate In Nebraska.
From www.genders.com.au
Avoid DoItYourself Probate Probate & Estate Administration How Do You Avoid Probate In Nebraska This article provides a detailed. The court will approve or appoint an. A simple probate performed by an attorney for an hourly fee usually costs $6,000 to $7,500. The first step is to file a petition with the court where the decedent lived before their death. The affidavit for transfer of real property without probate may be used to transfer. How Do You Avoid Probate In Nebraska.
From nextchapterre.com
How To Avoid Probate Next Chapter Real Estate How Do You Avoid Probate In Nebraska A simple probate performed by an attorney for an hourly fee usually costs $6,000 to $7,500. One strategy that can simplify this process is the transfer on death (tod) provision. The primary reason for this is the many. In this detailed guide of nebraska inheritance laws, we break down intestate succession, probate, taxes, what makes a will valid and more.. How Do You Avoid Probate In Nebraska.
From hoplerwilms.com
Reasons to Avoid Probate How Do You Avoid Probate In Nebraska In this detailed guide of nebraska inheritance laws, we break down intestate succession, probate, taxes, what makes a will valid and more. The court will approve or appoint an. A simple probate performed by an attorney for an hourly fee usually costs $6,000 to $7,500. One strategy that can simplify this process is the transfer on death (tod) provision. The. How Do You Avoid Probate In Nebraska.
From pmillerlawoffice.com
3 Ways to Avoid Probate (infographic) Paul Miller Law Office How Do You Avoid Probate In Nebraska This article provides a detailed. Avoiding probate in nebraska can help you streamline the transfer of assets, reduce legal costs and maintain the privacy of your estate. In this detailed guide of nebraska inheritance laws, we break down intestate succession, probate, taxes, what makes a will valid and more. One strategy that can simplify this process is the transfer on. How Do You Avoid Probate In Nebraska.
From freedomlaw.ca
Tips on How to Avoid Probate in Alberta Verhaeghe Law Office How Do You Avoid Probate In Nebraska A simple probate performed by an attorney for an hourly fee usually costs $6,000 to $7,500. The affidavit for transfer of real property without probate may be used to transfer real property of the deceased, without probate, where: The primary reason for this is the many. The first step is to file a petition with the court where the decedent. How Do You Avoid Probate In Nebraska.
From www.youtube.com
What Should You Do to Avoid Probate ? YouTube How Do You Avoid Probate In Nebraska One strategy that can simplify this process is the transfer on death (tod) provision. The court will approve or appoint an. This article provides a detailed. Avoiding probate in nebraska can help you streamline the transfer of assets, reduce legal costs and maintain the privacy of your estate. The affidavit for transfer of real property without probate may be used. How Do You Avoid Probate In Nebraska.
From www.elderlaw.kinglawfirm.com
Can I Avoid Probate? King Law Firm Elder Law North Carolina How Do You Avoid Probate In Nebraska The primary reason for this is the many. In this detailed guide of nebraska inheritance laws, we break down intestate succession, probate, taxes, what makes a will valid and more. The affidavit for transfer of real property without probate may be used to transfer real property of the deceased, without probate, where: A simple probate performed by an attorney for. How Do You Avoid Probate In Nebraska.
From www.inheritancefunding.com
Pennsylvania Probate Access Your Inheritance Early in Pennsylvania How Do You Avoid Probate In Nebraska Avoiding probate in nebraska can help you streamline the transfer of assets, reduce legal costs and maintain the privacy of your estate. A simple probate performed by an attorney for an hourly fee usually costs $6,000 to $7,500. The court will approve or appoint an. This article provides a detailed. The first step is to file a petition with the. How Do You Avoid Probate In Nebraska.
From danalawgroup.com
How to Avoid Probate by having an Estte Plan Dana Law Group How Do You Avoid Probate In Nebraska The first step is to file a petition with the court where the decedent lived before their death. The primary reason for this is the many. This article provides a detailed. Avoiding probate in nebraska can help you streamline the transfer of assets, reduce legal costs and maintain the privacy of your estate. The affidavit for transfer of real property. How Do You Avoid Probate In Nebraska.
From mycasehelper.com
What Is A Probate And How To Avoid It My Case Helper How Do You Avoid Probate In Nebraska One strategy that can simplify this process is the transfer on death (tod) provision. This article provides a detailed. The primary reason for this is the many. Avoiding probate in nebraska can help you streamline the transfer of assets, reduce legal costs and maintain the privacy of your estate. The court will approve or appoint an. The affidavit for transfer. How Do You Avoid Probate In Nebraska.
From issuu.com
Easy ways to avoid probate by Olsen Law Group Issuu How Do You Avoid Probate In Nebraska The primary reason for this is the many. This article provides a detailed. The affidavit for transfer of real property without probate may be used to transfer real property of the deceased, without probate, where: One strategy that can simplify this process is the transfer on death (tod) provision. Avoiding probate in nebraska can help you streamline the transfer of. How Do You Avoid Probate In Nebraska.
From www.weareatticus.com
Complete guide to probate in Nebraska How Do You Avoid Probate In Nebraska This article provides a detailed. A simple probate performed by an attorney for an hourly fee usually costs $6,000 to $7,500. One strategy that can simplify this process is the transfer on death (tod) provision. The affidavit for transfer of real property without probate may be used to transfer real property of the deceased, without probate, where: The primary reason. How Do You Avoid Probate In Nebraska.
From www.damore-law.com
4 Reasons to Avoid Probate in Massachusetts DaMore Law Burlington MA How Do You Avoid Probate In Nebraska One strategy that can simplify this process is the transfer on death (tod) provision. The affidavit for transfer of real property without probate may be used to transfer real property of the deceased, without probate, where: The court will approve or appoint an. The first step is to file a petition with the court where the decedent lived before their. How Do You Avoid Probate In Nebraska.
From www.templateroller.com
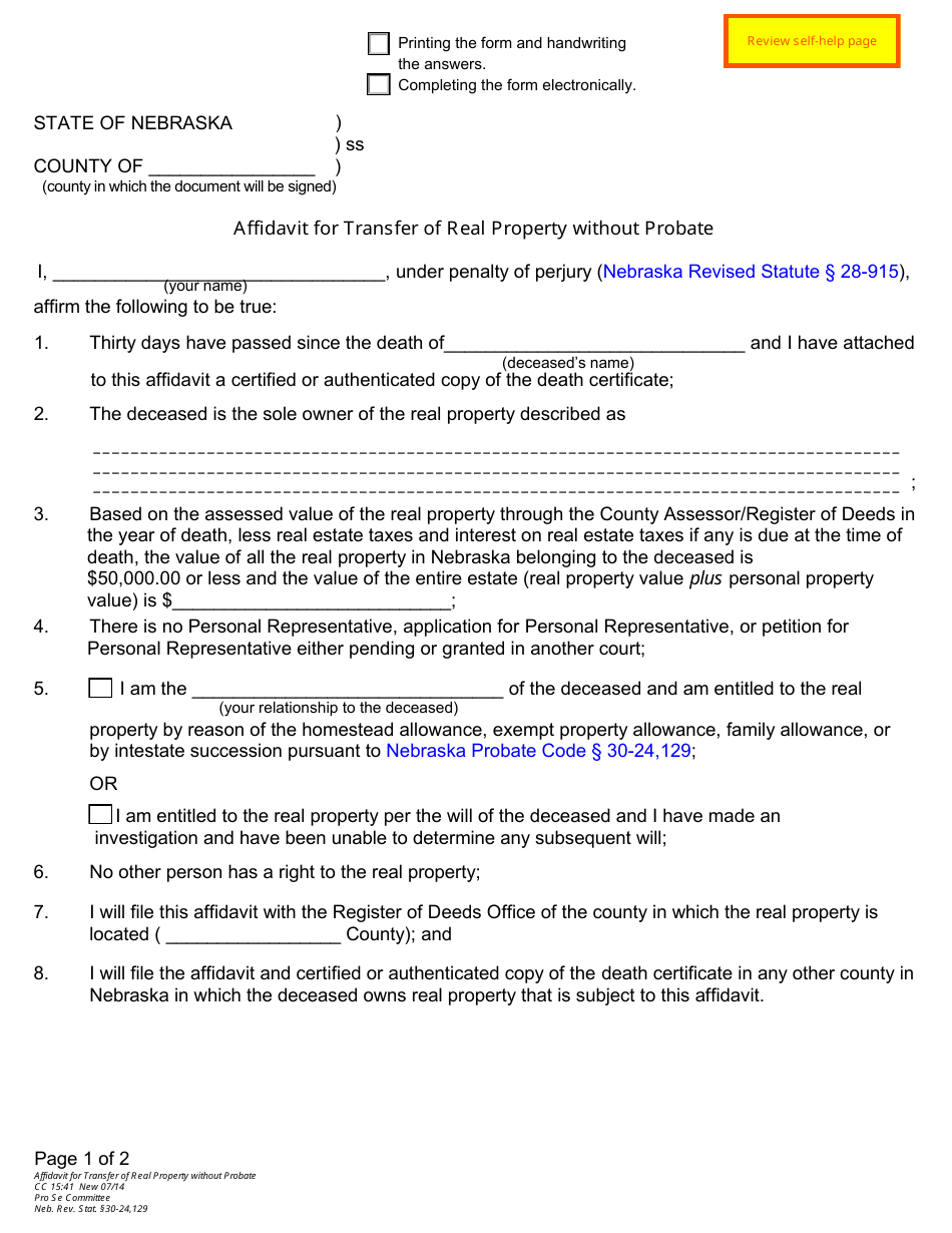
Form CC1541 Fill Out, Sign Online and Download Fillable PDF How Do You Avoid Probate In Nebraska Avoiding probate in nebraska can help you streamline the transfer of assets, reduce legal costs and maintain the privacy of your estate. The affidavit for transfer of real property without probate may be used to transfer real property of the deceased, without probate, where: In this detailed guide of nebraska inheritance laws, we break down intestate succession, probate, taxes, what. How Do You Avoid Probate In Nebraska.
From www.withevident.com
4 Ways of Avoiding Probate How Do You Avoid Probate In Nebraska A simple probate performed by an attorney for an hourly fee usually costs $6,000 to $7,500. The affidavit for transfer of real property without probate may be used to transfer real property of the deceased, without probate, where: The court will approve or appoint an. This article provides a detailed. In this detailed guide of nebraska inheritance laws, we break. How Do You Avoid Probate In Nebraska.
From www.youtube.com
What Is Probate & Why You Want To Avoid Probate Court YouTube How Do You Avoid Probate In Nebraska The affidavit for transfer of real property without probate may be used to transfer real property of the deceased, without probate, where: Avoiding probate in nebraska can help you streamline the transfer of assets, reduce legal costs and maintain the privacy of your estate. One strategy that can simplify this process is the transfer on death (tod) provision. The first. How Do You Avoid Probate In Nebraska.
From www.slideserve.com
PPT Probate Mistakes and How to Avoid Them PowerPoint Presentation How Do You Avoid Probate In Nebraska The primary reason for this is the many. The affidavit for transfer of real property without probate may be used to transfer real property of the deceased, without probate, where: The court will approve or appoint an. A simple probate performed by an attorney for an hourly fee usually costs $6,000 to $7,500. The first step is to file a. How Do You Avoid Probate In Nebraska.
From colemanlaw.com
Three Reasons to Avoid Probate Coleman Law Firm How Do You Avoid Probate In Nebraska One strategy that can simplify this process is the transfer on death (tod) provision. In this detailed guide of nebraska inheritance laws, we break down intestate succession, probate, taxes, what makes a will valid and more. This article provides a detailed. Avoiding probate in nebraska can help you streamline the transfer of assets, reduce legal costs and maintain the privacy. How Do You Avoid Probate In Nebraska.
From trustandwill.com
Probate What Is Probate & How To Avoid It Trust & Will How Do You Avoid Probate In Nebraska Avoiding probate in nebraska can help you streamline the transfer of assets, reduce legal costs and maintain the privacy of your estate. The primary reason for this is the many. A simple probate performed by an attorney for an hourly fee usually costs $6,000 to $7,500. The first step is to file a petition with the court where the decedent. How Do You Avoid Probate In Nebraska.
From www.youtube.com
Probate In Nebraska Where to Begin YouTube How Do You Avoid Probate In Nebraska The primary reason for this is the many. A simple probate performed by an attorney for an hourly fee usually costs $6,000 to $7,500. Avoiding probate in nebraska can help you streamline the transfer of assets, reduce legal costs and maintain the privacy of your estate. One strategy that can simplify this process is the transfer on death (tod) provision.. How Do You Avoid Probate In Nebraska.
From www.thebalancemoney.com
How to Use a TransferonDeath Deed to Avoid Probate How Do You Avoid Probate In Nebraska One strategy that can simplify this process is the transfer on death (tod) provision. The first step is to file a petition with the court where the decedent lived before their death. This article provides a detailed. The primary reason for this is the many. Avoiding probate in nebraska can help you streamline the transfer of assets, reduce legal costs. How Do You Avoid Probate In Nebraska.
From guardianshipattorneybrooklyn.com
This article deals with the pros and cons of avoiding probate. How Do You Avoid Probate In Nebraska One strategy that can simplify this process is the transfer on death (tod) provision. The primary reason for this is the many. A simple probate performed by an attorney for an hourly fee usually costs $6,000 to $7,500. In this detailed guide of nebraska inheritance laws, we break down intestate succession, probate, taxes, what makes a will valid and more.. How Do You Avoid Probate In Nebraska.
From bbb-lawfirm.com
How to Avoid Probate How Do You Avoid Probate In Nebraska Avoiding probate in nebraska can help you streamline the transfer of assets, reduce legal costs and maintain the privacy of your estate. The affidavit for transfer of real property without probate may be used to transfer real property of the deceased, without probate, where: The court will approve or appoint an. One strategy that can simplify this process is the. How Do You Avoid Probate In Nebraska.
From www.garybuyshouses.com
Wills, Property & Courts How To Avoid Probate How Do You Avoid Probate In Nebraska The primary reason for this is the many. The affidavit for transfer of real property without probate may be used to transfer real property of the deceased, without probate, where: The court will approve or appoint an. The first step is to file a petition with the court where the decedent lived before their death. Avoiding probate in nebraska can. How Do You Avoid Probate In Nebraska.
From marketingrealestateideas.com
The Process of Avoiding Probate Court at your Death How Do You Avoid Probate In Nebraska The affidavit for transfer of real property without probate may be used to transfer real property of the deceased, without probate, where: Avoiding probate in nebraska can help you streamline the transfer of assets, reduce legal costs and maintain the privacy of your estate. A simple probate performed by an attorney for an hourly fee usually costs $6,000 to $7,500.. How Do You Avoid Probate In Nebraska.
From www.morganlegalny.com
Probate attorney near me & avoiding probate with an explanation. How Do You Avoid Probate In Nebraska The primary reason for this is the many. One strategy that can simplify this process is the transfer on death (tod) provision. The court will approve or appoint an. The first step is to file a petition with the court where the decedent lived before their death. Avoiding probate in nebraska can help you streamline the transfer of assets, reduce. How Do You Avoid Probate In Nebraska.
From www.lrmmt.com
5 Tips to Avoid Probate Lowthorp Richards How Do You Avoid Probate In Nebraska One strategy that can simplify this process is the transfer on death (tod) provision. The first step is to file a petition with the court where the decedent lived before their death. The primary reason for this is the many. The affidavit for transfer of real property without probate may be used to transfer real property of the deceased, without. How Do You Avoid Probate In Nebraska.
From www.youtube.com
Tips and Tricks to Avoid Probate Things you can do to help in How Do You Avoid Probate In Nebraska The court will approve or appoint an. The affidavit for transfer of real property without probate may be used to transfer real property of the deceased, without probate, where: A simple probate performed by an attorney for an hourly fee usually costs $6,000 to $7,500. Avoiding probate in nebraska can help you streamline the transfer of assets, reduce legal costs. How Do You Avoid Probate In Nebraska.
From www.supsalv.org
How to Avoid Probate A Guide to Protecting Your Assets The Cognition How Do You Avoid Probate In Nebraska The first step is to file a petition with the court where the decedent lived before their death. One strategy that can simplify this process is the transfer on death (tod) provision. The affidavit for transfer of real property without probate may be used to transfer real property of the deceased, without probate, where: In this detailed guide of nebraska. How Do You Avoid Probate In Nebraska.
From www.francelawfirm.com
Probate and How to Avoid It France Law Firm How Do You Avoid Probate In Nebraska In this detailed guide of nebraska inheritance laws, we break down intestate succession, probate, taxes, what makes a will valid and more. Avoiding probate in nebraska can help you streamline the transfer of assets, reduce legal costs and maintain the privacy of your estate. This article provides a detailed. One strategy that can simplify this process is the transfer on. How Do You Avoid Probate In Nebraska.
From www.lopezlawfirmdc.com
How to avoid probate (and what is) in Washington D.C. How Do You Avoid Probate In Nebraska The primary reason for this is the many. The first step is to file a petition with the court where the decedent lived before their death. One strategy that can simplify this process is the transfer on death (tod) provision. The affidavit for transfer of real property without probate may be used to transfer real property of the deceased, without. How Do You Avoid Probate In Nebraska.
From www.youtube.com
Nebraska Probate Attorney YouTube How Do You Avoid Probate In Nebraska The court will approve or appoint an. In this detailed guide of nebraska inheritance laws, we break down intestate succession, probate, taxes, what makes a will valid and more. Avoiding probate in nebraska can help you streamline the transfer of assets, reduce legal costs and maintain the privacy of your estate. The primary reason for this is the many. This. How Do You Avoid Probate In Nebraska.
From thinkwealth.io
Why You Should Avoid Probate ThinkWealth How Do You Avoid Probate In Nebraska This article provides a detailed. The primary reason for this is the many. The affidavit for transfer of real property without probate may be used to transfer real property of the deceased, without probate, where: The court will approve or appoint an. Avoiding probate in nebraska can help you streamline the transfer of assets, reduce legal costs and maintain the. How Do You Avoid Probate In Nebraska.
From www.garybuyshouses.com
Wills, Property & Courts How To Avoid Probate [2019 Guide] How Do You Avoid Probate In Nebraska The affidavit for transfer of real property without probate may be used to transfer real property of the deceased, without probate, where: A simple probate performed by an attorney for an hourly fee usually costs $6,000 to $7,500. This article provides a detailed. The primary reason for this is the many. Avoiding probate in nebraska can help you streamline the. How Do You Avoid Probate In Nebraska.