Meter Stick Moment Of Inertia . By finding the moment of inertia for the meter stick about its center of mass and then applying the parallel axis theorem to it, we can find. 35 rows learn how to calculate the moment of inertia, a measure of an object's resistance to rotational acceleration, for various shapes and. See examples of uniform thin rods, disks, and spheres, and how to apply the. Learn how to use the equation i = ∑ i mir2 i to find the moment of inertia for different shapes and axes of rotation. Learn how to calculate the moment of inertia of a solid sphere around any axis, and compare it with the moment of inertia of a. The moment of inertia depends on both the mass of the object and how this mass is distributed relative to the axis of rotation. The purpose of this experiment is to determine the experimental moment of inertia of a disk and of a ring by using the principle of conservation of. The moment of inertia for a point mass is ip = mr2, where m is the mass and r is the radius from the point about which the mass rotates.
from askfilo.com
Learn how to use the equation i = ∑ i mir2 i to find the moment of inertia for different shapes and axes of rotation. The moment of inertia depends on both the mass of the object and how this mass is distributed relative to the axis of rotation. See examples of uniform thin rods, disks, and spheres, and how to apply the. The moment of inertia for a point mass is ip = mr2, where m is the mass and r is the radius from the point about which the mass rotates. The purpose of this experiment is to determine the experimental moment of inertia of a disk and of a ring by using the principle of conservation of. Learn how to calculate the moment of inertia of a solid sphere around any axis, and compare it with the moment of inertia of a. 35 rows learn how to calculate the moment of inertia, a measure of an object's resistance to rotational acceleration, for various shapes and. By finding the moment of inertia for the meter stick about its center of mass and then applying the parallel axis theorem to it, we can find.
d ele trical 100−4000lim 400 (5. The moment of inertia of meter stick of
Meter Stick Moment Of Inertia Learn how to use the equation i = ∑ i mir2 i to find the moment of inertia for different shapes and axes of rotation. The moment of inertia for a point mass is ip = mr2, where m is the mass and r is the radius from the point about which the mass rotates. The moment of inertia depends on both the mass of the object and how this mass is distributed relative to the axis of rotation. The purpose of this experiment is to determine the experimental moment of inertia of a disk and of a ring by using the principle of conservation of. See examples of uniform thin rods, disks, and spheres, and how to apply the. By finding the moment of inertia for the meter stick about its center of mass and then applying the parallel axis theorem to it, we can find. Learn how to calculate the moment of inertia of a solid sphere around any axis, and compare it with the moment of inertia of a. 35 rows learn how to calculate the moment of inertia, a measure of an object's resistance to rotational acceleration, for various shapes and. Learn how to use the equation i = ∑ i mir2 i to find the moment of inertia for different shapes and axes of rotation.
From www.numerade.com
SOLVED 8179 Part (e) Enter the general expression for the moment of Meter Stick Moment Of Inertia The purpose of this experiment is to determine the experimental moment of inertia of a disk and of a ring by using the principle of conservation of. See examples of uniform thin rods, disks, and spheres, and how to apply the. Learn how to calculate the moment of inertia of a solid sphere around any axis, and compare it with. Meter Stick Moment Of Inertia.
From www.numerade.com
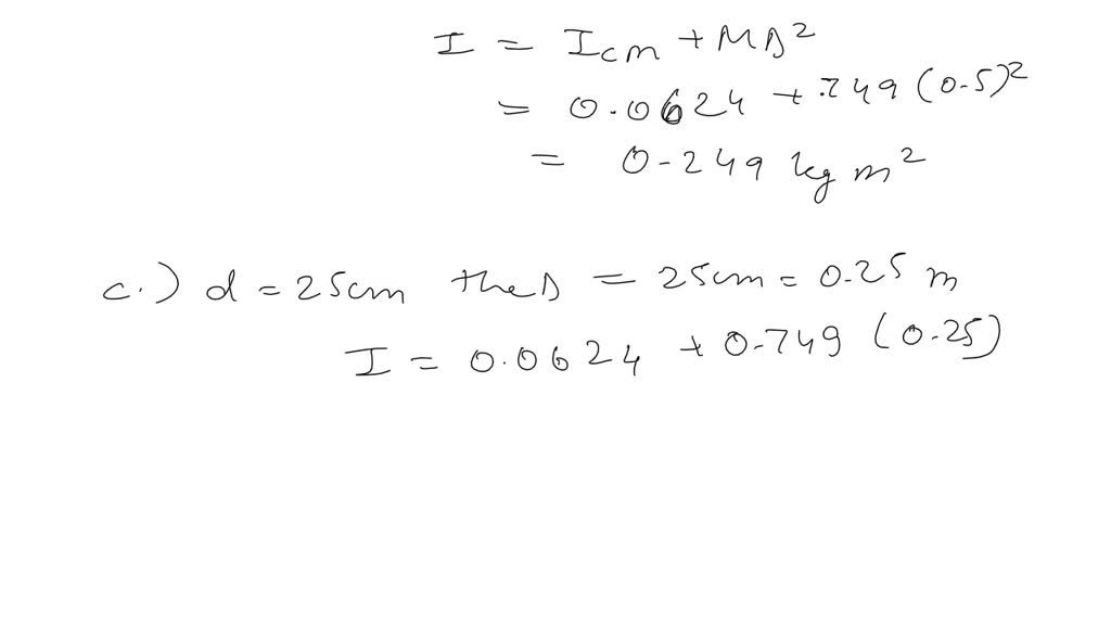
SOLVED Part (a) Calculate the moment of inertia in kg⋅m2 of the meter Meter Stick Moment Of Inertia See examples of uniform thin rods, disks, and spheres, and how to apply the. The purpose of this experiment is to determine the experimental moment of inertia of a disk and of a ring by using the principle of conservation of. The moment of inertia for a point mass is ip = mr2, where m is the mass and r. Meter Stick Moment Of Inertia.
From www.youtube.com
【AP物理C】Calculate the rotational inertia of a meter stick, with mass 0. Meter Stick Moment Of Inertia Learn how to use the equation i = ∑ i mir2 i to find the moment of inertia for different shapes and axes of rotation. The purpose of this experiment is to determine the experimental moment of inertia of a disk and of a ring by using the principle of conservation of. By finding the moment of inertia for the. Meter Stick Moment Of Inertia.
From www.chegg.com
Solved The moment of inertia of a meter stick of length Meter Stick Moment Of Inertia The moment of inertia for a point mass is ip = mr2, where m is the mass and r is the radius from the point about which the mass rotates. The purpose of this experiment is to determine the experimental moment of inertia of a disk and of a ring by using the principle of conservation of. By finding the. Meter Stick Moment Of Inertia.
From askfilo.com
d ele trical 100−4000lim 400 (5. The moment of inertia of meter stick of Meter Stick Moment Of Inertia The moment of inertia depends on both the mass of the object and how this mass is distributed relative to the axis of rotation. The purpose of this experiment is to determine the experimental moment of inertia of a disk and of a ring by using the principle of conservation of. The moment of inertia for a point mass is. Meter Stick Moment Of Inertia.
From www.chegg.com
Solved Physical Pendulum (Meterstick) Moment of Inertia, M Meter Stick Moment Of Inertia The moment of inertia depends on both the mass of the object and how this mass is distributed relative to the axis of rotation. By finding the moment of inertia for the meter stick about its center of mass and then applying the parallel axis theorem to it, we can find. See examples of uniform thin rods, disks, and spheres,. Meter Stick Moment Of Inertia.
From www.chegg.com
Solved otne mass of the stick 4.2 Moment Of Inertia And Meter Stick Moment Of Inertia Learn how to use the equation i = ∑ i mir2 i to find the moment of inertia for different shapes and axes of rotation. Learn how to calculate the moment of inertia of a solid sphere around any axis, and compare it with the moment of inertia of a. 35 rows learn how to calculate the moment of inertia,. Meter Stick Moment Of Inertia.
From www.chegg.com
Solved 4) Calculate the rotational inertia of a meter stick, Meter Stick Moment Of Inertia The purpose of this experiment is to determine the experimental moment of inertia of a disk and of a ring by using the principle of conservation of. Learn how to use the equation i = ∑ i mir2 i to find the moment of inertia for different shapes and axes of rotation. Learn how to calculate the moment of inertia. Meter Stick Moment Of Inertia.
From www.youtube.com
Derive the moment of inertia for a long stick. YouTube Meter Stick Moment Of Inertia Learn how to calculate the moment of inertia of a solid sphere around any axis, and compare it with the moment of inertia of a. The moment of inertia for a point mass is ip = mr2, where m is the mass and r is the radius from the point about which the mass rotates. By finding the moment of. Meter Stick Moment Of Inertia.
From www.numerade.com
SOLVED Calculate the moment of inertia (in SI units) for the following Meter Stick Moment Of Inertia The purpose of this experiment is to determine the experimental moment of inertia of a disk and of a ring by using the principle of conservation of. Learn how to calculate the moment of inertia of a solid sphere around any axis, and compare it with the moment of inertia of a. The moment of inertia for a point mass. Meter Stick Moment Of Inertia.
From www.toppr.com
Calculate the rotational inertia of a meter stick, with mass 0.56 kg Meter Stick Moment Of Inertia The purpose of this experiment is to determine the experimental moment of inertia of a disk and of a ring by using the principle of conservation of. The moment of inertia for a point mass is ip = mr2, where m is the mass and r is the radius from the point about which the mass rotates. Learn how to. Meter Stick Moment Of Inertia.
From www.poznavayka.org
Moment of Inertia Simple Definition, Formulas, Examples Meter Stick Moment Of Inertia The moment of inertia for a point mass is ip = mr2, where m is the mass and r is the radius from the point about which the mass rotates. By finding the moment of inertia for the meter stick about its center of mass and then applying the parallel axis theorem to it, we can find. The moment of. Meter Stick Moment Of Inertia.
From www.numerade.com
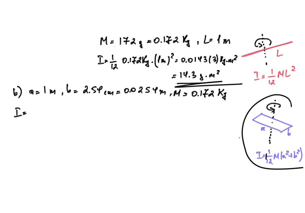
SOLVED(a) Find the rotational inertia of a meter stick with mass 172 g Meter Stick Moment Of Inertia 35 rows learn how to calculate the moment of inertia, a measure of an object's resistance to rotational acceleration, for various shapes and. See examples of uniform thin rods, disks, and spheres, and how to apply the. Learn how to use the equation i = ∑ i mir2 i to find the moment of inertia for different shapes and axes. Meter Stick Moment Of Inertia.
From mavink.com
Moment Of Inertia For Beam Meter Stick Moment Of Inertia By finding the moment of inertia for the meter stick about its center of mass and then applying the parallel axis theorem to it, we can find. See examples of uniform thin rods, disks, and spheres, and how to apply the. 35 rows learn how to calculate the moment of inertia, a measure of an object's resistance to rotational acceleration,. Meter Stick Moment Of Inertia.
From www.chegg.com
Solved Calculate the rotational inertia of a meter stick, Meter Stick Moment Of Inertia By finding the moment of inertia for the meter stick about its center of mass and then applying the parallel axis theorem to it, we can find. The moment of inertia depends on both the mass of the object and how this mass is distributed relative to the axis of rotation. See examples of uniform thin rods, disks, and spheres,. Meter Stick Moment Of Inertia.
From www.numerade.com
SOLVEDExample 10.5 (a) Find the rotational inertia of a meter stick Meter Stick Moment Of Inertia Learn how to calculate the moment of inertia of a solid sphere around any axis, and compare it with the moment of inertia of a. The purpose of this experiment is to determine the experimental moment of inertia of a disk and of a ring by using the principle of conservation of. The moment of inertia for a point mass. Meter Stick Moment Of Inertia.
From www.youtube.com
Moment of Inertia for Sticks YouTube Meter Stick Moment Of Inertia The moment of inertia depends on both the mass of the object and how this mass is distributed relative to the axis of rotation. The moment of inertia for a point mass is ip = mr2, where m is the mass and r is the radius from the point about which the mass rotates. The purpose of this experiment is. Meter Stick Moment Of Inertia.
From www.youtube.com
How to Calculate I of a Stick Moments of Inertia In Your Face Doc Meter Stick Moment Of Inertia The moment of inertia depends on both the mass of the object and how this mass is distributed relative to the axis of rotation. 35 rows learn how to calculate the moment of inertia, a measure of an object's resistance to rotational acceleration, for various shapes and. Learn how to use the equation i = ∑ i mir2 i to. Meter Stick Moment Of Inertia.
From www.slideserve.com
PPT (106) PowerPoint Presentation, free download ID5571324 Meter Stick Moment Of Inertia Learn how to calculate the moment of inertia of a solid sphere around any axis, and compare it with the moment of inertia of a. 35 rows learn how to calculate the moment of inertia, a measure of an object's resistance to rotational acceleration, for various shapes and. The purpose of this experiment is to determine the experimental moment of. Meter Stick Moment Of Inertia.
From www.numerade.com
SOLVED Question 5 pts Two identical meter sticks are connected as Meter Stick Moment Of Inertia See examples of uniform thin rods, disks, and spheres, and how to apply the. The moment of inertia depends on both the mass of the object and how this mass is distributed relative to the axis of rotation. Learn how to use the equation i = ∑ i mir2 i to find the moment of inertia for different shapes and. Meter Stick Moment Of Inertia.
From www.youtube.com
A physical pendulum consists of a meter stick that is pivoted at a Meter Stick Moment Of Inertia See examples of uniform thin rods, disks, and spheres, and how to apply the. The purpose of this experiment is to determine the experimental moment of inertia of a disk and of a ring by using the principle of conservation of. By finding the moment of inertia for the meter stick about its center of mass and then applying the. Meter Stick Moment Of Inertia.
From mungfali.com
Moment Of Inertia Of Rod Meter Stick Moment Of Inertia See examples of uniform thin rods, disks, and spheres, and how to apply the. 35 rows learn how to calculate the moment of inertia, a measure of an object's resistance to rotational acceleration, for various shapes and. The moment of inertia depends on both the mass of the object and how this mass is distributed relative to the axis of. Meter Stick Moment Of Inertia.
From www.youtube.com
Moment of Inertia of a stick YouTube Meter Stick Moment Of Inertia See examples of uniform thin rods, disks, and spheres, and how to apply the. Learn how to use the equation i = ∑ i mir2 i to find the moment of inertia for different shapes and axes of rotation. By finding the moment of inertia for the meter stick about its center of mass and then applying the parallel axis. Meter Stick Moment Of Inertia.
From byjus.com
Moment Of Inertia Formula, Unit, Dimension And Solved Examples Meter Stick Moment Of Inertia Learn how to use the equation i = ∑ i mir2 i to find the moment of inertia for different shapes and axes of rotation. 35 rows learn how to calculate the moment of inertia, a measure of an object's resistance to rotational acceleration, for various shapes and. See examples of uniform thin rods, disks, and spheres, and how to. Meter Stick Moment Of Inertia.
From brainly.in
The moment of inertia of meter stick of mass length L and mass M about Meter Stick Moment Of Inertia Learn how to calculate the moment of inertia of a solid sphere around any axis, and compare it with the moment of inertia of a. The moment of inertia for a point mass is ip = mr2, where m is the mass and r is the radius from the point about which the mass rotates. Learn how to use the. Meter Stick Moment Of Inertia.
From www.numerade.com
SOLVED Two identical meter sticks are connected as shown in the Meter Stick Moment Of Inertia Learn how to calculate the moment of inertia of a solid sphere around any axis, and compare it with the moment of inertia of a. The purpose of this experiment is to determine the experimental moment of inertia of a disk and of a ring by using the principle of conservation of. Learn how to use the equation i =. Meter Stick Moment Of Inertia.
From www.coursehero.com
[Solved] . The moment of inertia of a meter stick of length L = 100 cm Meter Stick Moment Of Inertia The purpose of this experiment is to determine the experimental moment of inertia of a disk and of a ring by using the principle of conservation of. Learn how to calculate the moment of inertia of a solid sphere around any axis, and compare it with the moment of inertia of a. See examples of uniform thin rods, disks, and. Meter Stick Moment Of Inertia.
From www.numerade.com
SOLVED Part II Physical Pendulum (Meterstick) Moment of Inertia Meter Stick Moment Of Inertia The purpose of this experiment is to determine the experimental moment of inertia of a disk and of a ring by using the principle of conservation of. The moment of inertia depends on both the mass of the object and how this mass is distributed relative to the axis of rotation. The moment of inertia for a point mass is. Meter Stick Moment Of Inertia.
From www.chegg.com
Solved Physical Pendulum (Meterstick) Moment of Inertia, M Meter Stick Moment Of Inertia By finding the moment of inertia for the meter stick about its center of mass and then applying the parallel axis theorem to it, we can find. See examples of uniform thin rods, disks, and spheres, and how to apply the. Learn how to calculate the moment of inertia of a solid sphere around any axis, and compare it with. Meter Stick Moment Of Inertia.
From www.numerade.com
SOLVED The moment of inertia of a meter stick of length L = 100 cm and Meter Stick Moment Of Inertia Learn how to use the equation i = ∑ i mir2 i to find the moment of inertia for different shapes and axes of rotation. The moment of inertia depends on both the mass of the object and how this mass is distributed relative to the axis of rotation. The moment of inertia for a point mass is ip =. Meter Stick Moment Of Inertia.
From www.chegg.com
Solved The moment of inertia of a meter stick of length Meter Stick Moment Of Inertia The moment of inertia for a point mass is ip = mr2, where m is the mass and r is the radius from the point about which the mass rotates. The moment of inertia depends on both the mass of the object and how this mass is distributed relative to the axis of rotation. Learn how to use the equation. Meter Stick Moment Of Inertia.
From www.youtube.com
Determining the Moment of Inertia of a Meter Stick YouTube Meter Stick Moment Of Inertia The moment of inertia depends on both the mass of the object and how this mass is distributed relative to the axis of rotation. By finding the moment of inertia for the meter stick about its center of mass and then applying the parallel axis theorem to it, we can find. The purpose of this experiment is to determine the. Meter Stick Moment Of Inertia.
From phys4as15fyguo.blogspot.com
Phys4AS15 fyguo June042015 Lab 19 Conservation of Energy Meter Stick Moment Of Inertia See examples of uniform thin rods, disks, and spheres, and how to apply the. 35 rows learn how to calculate the moment of inertia, a measure of an object's resistance to rotational acceleration, for various shapes and. Learn how to calculate the moment of inertia of a solid sphere around any axis, and compare it with the moment of inertia. Meter Stick Moment Of Inertia.
From www.chegg.com
Solved 4.2 Moment Of Inertia And Parallel Axis Theorem F F2 Meter Stick Moment Of Inertia The moment of inertia for a point mass is ip = mr2, where m is the mass and r is the radius from the point about which the mass rotates. See examples of uniform thin rods, disks, and spheres, and how to apply the. Learn how to calculate the moment of inertia of a solid sphere around any axis, and. Meter Stick Moment Of Inertia.
From www.numerade.com
SOLVED Use the parallelaxis theorem to calculate the rotational Meter Stick Moment Of Inertia The moment of inertia for a point mass is ip = mr2, where m is the mass and r is the radius from the point about which the mass rotates. 35 rows learn how to calculate the moment of inertia, a measure of an object's resistance to rotational acceleration, for various shapes and. See examples of uniform thin rods, disks,. Meter Stick Moment Of Inertia.