What Is Normal Size Of Pulmonary Artery . These arteries then travel to. lanzarini et al 12 found that a paat value <93 ms identified 67.4% of patients with pulmonary hypertension (ph). In healthy adults, the paat. The pulmonary arteries have thin distensible walls with less elastic tissue than the systemic arteries. the pulmonary trunk is approximately 50 mm long and 30 mm wide (most authors use 29 mm in males and 27 mm in females. beneath your aortic arch, your main pulmonary artery splits into the right pulmonary artery and left pulmonary artery. these values are 28.6 mm for the main pulmonary artery, 28 mm for the left pulmonary artery, and 24.3 mm for the right pulmonary artery.
from www.researchgate.net
In healthy adults, the paat. These arteries then travel to. these values are 28.6 mm for the main pulmonary artery, 28 mm for the left pulmonary artery, and 24.3 mm for the right pulmonary artery. beneath your aortic arch, your main pulmonary artery splits into the right pulmonary artery and left pulmonary artery. the pulmonary trunk is approximately 50 mm long and 30 mm wide (most authors use 29 mm in males and 27 mm in females. lanzarini et al 12 found that a paat value <93 ms identified 67.4% of patients with pulmonary hypertension (ph). The pulmonary arteries have thin distensible walls with less elastic tissue than the systemic arteries.
Measurement of the pulmonary artery (PA) and ascending aorta (A
What Is Normal Size Of Pulmonary Artery lanzarini et al 12 found that a paat value <93 ms identified 67.4% of patients with pulmonary hypertension (ph). beneath your aortic arch, your main pulmonary artery splits into the right pulmonary artery and left pulmonary artery. These arteries then travel to. the pulmonary trunk is approximately 50 mm long and 30 mm wide (most authors use 29 mm in males and 27 mm in females. these values are 28.6 mm for the main pulmonary artery, 28 mm for the left pulmonary artery, and 24.3 mm for the right pulmonary artery. The pulmonary arteries have thin distensible walls with less elastic tissue than the systemic arteries. lanzarini et al 12 found that a paat value <93 ms identified 67.4% of patients with pulmonary hypertension (ph). In healthy adults, the paat.
From www.researchgate.net
Axial CT showing right pulmonary artery at normal diameter (arrow) and What Is Normal Size Of Pulmonary Artery These arteries then travel to. The pulmonary arteries have thin distensible walls with less elastic tissue than the systemic arteries. In healthy adults, the paat. the pulmonary trunk is approximately 50 mm long and 30 mm wide (most authors use 29 mm in males and 27 mm in females. these values are 28.6 mm for the main pulmonary. What Is Normal Size Of Pulmonary Artery.
From www.researchgate.net
The relationship of main pulmonary artery diameter (mm) and body What Is Normal Size Of Pulmonary Artery lanzarini et al 12 found that a paat value <93 ms identified 67.4% of patients with pulmonary hypertension (ph). The pulmonary arteries have thin distensible walls with less elastic tissue than the systemic arteries. the pulmonary trunk is approximately 50 mm long and 30 mm wide (most authors use 29 mm in males and 27 mm in females.. What Is Normal Size Of Pulmonary Artery.
From www.meddean.luc.edu
Main Pulmonary Artery What Is Normal Size Of Pulmonary Artery beneath your aortic arch, your main pulmonary artery splits into the right pulmonary artery and left pulmonary artery. The pulmonary arteries have thin distensible walls with less elastic tissue than the systemic arteries. In healthy adults, the paat. the pulmonary trunk is approximately 50 mm long and 30 mm wide (most authors use 29 mm in males and. What Is Normal Size Of Pulmonary Artery.
From johnsonfrancis.org
Normal Chest XRay All About Heart And Blood Vessels What Is Normal Size Of Pulmonary Artery beneath your aortic arch, your main pulmonary artery splits into the right pulmonary artery and left pulmonary artery. The pulmonary arteries have thin distensible walls with less elastic tissue than the systemic arteries. These arteries then travel to. the pulmonary trunk is approximately 50 mm long and 30 mm wide (most authors use 29 mm in males and. What Is Normal Size Of Pulmonary Artery.
From lungs.thecommonvein.net
Size of the Pulmonary Artery Abnormal Lungs What Is Normal Size Of Pulmonary Artery The pulmonary arteries have thin distensible walls with less elastic tissue than the systemic arteries. these values are 28.6 mm for the main pulmonary artery, 28 mm for the left pulmonary artery, and 24.3 mm for the right pulmonary artery. the pulmonary trunk is approximately 50 mm long and 30 mm wide (most authors use 29 mm in. What Is Normal Size Of Pulmonary Artery.
From biologydictionary.net
Pulmonary Artery The Definitive Guide Biology Dictionary What Is Normal Size Of Pulmonary Artery these values are 28.6 mm for the main pulmonary artery, 28 mm for the left pulmonary artery, and 24.3 mm for the right pulmonary artery. lanzarini et al 12 found that a paat value <93 ms identified 67.4% of patients with pulmonary hypertension (ph). In healthy adults, the paat. the pulmonary trunk is approximately 50 mm long. What Is Normal Size Of Pulmonary Artery.
From mavink.com
Aorta Diameter Radiology What Is Normal Size Of Pulmonary Artery lanzarini et al 12 found that a paat value <93 ms identified 67.4% of patients with pulmonary hypertension (ph). these values are 28.6 mm for the main pulmonary artery, 28 mm for the left pulmonary artery, and 24.3 mm for the right pulmonary artery. These arteries then travel to. In healthy adults, the paat. the pulmonary trunk. What Is Normal Size Of Pulmonary Artery.
From www.cureus.com
A Comparison of the Pulmonary Valve, Main Pulmonary Artery, and Branch What Is Normal Size Of Pulmonary Artery these values are 28.6 mm for the main pulmonary artery, 28 mm for the left pulmonary artery, and 24.3 mm for the right pulmonary artery. beneath your aortic arch, your main pulmonary artery splits into the right pulmonary artery and left pulmonary artery. These arteries then travel to. The pulmonary arteries have thin distensible walls with less elastic. What Is Normal Size Of Pulmonary Artery.
From pubs.rsna.org
Diameter of the Pulmonary Artery in Relation to the Ascending Aorta What Is Normal Size Of Pulmonary Artery These arteries then travel to. beneath your aortic arch, your main pulmonary artery splits into the right pulmonary artery and left pulmonary artery. these values are 28.6 mm for the main pulmonary artery, 28 mm for the left pulmonary artery, and 24.3 mm for the right pulmonary artery. The pulmonary arteries have thin distensible walls with less elastic. What Is Normal Size Of Pulmonary Artery.
From www.slideshare.net
CTA OF PULMONARY EMBOLISM What Is Normal Size Of Pulmonary Artery In healthy adults, the paat. these values are 28.6 mm for the main pulmonary artery, 28 mm for the left pulmonary artery, and 24.3 mm for the right pulmonary artery. lanzarini et al 12 found that a paat value <93 ms identified 67.4% of patients with pulmonary hypertension (ph). the pulmonary trunk is approximately 50 mm long. What Is Normal Size Of Pulmonary Artery.
From www.researchgate.net
Geometric differences between normal pulmonary arteries versus What Is Normal Size Of Pulmonary Artery beneath your aortic arch, your main pulmonary artery splits into the right pulmonary artery and left pulmonary artery. These arteries then travel to. In healthy adults, the paat. these values are 28.6 mm for the main pulmonary artery, 28 mm for the left pulmonary artery, and 24.3 mm for the right pulmonary artery. the pulmonary trunk is. What Is Normal Size Of Pulmonary Artery.
From www.researchgate.net
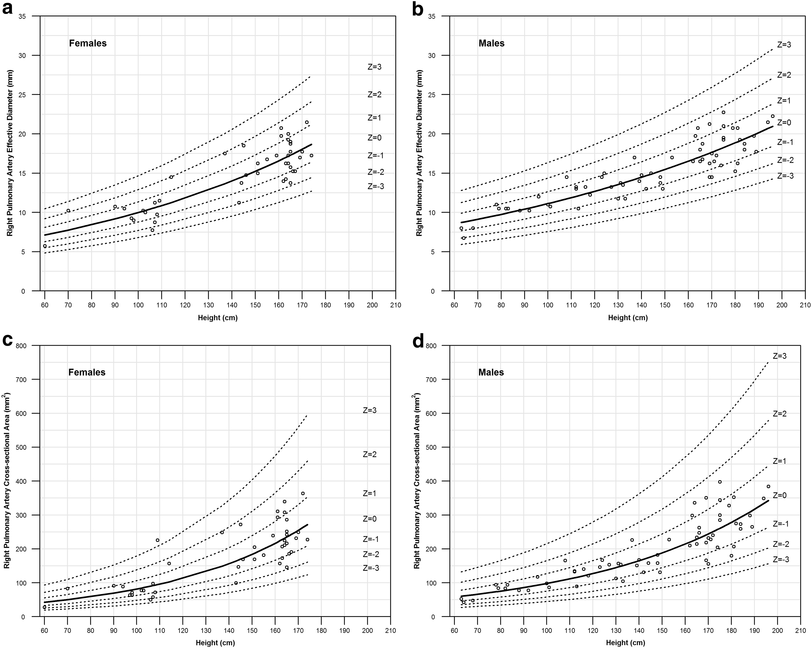
Normal pulmonary artery and branch pulmonary artery sizes in children What Is Normal Size Of Pulmonary Artery beneath your aortic arch, your main pulmonary artery splits into the right pulmonary artery and left pulmonary artery. the pulmonary trunk is approximately 50 mm long and 30 mm wide (most authors use 29 mm in males and 27 mm in females. lanzarini et al 12 found that a paat value <93 ms identified 67.4% of patients. What Is Normal Size Of Pulmonary Artery.
From www.researchgate.net
Segments of the ascending and descending aorta. rPA = right pulmonary What Is Normal Size Of Pulmonary Artery These arteries then travel to. The pulmonary arteries have thin distensible walls with less elastic tissue than the systemic arteries. lanzarini et al 12 found that a paat value <93 ms identified 67.4% of patients with pulmonary hypertension (ph). In healthy adults, the paat. beneath your aortic arch, your main pulmonary artery splits into the right pulmonary artery. What Is Normal Size Of Pulmonary Artery.
From www.researchgate.net
The pulmonary artery diameter was measured at the trunk of the What Is Normal Size Of Pulmonary Artery these values are 28.6 mm for the main pulmonary artery, 28 mm for the left pulmonary artery, and 24.3 mm for the right pulmonary artery. These arteries then travel to. lanzarini et al 12 found that a paat value <93 ms identified 67.4% of patients with pulmonary hypertension (ph). The pulmonary arteries have thin distensible walls with less. What Is Normal Size Of Pulmonary Artery.
From www.researchgate.net
The diameter of the main pulmonary artery (PA) and the diameter of the What Is Normal Size Of Pulmonary Artery The pulmonary arteries have thin distensible walls with less elastic tissue than the systemic arteries. beneath your aortic arch, your main pulmonary artery splits into the right pulmonary artery and left pulmonary artery. the pulmonary trunk is approximately 50 mm long and 30 mm wide (most authors use 29 mm in males and 27 mm in females. . What Is Normal Size Of Pulmonary Artery.
From radiologykey.com
6 Pulmonary Artery and Vein Radiology Key What Is Normal Size Of Pulmonary Artery lanzarini et al 12 found that a paat value <93 ms identified 67.4% of patients with pulmonary hypertension (ph). beneath your aortic arch, your main pulmonary artery splits into the right pulmonary artery and left pulmonary artery. these values are 28.6 mm for the main pulmonary artery, 28 mm for the left pulmonary artery, and 24.3 mm. What Is Normal Size Of Pulmonary Artery.
From www.researchgate.net
Measurement of the pulmonary artery (PA) and ascending aorta (A What Is Normal Size Of Pulmonary Artery beneath your aortic arch, your main pulmonary artery splits into the right pulmonary artery and left pulmonary artery. these values are 28.6 mm for the main pulmonary artery, 28 mm for the left pulmonary artery, and 24.3 mm for the right pulmonary artery. In healthy adults, the paat. These arteries then travel to. The pulmonary arteries have thin. What Is Normal Size Of Pulmonary Artery.
From www.researchgate.net
Schematic representation of the pulmonary arterial tree in the normal What Is Normal Size Of Pulmonary Artery These arteries then travel to. In healthy adults, the paat. lanzarini et al 12 found that a paat value <93 ms identified 67.4% of patients with pulmonary hypertension (ph). The pulmonary arteries have thin distensible walls with less elastic tissue than the systemic arteries. these values are 28.6 mm for the main pulmonary artery, 28 mm for the. What Is Normal Size Of Pulmonary Artery.
From www.kenhub.com
Pulmonary arteries and veins Anatomy and function Kenhub What Is Normal Size Of Pulmonary Artery the pulmonary trunk is approximately 50 mm long and 30 mm wide (most authors use 29 mm in males and 27 mm in females. beneath your aortic arch, your main pulmonary artery splits into the right pulmonary artery and left pulmonary artery. these values are 28.6 mm for the main pulmonary artery, 28 mm for the left. What Is Normal Size Of Pulmonary Artery.
From www.researchgate.net
Geometric differences between normal pulmonary arteries versus What Is Normal Size Of Pulmonary Artery beneath your aortic arch, your main pulmonary artery splits into the right pulmonary artery and left pulmonary artery. the pulmonary trunk is approximately 50 mm long and 30 mm wide (most authors use 29 mm in males and 27 mm in females. these values are 28.6 mm for the main pulmonary artery, 28 mm for the left. What Is Normal Size Of Pulmonary Artery.
From www.thoughtco.com
How the Main Pulmonary Artery Delivers Blood to the Lungs What Is Normal Size Of Pulmonary Artery these values are 28.6 mm for the main pulmonary artery, 28 mm for the left pulmonary artery, and 24.3 mm for the right pulmonary artery. lanzarini et al 12 found that a paat value <93 ms identified 67.4% of patients with pulmonary hypertension (ph). the pulmonary trunk is approximately 50 mm long and 30 mm wide (most. What Is Normal Size Of Pulmonary Artery.
From radiologykey.com
Anatomy Radiology Key What Is Normal Size Of Pulmonary Artery the pulmonary trunk is approximately 50 mm long and 30 mm wide (most authors use 29 mm in males and 27 mm in females. In healthy adults, the paat. these values are 28.6 mm for the main pulmonary artery, 28 mm for the left pulmonary artery, and 24.3 mm for the right pulmonary artery. lanzarini et al. What Is Normal Size Of Pulmonary Artery.
From philschatz.com
Circulatory Pathways · Anatomy and Physiology What Is Normal Size Of Pulmonary Artery These arteries then travel to. the pulmonary trunk is approximately 50 mm long and 30 mm wide (most authors use 29 mm in males and 27 mm in females. beneath your aortic arch, your main pulmonary artery splits into the right pulmonary artery and left pulmonary artery. The pulmonary arteries have thin distensible walls with less elastic tissue. What Is Normal Size Of Pulmonary Artery.
From my.clevelandclinic.org
Pulmonary Arteries What They Are & What They Do What Is Normal Size Of Pulmonary Artery beneath your aortic arch, your main pulmonary artery splits into the right pulmonary artery and left pulmonary artery. These arteries then travel to. In healthy adults, the paat. lanzarini et al 12 found that a paat value <93 ms identified 67.4% of patients with pulmonary hypertension (ph). The pulmonary arteries have thin distensible walls with less elastic tissue. What Is Normal Size Of Pulmonary Artery.
From pediaa.com
Difference Between Pulmonary Artery and Pulmonary Vein Definition What Is Normal Size Of Pulmonary Artery these values are 28.6 mm for the main pulmonary artery, 28 mm for the left pulmonary artery, and 24.3 mm for the right pulmonary artery. beneath your aortic arch, your main pulmonary artery splits into the right pulmonary artery and left pulmonary artery. the pulmonary trunk is approximately 50 mm long and 30 mm wide (most authors. What Is Normal Size Of Pulmonary Artery.
From www.semanticscholar.org
Table 2 from The Significance of Pulmonary Artery Size in Pulmonary What Is Normal Size Of Pulmonary Artery the pulmonary trunk is approximately 50 mm long and 30 mm wide (most authors use 29 mm in males and 27 mm in females. lanzarini et al 12 found that a paat value <93 ms identified 67.4% of patients with pulmonary hypertension (ph). these values are 28.6 mm for the main pulmonary artery, 28 mm for the. What Is Normal Size Of Pulmonary Artery.
From www.artofit.org
Pulmonary artery catheter pressures normal ra 0 8 Artofit What Is Normal Size Of Pulmonary Artery These arteries then travel to. In healthy adults, the paat. lanzarini et al 12 found that a paat value <93 ms identified 67.4% of patients with pulmonary hypertension (ph). the pulmonary trunk is approximately 50 mm long and 30 mm wide (most authors use 29 mm in males and 27 mm in females. beneath your aortic arch,. What Is Normal Size Of Pulmonary Artery.
From www.semanticscholar.org
Figure 1 from CT measurement of central pulmonary arteries to diagnose What Is Normal Size Of Pulmonary Artery the pulmonary trunk is approximately 50 mm long and 30 mm wide (most authors use 29 mm in males and 27 mm in females. lanzarini et al 12 found that a paat value <93 ms identified 67.4% of patients with pulmonary hypertension (ph). beneath your aortic arch, your main pulmonary artery splits into the right pulmonary artery. What Is Normal Size Of Pulmonary Artery.
From www.thoughtco.com
How the Main Pulmonary Artery Delivers Blood to the Lungs What Is Normal Size Of Pulmonary Artery these values are 28.6 mm for the main pulmonary artery, 28 mm for the left pulmonary artery, and 24.3 mm for the right pulmonary artery. beneath your aortic arch, your main pulmonary artery splits into the right pulmonary artery and left pulmonary artery. lanzarini et al 12 found that a paat value <93 ms identified 67.4% of. What Is Normal Size Of Pulmonary Artery.
From www.researchgate.net
(PDF) Comparison of CTDetermined Pulmonary Artery Diameter, Aortic What Is Normal Size Of Pulmonary Artery These arteries then travel to. In healthy adults, the paat. The pulmonary arteries have thin distensible walls with less elastic tissue than the systemic arteries. beneath your aortic arch, your main pulmonary artery splits into the right pulmonary artery and left pulmonary artery. these values are 28.6 mm for the main pulmonary artery, 28 mm for the left. What Is Normal Size Of Pulmonary Artery.
From www.youtube.com
Pulmonary Arteries Location & Function Human Anatomy Kenhub YouTube What Is Normal Size Of Pulmonary Artery The pulmonary arteries have thin distensible walls with less elastic tissue than the systemic arteries. beneath your aortic arch, your main pulmonary artery splits into the right pulmonary artery and left pulmonary artery. In healthy adults, the paat. the pulmonary trunk is approximately 50 mm long and 30 mm wide (most authors use 29 mm in males and. What Is Normal Size Of Pulmonary Artery.
From derangedphysiology.com
Anatomy of the pulmonary and bronchial circulation Deranged Physiology What Is Normal Size Of Pulmonary Artery beneath your aortic arch, your main pulmonary artery splits into the right pulmonary artery and left pulmonary artery. The pulmonary arteries have thin distensible walls with less elastic tissue than the systemic arteries. These arteries then travel to. lanzarini et al 12 found that a paat value <93 ms identified 67.4% of patients with pulmonary hypertension (ph). In. What Is Normal Size Of Pulmonary Artery.
From link.springer.com
Normal pulmonary artery and branch pulmonary artery sizes in children What Is Normal Size Of Pulmonary Artery The pulmonary arteries have thin distensible walls with less elastic tissue than the systemic arteries. these values are 28.6 mm for the main pulmonary artery, 28 mm for the left pulmonary artery, and 24.3 mm for the right pulmonary artery. beneath your aortic arch, your main pulmonary artery splits into the right pulmonary artery and left pulmonary artery.. What Is Normal Size Of Pulmonary Artery.
From www.ahajournals.org
Reference Values for Normal Pulmonary Artery Dimensions by Noncontrast What Is Normal Size Of Pulmonary Artery these values are 28.6 mm for the main pulmonary artery, 28 mm for the left pulmonary artery, and 24.3 mm for the right pulmonary artery. The pulmonary arteries have thin distensible walls with less elastic tissue than the systemic arteries. In healthy adults, the paat. beneath your aortic arch, your main pulmonary artery splits into the right pulmonary. What Is Normal Size Of Pulmonary Artery.
From mungfali.com
Pulmonary Artery Branch Anatomy What Is Normal Size Of Pulmonary Artery The pulmonary arteries have thin distensible walls with less elastic tissue than the systemic arteries. beneath your aortic arch, your main pulmonary artery splits into the right pulmonary artery and left pulmonary artery. These arteries then travel to. these values are 28.6 mm for the main pulmonary artery, 28 mm for the left pulmonary artery, and 24.3 mm. What Is Normal Size Of Pulmonary Artery.