What Is Complex Zero . If \ (f\) is a polynomial \ (f\) with real or complex coefficients with degree \ (n \ge 1\), then \ (f\) has exactly \ (n\) real or complex zeros, counting multiplicities. Complex zeros are complex numbers that make a polynomial equal to zero. The zeros and singularities of a complex analytic function are points where the given function vanishes and ceases to be analytic,. Find out how to factor complex. In other words, a is a root of the. Learn what complex zeros are and how to find them using graphs and factoring. This section discusses complex zeros of polynomials and the fundamental theorem of algebra, which states that every. Learn about complex polynomials, complex zeros, and the fundamental theorem of algebra. The fundamental theorem of algebra tells us that every polynomial function has at least one complex zero. A complex number a is said to be a zero of a polynomial function p if evaluating p(a) gives a result of zero. This theorem forms the foundation for solving polynomial equations.
from www.youtube.com
The fundamental theorem of algebra tells us that every polynomial function has at least one complex zero. A complex number a is said to be a zero of a polynomial function p if evaluating p(a) gives a result of zero. This theorem forms the foundation for solving polynomial equations. The zeros and singularities of a complex analytic function are points where the given function vanishes and ceases to be analytic,. This section discusses complex zeros of polynomials and the fundamental theorem of algebra, which states that every. Learn what complex zeros are and how to find them using graphs and factoring. If \ (f\) is a polynomial \ (f\) with real or complex coefficients with degree \ (n \ge 1\), then \ (f\) has exactly \ (n\) real or complex zeros, counting multiplicities. In other words, a is a root of the. Complex zeros are complex numbers that make a polynomial equal to zero. Learn about complex polynomials, complex zeros, and the fundamental theorem of algebra.
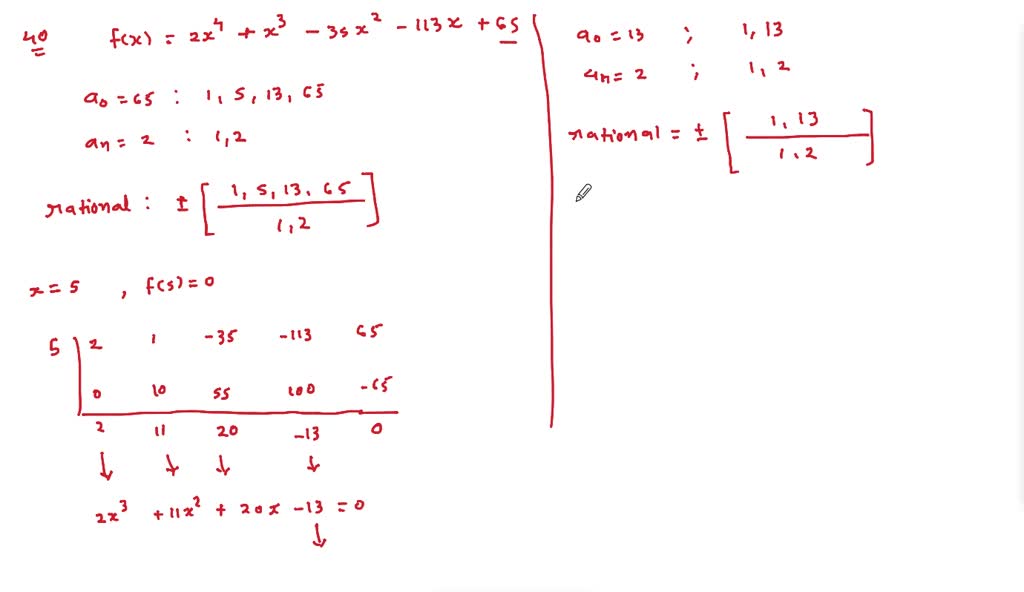
Solving Polynomial Equation Given a Complex Zero (Conjugate Pairs
What Is Complex Zero Find out how to factor complex. The fundamental theorem of algebra tells us that every polynomial function has at least one complex zero. This section discusses complex zeros of polynomials and the fundamental theorem of algebra, which states that every. Complex zeros are complex numbers that make a polynomial equal to zero. Learn what complex zeros are and how to find them using graphs and factoring. In other words, a is a root of the. This theorem forms the foundation for solving polynomial equations. If \ (f\) is a polynomial \ (f\) with real or complex coefficients with degree \ (n \ge 1\), then \ (f\) has exactly \ (n\) real or complex zeros, counting multiplicities. Find out how to factor complex. The zeros and singularities of a complex analytic function are points where the given function vanishes and ceases to be analytic,. A complex number a is said to be a zero of a polynomial function p if evaluating p(a) gives a result of zero. Learn about complex polynomials, complex zeros, and the fundamental theorem of algebra.
From www.numerade.com
SOLVEDIn Problems 3140, find the complex zeros of each polynomial What Is Complex Zero Learn about complex polynomials, complex zeros, and the fundamental theorem of algebra. Find out how to factor complex. This theorem forms the foundation for solving polynomial equations. The fundamental theorem of algebra tells us that every polynomial function has at least one complex zero. A complex number a is said to be a zero of a polynomial function p if. What Is Complex Zero.
From flatworldknowledge.lardbucket.org
Introduction to Complex Numbers and Complex Solutions What Is Complex Zero This theorem forms the foundation for solving polynomial equations. The zeros and singularities of a complex analytic function are points where the given function vanishes and ceases to be analytic,. Learn what complex zeros are and how to find them using graphs and factoring. Complex zeros are complex numbers that make a polynomial equal to zero. Learn about complex polynomials,. What Is Complex Zero.
From www.youtube.com
Complex Zeros YouTube What Is Complex Zero If \ (f\) is a polynomial \ (f\) with real or complex coefficients with degree \ (n \ge 1\), then \ (f\) has exactly \ (n\) real or complex zeros, counting multiplicities. A complex number a is said to be a zero of a polynomial function p if evaluating p(a) gives a result of zero. Learn what complex zeros are. What Is Complex Zero.
From www.youtube.com
2.5 Complex Zeros and the Fundamental Theorem of Algebra YouTube What Is Complex Zero Learn what complex zeros are and how to find them using graphs and factoring. This theorem forms the foundation for solving polynomial equations. Complex zeros are complex numbers that make a polynomial equal to zero. Find out how to factor complex. In other words, a is a root of the. This section discusses complex zeros of polynomials and the fundamental. What Is Complex Zero.
From www.youtube.com
Finding Complex Zeros of a Polynomial (Lesson 2) YouTube What Is Complex Zero A complex number a is said to be a zero of a polynomial function p if evaluating p(a) gives a result of zero. Complex zeros are complex numbers that make a polynomial equal to zero. Find out how to factor complex. Learn what complex zeros are and how to find them using graphs and factoring. The zeros and singularities of. What Is Complex Zero.
From www.slideserve.com
PPT Multiply the factors and write in standard form . 1) 2) 3 What Is Complex Zero The fundamental theorem of algebra tells us that every polynomial function has at least one complex zero. A complex number a is said to be a zero of a polynomial function p if evaluating p(a) gives a result of zero. In other words, a is a root of the. Complex zeros are complex numbers that make a polynomial equal to. What Is Complex Zero.
From www.youtube.com
Given a Complex Zero Find the Remaining Zeros Using Synthetic Division What Is Complex Zero Learn about complex polynomials, complex zeros, and the fundamental theorem of algebra. If \ (f\) is a polynomial \ (f\) with real or complex coefficients with degree \ (n \ge 1\), then \ (f\) has exactly \ (n\) real or complex zeros, counting multiplicities. The zeros and singularities of a complex analytic function are points where the given function vanishes. What Is Complex Zero.
From www.showme.com
ShowMe rational root theorem What Is Complex Zero Complex zeros are complex numbers that make a polynomial equal to zero. The fundamental theorem of algebra tells us that every polynomial function has at least one complex zero. The zeros and singularities of a complex analytic function are points where the given function vanishes and ceases to be analytic,. In other words, a is a root of the. Learn. What Is Complex Zero.
From www.sliderbase.com
Fundamental Theorem of Algebra What Is Complex Zero This section discusses complex zeros of polynomials and the fundamental theorem of algebra, which states that every. The zeros and singularities of a complex analytic function are points where the given function vanishes and ceases to be analytic,. This theorem forms the foundation for solving polynomial equations. Learn what complex zeros are and how to find them using graphs and. What Is Complex Zero.
From www.youtube.com
Polynomial Function with Complex Zeros (Three Ways) YouTube What Is Complex Zero The fundamental theorem of algebra tells us that every polynomial function has at least one complex zero. A complex number a is said to be a zero of a polynomial function p if evaluating p(a) gives a result of zero. If \ (f\) is a polynomial \ (f\) with real or complex coefficients with degree \ (n \ge 1\), then. What Is Complex Zero.
From materialfullnineties.z21.web.core.windows.net
Algebra Of Complex Numbers Pdf What Is Complex Zero In other words, a is a root of the. Learn what complex zeros are and how to find them using graphs and factoring. If \ (f\) is a polynomial \ (f\) with real or complex coefficients with degree \ (n \ge 1\), then \ (f\) has exactly \ (n\) real or complex zeros, counting multiplicities. The fundamental theorem of algebra. What Is Complex Zero.
From www.youtube.com
Linear factorization given complex zero YouTube What Is Complex Zero This section discusses complex zeros of polynomials and the fundamental theorem of algebra, which states that every. Complex zeros are complex numbers that make a polynomial equal to zero. In other words, a is a root of the. The zeros and singularities of a complex analytic function are points where the given function vanishes and ceases to be analytic,. The. What Is Complex Zero.
From www.youtube.com
16 What do Imaginary & Complex Roots of Equations Mean? YouTube What Is Complex Zero This section discusses complex zeros of polynomials and the fundamental theorem of algebra, which states that every. A complex number a is said to be a zero of a polynomial function p if evaluating p(a) gives a result of zero. The zeros and singularities of a complex analytic function are points where the given function vanishes and ceases to be. What Is Complex Zero.
From www.researchgate.net
Phase in first three steps of the of the complex zero search algorithm What Is Complex Zero Complex zeros are complex numbers that make a polynomial equal to zero. In other words, a is a root of the. This theorem forms the foundation for solving polynomial equations. Learn about complex polynomials, complex zeros, and the fundamental theorem of algebra. This section discusses complex zeros of polynomials and the fundamental theorem of algebra, which states that every. Find. What Is Complex Zero.
From www.youtube.com
Zeros and Poles Removable Singularity Complex Analysis 7 YouTube What Is Complex Zero If \ (f\) is a polynomial \ (f\) with real or complex coefficients with degree \ (n \ge 1\), then \ (f\) has exactly \ (n\) real or complex zeros, counting multiplicities. Complex zeros are complex numbers that make a polynomial equal to zero. In other words, a is a root of the. Learn what complex zeros are and how. What Is Complex Zero.
From www.youtube.com
Given an Complex Zero, Find All the Zeros With Quadratic Formula YouTube What Is Complex Zero In other words, a is a root of the. Learn about complex polynomials, complex zeros, and the fundamental theorem of algebra. A complex number a is said to be a zero of a polynomial function p if evaluating p(a) gives a result of zero. Learn what complex zeros are and how to find them using graphs and factoring. Complex zeros. What Is Complex Zero.
From www.slideserve.com
PPT Section 5.6 Complex Zeros; Fundamental Theorem of Algebra What Is Complex Zero The zeros and singularities of a complex analytic function are points where the given function vanishes and ceases to be analytic,. Complex zeros are complex numbers that make a polynomial equal to zero. If \ (f\) is a polynomial \ (f\) with real or complex coefficients with degree \ (n \ge 1\), then \ (f\) has exactly \ (n\) real. What Is Complex Zero.
From www.youtube.com
Solving Polynomial Equation Given a Complex Zero (Conjugate Pairs What Is Complex Zero A complex number a is said to be a zero of a polynomial function p if evaluating p(a) gives a result of zero. Learn about complex polynomials, complex zeros, and the fundamental theorem of algebra. The zeros and singularities of a complex analytic function are points where the given function vanishes and ceases to be analytic,. Find out how to. What Is Complex Zero.
From www.youtube.com
Zero analysis) YouTube What Is Complex Zero Find out how to factor complex. This theorem forms the foundation for solving polynomial equations. If \ (f\) is a polynomial \ (f\) with real or complex coefficients with degree \ (n \ge 1\), then \ (f\) has exactly \ (n\) real or complex zeros, counting multiplicities. A complex number a is said to be a zero of a polynomial. What Is Complex Zero.
From owlcation.com
Math How to Use Complex Numbers and the Complex Plane Owlcation What Is Complex Zero The zeros and singularities of a complex analytic function are points where the given function vanishes and ceases to be analytic,. This theorem forms the foundation for solving polynomial equations. Learn what complex zeros are and how to find them using graphs and factoring. In other words, a is a root of the. The fundamental theorem of algebra tells us. What Is Complex Zero.
From study.com
Complex Zeros of Polynomial Graph & Factoring Lesson What Is Complex Zero If \ (f\) is a polynomial \ (f\) with real or complex coefficients with degree \ (n \ge 1\), then \ (f\) has exactly \ (n\) real or complex zeros, counting multiplicities. Learn about complex polynomials, complex zeros, and the fundamental theorem of algebra. Learn what complex zeros are and how to find them using graphs and factoring. A complex. What Is Complex Zero.
From goodttorials.blogspot.com
How To Find Complex Zeros What Is Complex Zero The zeros and singularities of a complex analytic function are points where the given function vanishes and ceases to be analytic,. This theorem forms the foundation for solving polynomial equations. This section discusses complex zeros of polynomials and the fundamental theorem of algebra, which states that every. Complex zeros are complex numbers that make a polynomial equal to zero. In. What Is Complex Zero.
From www.tes.com
Complex Zeros of Polynomials Partner Activity Teaching Resources What Is Complex Zero The zeros and singularities of a complex analytic function are points where the given function vanishes and ceases to be analytic,. Learn about complex polynomials, complex zeros, and the fundamental theorem of algebra. Find out how to factor complex. Learn what complex zeros are and how to find them using graphs and factoring. If \ (f\) is a polynomial \. What Is Complex Zero.
From www.youtube.com
2 04 Complex Zeros YouTube What Is Complex Zero Learn about complex polynomials, complex zeros, and the fundamental theorem of algebra. If \ (f\) is a polynomial \ (f\) with real or complex coefficients with degree \ (n \ge 1\), then \ (f\) has exactly \ (n\) real or complex zeros, counting multiplicities. The zeros and singularities of a complex analytic function are points where the given function vanishes. What Is Complex Zero.
From www.youtube.com
Complex Zeros from Graphs Notes YouTube What Is Complex Zero If \ (f\) is a polynomial \ (f\) with real or complex coefficients with degree \ (n \ge 1\), then \ (f\) has exactly \ (n\) real or complex zeros, counting multiplicities. The zeros and singularities of a complex analytic function are points where the given function vanishes and ceases to be analytic,. Learn what complex zeros are and how. What Is Complex Zero.
From www.youtube.com
Given One Complex Zero Find the Remaining Zeros of a Polynomial YouTube What Is Complex Zero In other words, a is a root of the. The zeros and singularities of a complex analytic function are points where the given function vanishes and ceases to be analytic,. This theorem forms the foundation for solving polynomial equations. The fundamental theorem of algebra tells us that every polynomial function has at least one complex zero. Learn about complex polynomials,. What Is Complex Zero.
From complexzero.com
. About . Complex Zero What Is Complex Zero If \ (f\) is a polynomial \ (f\) with real or complex coefficients with degree \ (n \ge 1\), then \ (f\) has exactly \ (n\) real or complex zeros, counting multiplicities. Learn what complex zeros are and how to find them using graphs and factoring. This theorem forms the foundation for solving polynomial equations. The zeros and singularities of. What Is Complex Zero.
From www.slideserve.com
PPT SECTION 3.6 PowerPoint Presentation, free download ID966508 What Is Complex Zero A complex number a is said to be a zero of a polynomial function p if evaluating p(a) gives a result of zero. Complex zeros are complex numbers that make a polynomial equal to zero. Learn what complex zeros are and how to find them using graphs and factoring. If \ (f\) is a polynomial \ (f\) with real or. What Is Complex Zero.
From www.youtube.com
How to Find Conjugate of Complex Number Complex Numbers Math Class 9th What Is Complex Zero Find out how to factor complex. Complex zeros are complex numbers that make a polynomial equal to zero. If \ (f\) is a polynomial \ (f\) with real or complex coefficients with degree \ (n \ge 1\), then \ (f\) has exactly \ (n\) real or complex zeros, counting multiplicities. This theorem forms the foundation for solving polynomial equations. The. What Is Complex Zero.
From www.slideserve.com
PPT Section 5.6 Complex Zeros; Fundamental Theorem of Algebra What Is Complex Zero A complex number a is said to be a zero of a polynomial function p if evaluating p(a) gives a result of zero. Find out how to factor complex. In other words, a is a root of the. The fundamental theorem of algebra tells us that every polynomial function has at least one complex zero. This section discusses complex zeros. What Is Complex Zero.
From www.youtube.com
2.5.2 Complex Conjugate Zeros YouTube What Is Complex Zero This section discusses complex zeros of polynomials and the fundamental theorem of algebra, which states that every. Learn what complex zeros are and how to find them using graphs and factoring. In other words, a is a root of the. Learn about complex polynomials, complex zeros, and the fundamental theorem of algebra. If \ (f\) is a polynomial \ (f\). What Is Complex Zero.
From www.slideserve.com
PPT Section 5.6 Complex Zeros; Fundamental Theorem of Algebra What Is Complex Zero The zeros and singularities of a complex analytic function are points where the given function vanishes and ceases to be analytic,. Find out how to factor complex. If \ (f\) is a polynomial \ (f\) with real or complex coefficients with degree \ (n \ge 1\), then \ (f\) has exactly \ (n\) real or complex zeros, counting multiplicities. A. What Is Complex Zero.
From printableliststrand.z21.web.core.windows.net
Identify Real Imaginary Complex Number What Is Complex Zero Complex zeros are complex numbers that make a polynomial equal to zero. Learn what complex zeros are and how to find them using graphs and factoring. Find out how to factor complex. The zeros and singularities of a complex analytic function are points where the given function vanishes and ceases to be analytic,. A complex number a is said to. What Is Complex Zero.
From www.youtube.com
Complex Zeros of Polynomials Lesson 3 5 YouTube What Is Complex Zero This section discusses complex zeros of polynomials and the fundamental theorem of algebra, which states that every. Complex zeros are complex numbers that make a polynomial equal to zero. Learn what complex zeros are and how to find them using graphs and factoring. A complex number a is said to be a zero of a polynomial function p if evaluating. What Is Complex Zero.
From www.youtube.com
Lesson 632 Polynomials Complex Zeros and the Fundamental Theorem of What Is Complex Zero The fundamental theorem of algebra tells us that every polynomial function has at least one complex zero. This theorem forms the foundation for solving polynomial equations. If \ (f\) is a polynomial \ (f\) with real or complex coefficients with degree \ (n \ge 1\), then \ (f\) has exactly \ (n\) real or complex zeros, counting multiplicities. A complex. What Is Complex Zero.