Sodium Hydroxide And Chlorine Equation . The formula for table salt is nacl. Sodium hydroxide reacts with chlorine gas in different ways according to the concentration and temperature of the solution and it gives. Sodium hydroxide, naoh, is also known as lye or caustic soda. Sodium hydroxide is a commonly used base. Electrolysis of concentrated sodium chloride solutions (brine) produces. This process is the electrolysis of sodium chloride (nacl) at an industrial level. If sodium metal and chlorine. Define disproportionation & describe the role of chlorine in water purification. Use our revision notes to revise the reaction of chlorine with naoh.
from www.youtube.com
Sodium hydroxide, naoh, is also known as lye or caustic soda. This process is the electrolysis of sodium chloride (nacl) at an industrial level. If sodium metal and chlorine. Use our revision notes to revise the reaction of chlorine with naoh. Sodium hydroxide reacts with chlorine gas in different ways according to the concentration and temperature of the solution and it gives. Define disproportionation & describe the role of chlorine in water purification. Sodium hydroxide is a commonly used base. Electrolysis of concentrated sodium chloride solutions (brine) produces. The formula for table salt is nacl.
What is the action of chlorine on cold and dilute sodium hydroxide
Sodium Hydroxide And Chlorine Equation Electrolysis of concentrated sodium chloride solutions (brine) produces. Sodium hydroxide, naoh, is also known as lye or caustic soda. The formula for table salt is nacl. This process is the electrolysis of sodium chloride (nacl) at an industrial level. Sodium hydroxide is a commonly used base. Use our revision notes to revise the reaction of chlorine with naoh. If sodium metal and chlorine. Define disproportionation & describe the role of chlorine in water purification. Electrolysis of concentrated sodium chloride solutions (brine) produces. Sodium hydroxide reacts with chlorine gas in different ways according to the concentration and temperature of the solution and it gives.
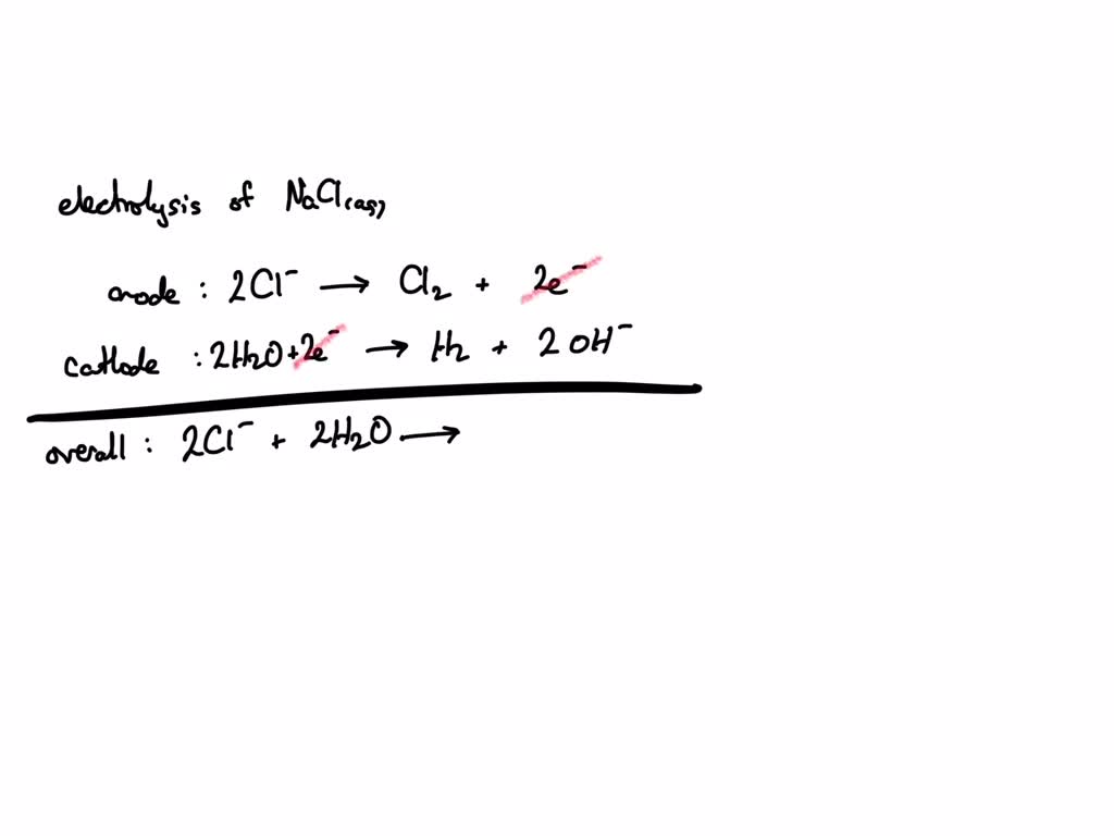
From www.essentialchemicalindustry.org
Chlorine Sodium Hydroxide And Chlorine Equation Electrolysis of concentrated sodium chloride solutions (brine) produces. The formula for table salt is nacl. If sodium metal and chlorine. Sodium hydroxide reacts with chlorine gas in different ways according to the concentration and temperature of the solution and it gives. Define disproportionation & describe the role of chlorine in water purification. Sodium hydroxide, naoh, is also known as lye. Sodium Hydroxide And Chlorine Equation.
From www.tessshebaylo.com
Balanced Chemical Equation For Water And Sodium Hydroxide Tessshebaylo Sodium Hydroxide And Chlorine Equation Sodium hydroxide, naoh, is also known as lye or caustic soda. Sodium hydroxide reacts with chlorine gas in different ways according to the concentration and temperature of the solution and it gives. This process is the electrolysis of sodium chloride (nacl) at an industrial level. Define disproportionation & describe the role of chlorine in water purification. Electrolysis of concentrated sodium. Sodium Hydroxide And Chlorine Equation.
From www.numerade.com
SOLVED Write the chemical equations for the reaction of sodium Sodium Hydroxide And Chlorine Equation Define disproportionation & describe the role of chlorine in water purification. Sodium hydroxide, naoh, is also known as lye or caustic soda. Sodium hydroxide is a commonly used base. If sodium metal and chlorine. The formula for table salt is nacl. Electrolysis of concentrated sodium chloride solutions (brine) produces. Sodium hydroxide reacts with chlorine gas in different ways according to. Sodium Hydroxide And Chlorine Equation.
From indianewsmack.blogspot.com
Hydrochloric Acid and Sodium Hydroxide Balanced Equation With States Sodium Hydroxide And Chlorine Equation Sodium hydroxide reacts with chlorine gas in different ways according to the concentration and temperature of the solution and it gives. Sodium hydroxide, naoh, is also known as lye or caustic soda. The formula for table salt is nacl. Electrolysis of concentrated sodium chloride solutions (brine) produces. Define disproportionation & describe the role of chlorine in water purification. This process. Sodium Hydroxide And Chlorine Equation.
From indianewsmack.blogspot.com
Hydrochloric Acid and Sodium Hydroxide Balanced Equation With States Sodium Hydroxide And Chlorine Equation Sodium hydroxide is a commonly used base. This process is the electrolysis of sodium chloride (nacl) at an industrial level. If sodium metal and chlorine. Use our revision notes to revise the reaction of chlorine with naoh. Sodium hydroxide reacts with chlorine gas in different ways according to the concentration and temperature of the solution and it gives. Define disproportionation. Sodium Hydroxide And Chlorine Equation.
From www.youtube.com
Group 7 Chlorine Reacting With Sodium Hydroxide YouTube Sodium Hydroxide And Chlorine Equation Sodium hydroxide is a commonly used base. Sodium hydroxide reacts with chlorine gas in different ways according to the concentration and temperature of the solution and it gives. Sodium hydroxide, naoh, is also known as lye or caustic soda. The formula for table salt is nacl. If sodium metal and chlorine. This process is the electrolysis of sodium chloride (nacl). Sodium Hydroxide And Chlorine Equation.
From www.toppr.com
When chlorine reacts with cold and dilute solution of sodium hydroxide Sodium Hydroxide And Chlorine Equation Define disproportionation & describe the role of chlorine in water purification. This process is the electrolysis of sodium chloride (nacl) at an industrial level. If sodium metal and chlorine. Sodium hydroxide is a commonly used base. Use our revision notes to revise the reaction of chlorine with naoh. Sodium hydroxide reacts with chlorine gas in different ways according to the. Sodium Hydroxide And Chlorine Equation.
From www.slideserve.com
PPT Reactions of chlorine with water and sodium hydroxide. PowerPoint Sodium Hydroxide And Chlorine Equation The formula for table salt is nacl. Electrolysis of concentrated sodium chloride solutions (brine) produces. Define disproportionation & describe the role of chlorine in water purification. Sodium hydroxide reacts with chlorine gas in different ways according to the concentration and temperature of the solution and it gives. Sodium hydroxide is a commonly used base. If sodium metal and chlorine. This. Sodium Hydroxide And Chlorine Equation.
From www.numerade.com
SOLVEDWrite a balanced molecular equation for the reaction indicated Sodium Hydroxide And Chlorine Equation Sodium hydroxide, naoh, is also known as lye or caustic soda. Define disproportionation & describe the role of chlorine in water purification. This process is the electrolysis of sodium chloride (nacl) at an industrial level. Use our revision notes to revise the reaction of chlorine with naoh. The formula for table salt is nacl. If sodium metal and chlorine. Sodium. Sodium Hydroxide And Chlorine Equation.
From davis-well-rodgers.blogspot.com
Iron Iii Chloride and Sodium Hydroxide Ionic Equation DaviswellRodgers Sodium Hydroxide And Chlorine Equation Define disproportionation & describe the role of chlorine in water purification. If sodium metal and chlorine. Electrolysis of concentrated sodium chloride solutions (brine) produces. Sodium hydroxide reacts with chlorine gas in different ways according to the concentration and temperature of the solution and it gives. This process is the electrolysis of sodium chloride (nacl) at an industrial level. Use our. Sodium Hydroxide And Chlorine Equation.
From www.youtube.com
Type of Reaction for Na + Cl2 = NaCl (Sodium + Chlorine gas) YouTube Sodium Hydroxide And Chlorine Equation Sodium hydroxide is a commonly used base. Define disproportionation & describe the role of chlorine in water purification. This process is the electrolysis of sodium chloride (nacl) at an industrial level. The formula for table salt is nacl. Use our revision notes to revise the reaction of chlorine with naoh. Sodium hydroxide reacts with chlorine gas in different ways according. Sodium Hydroxide And Chlorine Equation.
From basdemax.netlify.app
28++ Hydrochloric Acid And Sodium Hydroxide Balanced Equation Basdemax Sodium Hydroxide And Chlorine Equation This process is the electrolysis of sodium chloride (nacl) at an industrial level. Sodium hydroxide, naoh, is also known as lye or caustic soda. The formula for table salt is nacl. Electrolysis of concentrated sodium chloride solutions (brine) produces. If sodium metal and chlorine. Define disproportionation & describe the role of chlorine in water purification. Sodium hydroxide is a commonly. Sodium Hydroxide And Chlorine Equation.
From tyrelldesnhlawson.blogspot.com
Ammonium Chloride and Sodium Hydroxide Net Ionic Equation Sodium Hydroxide And Chlorine Equation Electrolysis of concentrated sodium chloride solutions (brine) produces. The formula for table salt is nacl. Define disproportionation & describe the role of chlorine in water purification. Use our revision notes to revise the reaction of chlorine with naoh. Sodium hydroxide is a commonly used base. This process is the electrolysis of sodium chloride (nacl) at an industrial level. Sodium hydroxide,. Sodium Hydroxide And Chlorine Equation.
From www.numerade.com
SOLVED Given the following chemical equation for the reaction of Sodium Hydroxide And Chlorine Equation Use our revision notes to revise the reaction of chlorine with naoh. Sodium hydroxide, naoh, is also known as lye or caustic soda. If sodium metal and chlorine. Sodium hydroxide reacts with chlorine gas in different ways according to the concentration and temperature of the solution and it gives. Define disproportionation & describe the role of chlorine in water purification.. Sodium Hydroxide And Chlorine Equation.
From www.slideserve.com
PPT Reactions of chlorine with water and sodium hydroxide. PowerPoint Sodium Hydroxide And Chlorine Equation Define disproportionation & describe the role of chlorine in water purification. Use our revision notes to revise the reaction of chlorine with naoh. Electrolysis of concentrated sodium chloride solutions (brine) produces. Sodium hydroxide is a commonly used base. The formula for table salt is nacl. Sodium hydroxide reacts with chlorine gas in different ways according to the concentration and temperature. Sodium Hydroxide And Chlorine Equation.
From www.youtube.com
NaOH+Cl2=NaCl+NaClO+H2O Balanced EquationSodium hydroxide+Chlorine Sodium Hydroxide And Chlorine Equation Sodium hydroxide reacts with chlorine gas in different ways according to the concentration and temperature of the solution and it gives. Define disproportionation & describe the role of chlorine in water purification. Use our revision notes to revise the reaction of chlorine with naoh. This process is the electrolysis of sodium chloride (nacl) at an industrial level. Sodium hydroxide is. Sodium Hydroxide And Chlorine Equation.
From www.youtube.com
What is the action of chlorine on cold and dilute sodium hydroxide Sodium Hydroxide And Chlorine Equation Electrolysis of concentrated sodium chloride solutions (brine) produces. Define disproportionation & describe the role of chlorine in water purification. Sodium hydroxide is a commonly used base. Sodium hydroxide reacts with chlorine gas in different ways according to the concentration and temperature of the solution and it gives. The formula for table salt is nacl. Sodium hydroxide, naoh, is also known. Sodium Hydroxide And Chlorine Equation.
From www.alamy.com
Sodium Hydroxide and Sodium Chloride Molecular Model of Atom. Vector Sodium Hydroxide And Chlorine Equation If sodium metal and chlorine. Sodium hydroxide reacts with chlorine gas in different ways according to the concentration and temperature of the solution and it gives. Define disproportionation & describe the role of chlorine in water purification. Electrolysis of concentrated sodium chloride solutions (brine) produces. Use our revision notes to revise the reaction of chlorine with naoh. The formula for. Sodium Hydroxide And Chlorine Equation.
From insende.netlify.app
30+ Hydrochloric Acid And Sodium Hydroxide Equation Insende Sodium Hydroxide And Chlorine Equation Define disproportionation & describe the role of chlorine in water purification. Sodium hydroxide is a commonly used base. The formula for table salt is nacl. Sodium hydroxide reacts with chlorine gas in different ways according to the concentration and temperature of the solution and it gives. Use our revision notes to revise the reaction of chlorine with naoh. If sodium. Sodium Hydroxide And Chlorine Equation.
From www.youtube.com
How to Balance NaOH + HCl = NaCl + H2O (Sodium Hydroxide Plus Sodium Hydroxide And Chlorine Equation This process is the electrolysis of sodium chloride (nacl) at an industrial level. Sodium hydroxide reacts with chlorine gas in different ways according to the concentration and temperature of the solution and it gives. Define disproportionation & describe the role of chlorine in water purification. Sodium hydroxide, naoh, is also known as lye or caustic soda. The formula for table. Sodium Hydroxide And Chlorine Equation.
From www.coursehero.com
[Solved] 12. Ammonium chloride and sodium hydroxide Complete Molecular Sodium Hydroxide And Chlorine Equation Sodium hydroxide reacts with chlorine gas in different ways according to the concentration and temperature of the solution and it gives. Define disproportionation & describe the role of chlorine in water purification. Sodium hydroxide is a commonly used base. Electrolysis of concentrated sodium chloride solutions (brine) produces. This process is the electrolysis of sodium chloride (nacl) at an industrial level.. Sodium Hydroxide And Chlorine Equation.
From www.alamy.com
Sodium Hydroxide and Sodium Chloride Molecular Model of Atom. Vector Sodium Hydroxide And Chlorine Equation Sodium hydroxide reacts with chlorine gas in different ways according to the concentration and temperature of the solution and it gives. Electrolysis of concentrated sodium chloride solutions (brine) produces. If sodium metal and chlorine. Use our revision notes to revise the reaction of chlorine with naoh. Sodium hydroxide is a commonly used base. Sodium hydroxide, naoh, is also known as. Sodium Hydroxide And Chlorine Equation.
From gideonkruwboyd.blogspot.com
Ammonium Chloride and Sodium Hydroxide Net Ionic Equation GideonkruwBoyd Sodium Hydroxide And Chlorine Equation Electrolysis of concentrated sodium chloride solutions (brine) produces. Use our revision notes to revise the reaction of chlorine with naoh. Sodium hydroxide is a commonly used base. The formula for table salt is nacl. Define disproportionation & describe the role of chlorine in water purification. This process is the electrolysis of sodium chloride (nacl) at an industrial level. Sodium hydroxide,. Sodium Hydroxide And Chlorine Equation.
From indianewsmack.blogspot.com
Hydrochloric Acid and Sodium Hydroxide Balanced Equation With States Sodium Hydroxide And Chlorine Equation The formula for table salt is nacl. Sodium hydroxide, naoh, is also known as lye or caustic soda. Define disproportionation & describe the role of chlorine in water purification. Use our revision notes to revise the reaction of chlorine with naoh. Electrolysis of concentrated sodium chloride solutions (brine) produces. Sodium hydroxide is a commonly used base. If sodium metal and. Sodium Hydroxide And Chlorine Equation.
From www.numerade.com
SOLVED Chlorine is passed into aqueous Iron (II) Sulphate and Sodium Sodium Hydroxide And Chlorine Equation Sodium hydroxide is a commonly used base. Sodium hydroxide reacts with chlorine gas in different ways according to the concentration and temperature of the solution and it gives. The formula for table salt is nacl. This process is the electrolysis of sodium chloride (nacl) at an industrial level. Define disproportionation & describe the role of chlorine in water purification. Use. Sodium Hydroxide And Chlorine Equation.
From www.numerade.com
the processes that occur when methanol (CH 3 OH Sodium Hydroxide And Chlorine Equation Define disproportionation & describe the role of chlorine in water purification. The formula for table salt is nacl. Use our revision notes to revise the reaction of chlorine with naoh. Electrolysis of concentrated sodium chloride solutions (brine) produces. Sodium hydroxide reacts with chlorine gas in different ways according to the concentration and temperature of the solution and it gives. Sodium. Sodium Hydroxide And Chlorine Equation.
From insende.netlify.app
30+ Hydrochloric Acid And Sodium Hydroxide Equation Insende Sodium Hydroxide And Chlorine Equation Electrolysis of concentrated sodium chloride solutions (brine) produces. If sodium metal and chlorine. The formula for table salt is nacl. This process is the electrolysis of sodium chloride (nacl) at an industrial level. Use our revision notes to revise the reaction of chlorine with naoh. Define disproportionation & describe the role of chlorine in water purification. Sodium hydroxide reacts with. Sodium Hydroxide And Chlorine Equation.
From www.youtube.com
Balancing and Writing the Equation for Sodium + Chlorine gas YouTube Sodium Hydroxide And Chlorine Equation This process is the electrolysis of sodium chloride (nacl) at an industrial level. Sodium hydroxide is a commonly used base. Sodium hydroxide, naoh, is also known as lye or caustic soda. Sodium hydroxide reacts with chlorine gas in different ways according to the concentration and temperature of the solution and it gives. Use our revision notes to revise the reaction. Sodium Hydroxide And Chlorine Equation.
From byjus.com
Write the neutralization reaction between Hydrochloric acid HCI and Sodium Hydroxide And Chlorine Equation Electrolysis of concentrated sodium chloride solutions (brine) produces. Sodium hydroxide, naoh, is also known as lye or caustic soda. Use our revision notes to revise the reaction of chlorine with naoh. If sodium metal and chlorine. Define disproportionation & describe the role of chlorine in water purification. The formula for table salt is nacl. Sodium hydroxide is a commonly used. Sodium Hydroxide And Chlorine Equation.
From www.numerade.com
Aqueous sodium hydroxide is produced commercially by the electrolysis Sodium Hydroxide And Chlorine Equation Sodium hydroxide is a commonly used base. This process is the electrolysis of sodium chloride (nacl) at an industrial level. Electrolysis of concentrated sodium chloride solutions (brine) produces. If sodium metal and chlorine. The formula for table salt is nacl. Use our revision notes to revise the reaction of chlorine with naoh. Sodium hydroxide, naoh, is also known as lye. Sodium Hydroxide And Chlorine Equation.
From www.toppr.com
Write balanced chemical equations for the following word equation Sodium Hydroxide And Chlorine Equation The formula for table salt is nacl. Use our revision notes to revise the reaction of chlorine with naoh. If sodium metal and chlorine. Sodium hydroxide is a commonly used base. Sodium hydroxide, naoh, is also known as lye or caustic soda. This process is the electrolysis of sodium chloride (nacl) at an industrial level. Define disproportionation & describe the. Sodium Hydroxide And Chlorine Equation.
From studylib.net
CHLORINE (Cl ) SODIUM HYDROXIDE (NaOH) 2 Sodium Hydroxide And Chlorine Equation Sodium hydroxide, naoh, is also known as lye or caustic soda. If sodium metal and chlorine. The formula for table salt is nacl. Define disproportionation & describe the role of chlorine in water purification. Use our revision notes to revise the reaction of chlorine with naoh. Electrolysis of concentrated sodium chloride solutions (brine) produces. Sodium hydroxide reacts with chlorine gas. Sodium Hydroxide And Chlorine Equation.
From www.numerade.com
SOLVED1) Please balance the following equations A) Ag2SO4 + BaCI2 Sodium Hydroxide And Chlorine Equation This process is the electrolysis of sodium chloride (nacl) at an industrial level. Define disproportionation & describe the role of chlorine in water purification. Sodium hydroxide, naoh, is also known as lye or caustic soda. Electrolysis of concentrated sodium chloride solutions (brine) produces. Sodium hydroxide is a commonly used base. If sodium metal and chlorine. Sodium hydroxide reacts with chlorine. Sodium Hydroxide And Chlorine Equation.
From brainly.com
Below is the word equation for the reaction between sodium hydroxide Sodium Hydroxide And Chlorine Equation This process is the electrolysis of sodium chloride (nacl) at an industrial level. If sodium metal and chlorine. The formula for table salt is nacl. Use our revision notes to revise the reaction of chlorine with naoh. Sodium hydroxide reacts with chlorine gas in different ways according to the concentration and temperature of the solution and it gives. Electrolysis of. Sodium Hydroxide And Chlorine Equation.
From www.numerade.com
SOLVEDAqueous sodium hydroxide is produced commercially by the Sodium Hydroxide And Chlorine Equation Sodium hydroxide, naoh, is also known as lye or caustic soda. Electrolysis of concentrated sodium chloride solutions (brine) produces. Define disproportionation & describe the role of chlorine in water purification. The formula for table salt is nacl. This process is the electrolysis of sodium chloride (nacl) at an industrial level. Use our revision notes to revise the reaction of chlorine. Sodium Hydroxide And Chlorine Equation.