The Standard Basis For R3 . The standard basis is $e_1 = (1,0,0)$, $e_2 = (0,1,0)$, and $e_3 = (0,0,1)$. Note if three vectors are linearly independent in r^3, they. Find the matrix of a linear transformation with respect to the standard basis. The easiest way to check whether a given set {(a, b, c), (d, e, f), (p, q, r)} of three vectors are linearly independent in r3 is to find the determinant of. A standard basis, also called a natural basis, is a special orthonormal vector basis in which each basis vector has a single. So if $x = (x,y,z) \in \mathbb{r}^3$, it has the form $$x = (x,y,z) =. Find a standard basis vector for r3 r 3 that can be added to {(1, 1, 1), (2, 1, −3)} {(1, 1, 1), (2, 1, − 3)} to make a basis for r3 r 3. Determine the action of a linear transformation on a vector in.
from www.chegg.com
The easiest way to check whether a given set {(a, b, c), (d, e, f), (p, q, r)} of three vectors are linearly independent in r3 is to find the determinant of. Find the matrix of a linear transformation with respect to the standard basis. Note if three vectors are linearly independent in r^3, they. The standard basis is $e_1 = (1,0,0)$, $e_2 = (0,1,0)$, and $e_3 = (0,0,1)$. Determine the action of a linear transformation on a vector in. So if $x = (x,y,z) \in \mathbb{r}^3$, it has the form $$x = (x,y,z) =. A standard basis, also called a natural basis, is a special orthonormal vector basis in which each basis vector has a single. Find a standard basis vector for r3 r 3 that can be added to {(1, 1, 1), (2, 1, −3)} {(1, 1, 1), (2, 1, − 3)} to make a basis for r3 r 3.
Solved Let E={e1,e2,e;} be the standard basis for R3 and B =
The Standard Basis For R3 Determine the action of a linear transformation on a vector in. Find the matrix of a linear transformation with respect to the standard basis. The standard basis is $e_1 = (1,0,0)$, $e_2 = (0,1,0)$, and $e_3 = (0,0,1)$. Note if three vectors are linearly independent in r^3, they. So if $x = (x,y,z) \in \mathbb{r}^3$, it has the form $$x = (x,y,z) =. The easiest way to check whether a given set {(a, b, c), (d, e, f), (p, q, r)} of three vectors are linearly independent in r3 is to find the determinant of. Find a standard basis vector for r3 r 3 that can be added to {(1, 1, 1), (2, 1, −3)} {(1, 1, 1), (2, 1, − 3)} to make a basis for r3 r 3. A standard basis, also called a natural basis, is a special orthonormal vector basis in which each basis vector has a single. Determine the action of a linear transformation on a vector in.
From www.chegg.com
Solved 1. Let 0 01 be the ordered standard basis in R3, and The Standard Basis For R3 Determine the action of a linear transformation on a vector in. The standard basis is $e_1 = (1,0,0)$, $e_2 = (0,1,0)$, and $e_3 = (0,0,1)$. A standard basis, also called a natural basis, is a special orthonormal vector basis in which each basis vector has a single. So if $x = (x,y,z) \in \mathbb{r}^3$, it has the form $$x =. The Standard Basis For R3.
From www.chegg.com
Solved (7) Let S be the standard basis for R3 and let B = The Standard Basis For R3 Find the matrix of a linear transformation with respect to the standard basis. Determine the action of a linear transformation on a vector in. Note if three vectors are linearly independent in r^3, they. Find a standard basis vector for r3 r 3 that can be added to {(1, 1, 1), (2, 1, −3)} {(1, 1, 1), (2, 1, −. The Standard Basis For R3.
From www.chegg.com
Solved Let E be the standard basis for R3.The set of The Standard Basis For R3 The standard basis is $e_1 = (1,0,0)$, $e_2 = (0,1,0)$, and $e_3 = (0,0,1)$. Find the matrix of a linear transformation with respect to the standard basis. Find a standard basis vector for r3 r 3 that can be added to {(1, 1, 1), (2, 1, −3)} {(1, 1, 1), (2, 1, − 3)} to make a basis for r3. The Standard Basis For R3.
From www.chegg.com
Solved Consider the standard basis for R3,B={e1,e2,e3} and The Standard Basis For R3 Note if three vectors are linearly independent in r^3, they. Find the matrix of a linear transformation with respect to the standard basis. Determine the action of a linear transformation on a vector in. A standard basis, also called a natural basis, is a special orthonormal vector basis in which each basis vector has a single. The standard basis is. The Standard Basis For R3.
From www.numerade.com
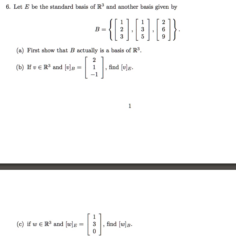
SOLVED Let E be the standard basis of R3 and another basis given by B The Standard Basis For R3 The easiest way to check whether a given set {(a, b, c), (d, e, f), (p, q, r)} of three vectors are linearly independent in r3 is to find the determinant of. So if $x = (x,y,z) \in \mathbb{r}^3$, it has the form $$x = (x,y,z) =. The standard basis is $e_1 = (1,0,0)$, $e_2 = (0,1,0)$, and $e_3 =. The Standard Basis For R3.
From www.numerade.com
Find a standard basis vector for R^{3} that can b… The Standard Basis For R3 Note if three vectors are linearly independent in r^3, they. Find the matrix of a linear transformation with respect to the standard basis. Find a standard basis vector for r3 r 3 that can be added to {(1, 1, 1), (2, 1, −3)} {(1, 1, 1), (2, 1, − 3)} to make a basis for r3 r 3. A standard. The Standard Basis For R3.
From www.chegg.com
Solved Let epsilon be the standard basis for R^3, and let B The Standard Basis For R3 The standard basis is $e_1 = (1,0,0)$, $e_2 = (0,1,0)$, and $e_3 = (0,0,1)$. The easiest way to check whether a given set {(a, b, c), (d, e, f), (p, q, r)} of three vectors are linearly independent in r3 is to find the determinant of. So if $x = (x,y,z) \in \mathbb{r}^3$, it has the form $$x = (x,y,z). The Standard Basis For R3.
From fyogtzxon.blob.core.windows.net
Standard Basis Vectors For R3 at Nicholas Rodgers blog The Standard Basis For R3 So if $x = (x,y,z) \in \mathbb{r}^3$, it has the form $$x = (x,y,z) =. Determine the action of a linear transformation on a vector in. Find the matrix of a linear transformation with respect to the standard basis. The easiest way to check whether a given set {(a, b, c), (d, e, f), (p, q, r)} of three vectors. The Standard Basis For R3.
From www.chegg.com
Solved 3. Let E={e1,e2,e3} be the standard basis for R3, The Standard Basis For R3 Note if three vectors are linearly independent in r^3, they. The standard basis is $e_1 = (1,0,0)$, $e_2 = (0,1,0)$, and $e_3 = (0,0,1)$. A standard basis, also called a natural basis, is a special orthonormal vector basis in which each basis vector has a single. The easiest way to check whether a given set {(a, b, c), (d, e,. The Standard Basis For R3.
From www.numerade.com
⏩SOLVEDFind a standard basis vector for R^3 that can be added to The Standard Basis For R3 Find the matrix of a linear transformation with respect to the standard basis. Determine the action of a linear transformation on a vector in. So if $x = (x,y,z) \in \mathbb{r}^3$, it has the form $$x = (x,y,z) =. The standard basis is $e_1 = (1,0,0)$, $e_2 = (0,1,0)$, and $e_3 = (0,0,1)$. Find a standard basis vector for r3. The Standard Basis For R3.
From www.numerade.com
SOLVED Let E be the standard basis of R3 and another basis given by B The Standard Basis For R3 Determine the action of a linear transformation on a vector in. The standard basis is $e_1 = (1,0,0)$, $e_2 = (0,1,0)$, and $e_3 = (0,0,1)$. A standard basis, also called a natural basis, is a special orthonormal vector basis in which each basis vector has a single. Note if three vectors are linearly independent in r^3, they. The easiest way. The Standard Basis For R3.
From www.youtube.com
Linear Algebra Check if a set is a basis of R^3 YouTube The Standard Basis For R3 Find the matrix of a linear transformation with respect to the standard basis. Find a standard basis vector for r3 r 3 that can be added to {(1, 1, 1), (2, 1, −3)} {(1, 1, 1), (2, 1, − 3)} to make a basis for r3 r 3. The standard basis is $e_1 = (1,0,0)$, $e_2 = (0,1,0)$, and $e_3. The Standard Basis For R3.
From www.numerade.com
SOLVED (4 points) Find standard basis vector for R3 that can be added The Standard Basis For R3 So if $x = (x,y,z) \in \mathbb{r}^3$, it has the form $$x = (x,y,z) =. The easiest way to check whether a given set {(a, b, c), (d, e, f), (p, q, r)} of three vectors are linearly independent in r3 is to find the determinant of. Note if three vectors are linearly independent in r^3, they. A standard basis,. The Standard Basis For R3.
From www.chegg.com
Solved Let B be the following ordered bases of R3 023 and The Standard Basis For R3 Note if three vectors are linearly independent in r^3, they. Find the matrix of a linear transformation with respect to the standard basis. The standard basis is $e_1 = (1,0,0)$, $e_2 = (0,1,0)$, and $e_3 = (0,0,1)$. Find a standard basis vector for r3 r 3 that can be added to {(1, 1, 1), (2, 1, −3)} {(1, 1, 1),. The Standard Basis For R3.
From www.chegg.com
Solved Let &=(enez, ez) be the standard basis for R3, B=( The Standard Basis For R3 Find the matrix of a linear transformation with respect to the standard basis. The easiest way to check whether a given set {(a, b, c), (d, e, f), (p, q, r)} of three vectors are linearly independent in r3 is to find the determinant of. Find a standard basis vector for r3 r 3 that can be added to {(1,. The Standard Basis For R3.
From www.chegg.com
Solved S = (0 is a basis for R3. Consider the vector XS 2 The Standard Basis For R3 So if $x = (x,y,z) \in \mathbb{r}^3$, it has the form $$x = (x,y,z) =. Note if three vectors are linearly independent in r^3, they. Find the matrix of a linear transformation with respect to the standard basis. The standard basis is $e_1 = (1,0,0)$, $e_2 = (0,1,0)$, and $e_3 = (0,0,1)$. A standard basis, also called a natural basis,. The Standard Basis For R3.
From www.chegg.com
Solved 5. Let E={e1,e2,e3} be the standard basis for R3 and The Standard Basis For R3 The easiest way to check whether a given set {(a, b, c), (d, e, f), (p, q, r)} of three vectors are linearly independent in r3 is to find the determinant of. So if $x = (x,y,z) \in \mathbb{r}^3$, it has the form $$x = (x,y,z) =. Find the matrix of a linear transformation with respect to the standard basis.. The Standard Basis For R3.
From www.youtube.com
Basis Examples for Vector Spaces R^3 and Pn (Linear Independence and The Standard Basis For R3 The easiest way to check whether a given set {(a, b, c), (d, e, f), (p, q, r)} of three vectors are linearly independent in r3 is to find the determinant of. Note if three vectors are linearly independent in r^3, they. So if $x = (x,y,z) \in \mathbb{r}^3$, it has the form $$x = (x,y,z) =. Find a standard. The Standard Basis For R3.
From www.chegg.com
Solved Let {e1,e2,e3} be the standard basis for R3, where The Standard Basis For R3 A standard basis, also called a natural basis, is a special orthonormal vector basis in which each basis vector has a single. The standard basis is $e_1 = (1,0,0)$, $e_2 = (0,1,0)$, and $e_3 = (0,0,1)$. Note if three vectors are linearly independent in r^3, they. The easiest way to check whether a given set {(a, b, c), (d, e,. The Standard Basis For R3.
From www.numerade.com
SOLVEDThe standard basis for R^3 is Bs={ 100} { 010} { 0 The Standard Basis For R3 The easiest way to check whether a given set {(a, b, c), (d, e, f), (p, q, r)} of three vectors are linearly independent in r3 is to find the determinant of. Find a standard basis vector for r3 r 3 that can be added to {(1, 1, 1), (2, 1, −3)} {(1, 1, 1), (2, 1, − 3)} to. The Standard Basis For R3.
From www.chegg.com
Solved The images of the standard basis vectors for R3 for a The Standard Basis For R3 Note if three vectors are linearly independent in r^3, they. The standard basis is $e_1 = (1,0,0)$, $e_2 = (0,1,0)$, and $e_3 = (0,0,1)$. Find the matrix of a linear transformation with respect to the standard basis. A standard basis, also called a natural basis, is a special orthonormal vector basis in which each basis vector has a single. Determine. The Standard Basis For R3.
From calcworkshop.com
Basis of Vector Spaces (A Linear Algebra Guide) The Standard Basis For R3 Find a standard basis vector for r3 r 3 that can be added to {(1, 1, 1), (2, 1, −3)} {(1, 1, 1), (2, 1, − 3)} to make a basis for r3 r 3. Find the matrix of a linear transformation with respect to the standard basis. The easiest way to check whether a given set {(a, b, c),. The Standard Basis For R3.
From www.numerade.com
SOLVED (4 points) Find standard basis vector for R3 that can be added The Standard Basis For R3 Find a standard basis vector for r3 r 3 that can be added to {(1, 1, 1), (2, 1, −3)} {(1, 1, 1), (2, 1, − 3)} to make a basis for r3 r 3. Note if three vectors are linearly independent in r^3, they. Find the matrix of a linear transformation with respect to the standard basis. Determine the. The Standard Basis For R3.
From www.numerade.com
SOLVED The set S = 1 7 7 is an orthonormal basis of R3 . 7 Write the The Standard Basis For R3 Note if three vectors are linearly independent in r^3, they. Find a standard basis vector for r3 r 3 that can be added to {(1, 1, 1), (2, 1, −3)} {(1, 1, 1), (2, 1, − 3)} to make a basis for r3 r 3. So if $x = (x,y,z) \in \mathbb{r}^3$, it has the form $$x = (x,y,z) =.. The Standard Basis For R3.
From www.numerade.com
SOLVED Let E = e1, e2, e3 be the standard basis for R^3 and B = b1, b2 The Standard Basis For R3 Find the matrix of a linear transformation with respect to the standard basis. So if $x = (x,y,z) \in \mathbb{r}^3$, it has the form $$x = (x,y,z) =. Determine the action of a linear transformation on a vector in. Note if three vectors are linearly independent in r^3, they. The easiest way to check whether a given set {(a, b,. The Standard Basis For R3.
From www.chegg.com
Solved 10. Let be the standard basis of R3. Consider the The Standard Basis For R3 A standard basis, also called a natural basis, is a special orthonormal vector basis in which each basis vector has a single. Find the matrix of a linear transformation with respect to the standard basis. The standard basis is $e_1 = (1,0,0)$, $e_2 = (0,1,0)$, and $e_3 = (0,0,1)$. So if $x = (x,y,z) \in \mathbb{r}^3$, it has the form. The Standard Basis For R3.
From www.slideserve.com
PPT 5.4 Basis And Dimension PowerPoint Presentation, free download The Standard Basis For R3 So if $x = (x,y,z) \in \mathbb{r}^3$, it has the form $$x = (x,y,z) =. Determine the action of a linear transformation on a vector in. The standard basis is $e_1 = (1,0,0)$, $e_2 = (0,1,0)$, and $e_3 = (0,0,1)$. The easiest way to check whether a given set {(a, b, c), (d, e, f), (p, q, r)} of three. The Standard Basis For R3.
From www.youtube.com
Finding a Standard Matrix Using the Standard Basis YouTube The Standard Basis For R3 Note if three vectors are linearly independent in r^3, they. The standard basis is $e_1 = (1,0,0)$, $e_2 = (0,1,0)$, and $e_3 = (0,0,1)$. Determine the action of a linear transformation on a vector in. So if $x = (x,y,z) \in \mathbb{r}^3$, it has the form $$x = (x,y,z) =. Find the matrix of a linear transformation with respect to. The Standard Basis For R3.
From www.chegg.com
Solved Let. S = (e1, e2, e3) 1m; the standard basis of R3. The Standard Basis For R3 So if $x = (x,y,z) \in \mathbb{r}^3$, it has the form $$x = (x,y,z) =. Find the matrix of a linear transformation with respect to the standard basis. The standard basis is $e_1 = (1,0,0)$, $e_2 = (0,1,0)$, and $e_3 = (0,0,1)$. Find a standard basis vector for r3 r 3 that can be added to {(1, 1, 1), (2,. The Standard Basis For R3.
From solvedlib.com
Let e1,e2, e3 be the standard basis vectors in R3 and… SolvedLib The Standard Basis For R3 Note if three vectors are linearly independent in r^3, they. Find the matrix of a linear transformation with respect to the standard basis. Determine the action of a linear transformation on a vector in. A standard basis, also called a natural basis, is a special orthonormal vector basis in which each basis vector has a single. The standard basis is. The Standard Basis For R3.
From www.chegg.com
Solved Let E be the standard basis of R3 and another basis The Standard Basis For R3 Find the matrix of a linear transformation with respect to the standard basis. The standard basis is $e_1 = (1,0,0)$, $e_2 = (0,1,0)$, and $e_3 = (0,0,1)$. Determine the action of a linear transformation on a vector in. The easiest way to check whether a given set {(a, b, c), (d, e, f), (p, q, r)} of three vectors are. The Standard Basis For R3.
From www.chegg.com
Solved Suppose A is the matrix for TR3→R3 relative to the The Standard Basis For R3 Find a standard basis vector for r3 r 3 that can be added to {(1, 1, 1), (2, 1, −3)} {(1, 1, 1), (2, 1, − 3)} to make a basis for r3 r 3. Find the matrix of a linear transformation with respect to the standard basis. Note if three vectors are linearly independent in r^3, they. So if. The Standard Basis For R3.
From www.chegg.com
Solved Let E={e1,e2,e;} be the standard basis for R3 and B = The Standard Basis For R3 The easiest way to check whether a given set {(a, b, c), (d, e, f), (p, q, r)} of three vectors are linearly independent in r3 is to find the determinant of. Find a standard basis vector for r3 r 3 that can be added to {(1, 1, 1), (2, 1, −3)} {(1, 1, 1), (2, 1, − 3)} to. The Standard Basis For R3.
From www.chegg.com
Solved 10. Let 1M 0 be the standard basis of R3. Consider The Standard Basis For R3 Find the matrix of a linear transformation with respect to the standard basis. So if $x = (x,y,z) \in \mathbb{r}^3$, it has the form $$x = (x,y,z) =. Determine the action of a linear transformation on a vector in. The easiest way to check whether a given set {(a, b, c), (d, e, f), (p, q, r)} of three vectors. The Standard Basis For R3.
From www.chegg.com
Solved Consider the 3 Dimensional vector space R3 with the The Standard Basis For R3 Find the matrix of a linear transformation with respect to the standard basis. Find a standard basis vector for r3 r 3 that can be added to {(1, 1, 1), (2, 1, −3)} {(1, 1, 1), (2, 1, − 3)} to make a basis for r3 r 3. Determine the action of a linear transformation on a vector in. The. The Standard Basis For R3.