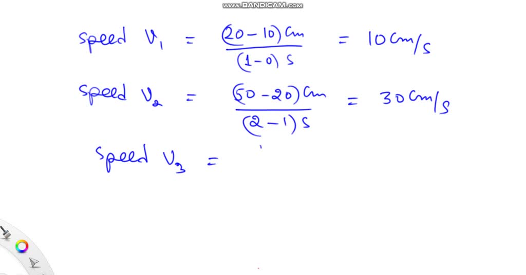
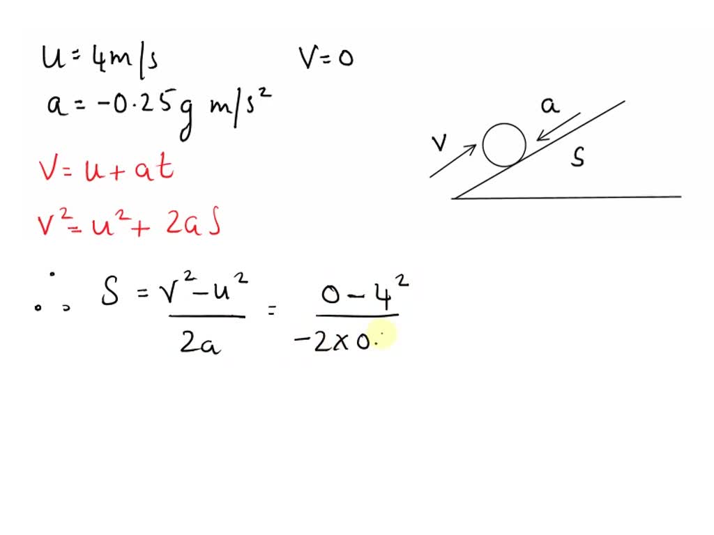
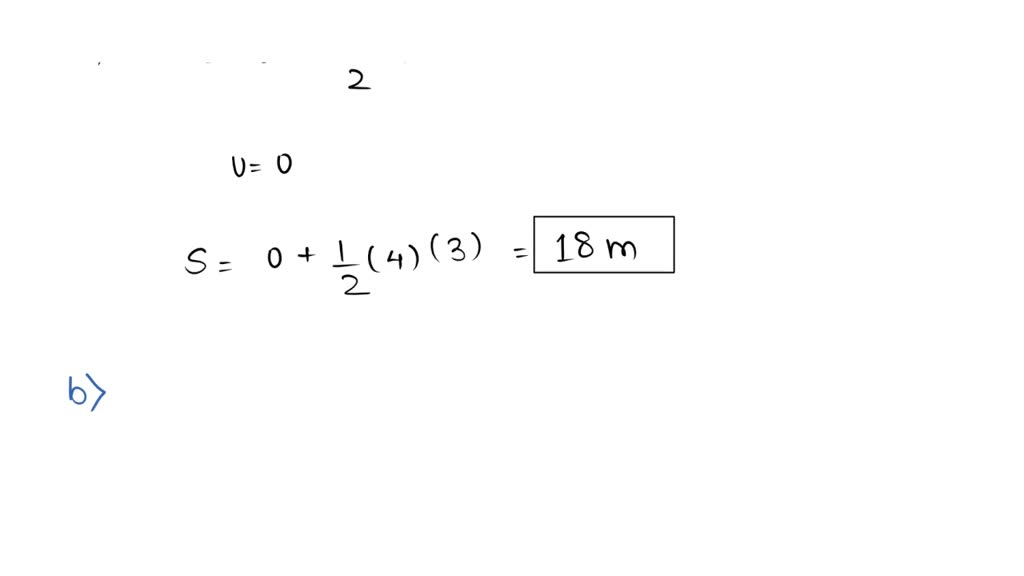
A Ball Rolls Down A Hill With A Constant Acceleration Of 3.0 M/S^2 . At t=0 a ball, initially at rest, starts to roll down a ramp with constant acceleration. The ball starts at rest and travels for 4.0 s before it stops. A ball rolls down a hill with a constant acceleration of 2.0 m/s 2. A ball rolls down a hill with a constant acceleration of $2.0 \mathrm{~m} / \mathrm{s}^2$. According to the given statement the ball's velocity just before it stopped was 8.0 m/s. Answer:8m/sec is the correct answer. The four equations (for constant acceleration) that were used in the x direction can now be applied to motion in the y direction. A ball rolls down a hill with a constant acceleration of 3.0 m/s². Click here 👆 to get an answer to your question ️ a ball rolls down a hill with a. The ball starts at rest and. The correct option is b. You notice it moves 1 foot between t=0 seconds and. (a) if it starts from rest, what is its speed at the end.
from www.numerade.com
The correct option is b. The ball starts at rest and. Click here 👆 to get an answer to your question ️ a ball rolls down a hill with a. The four equations (for constant acceleration) that were used in the x direction can now be applied to motion in the y direction. Answer:8m/sec is the correct answer. A ball rolls down a hill with a constant acceleration of 2.0 m/s 2. (a) if it starts from rest, what is its speed at the end. At t=0 a ball, initially at rest, starts to roll down a ramp with constant acceleration. A ball rolls down a hill with a constant acceleration of 3.0 m/s². The ball starts at rest and travels for 4.0 s before it stops.
SOLVED A rolling ball of mass m is travelling on a hill with speed Vo
A Ball Rolls Down A Hill With A Constant Acceleration Of 3.0 M/S^2 The ball starts at rest and travels for 4.0 s before it stops. Click here 👆 to get an answer to your question ️ a ball rolls down a hill with a. A ball rolls down a hill with a constant acceleration of 2.0 m/s 2. You notice it moves 1 foot between t=0 seconds and. Answer:8m/sec is the correct answer. The ball starts at rest and. A ball rolls down a hill with a constant acceleration of 3.0 m/s². (a) if it starts from rest, what is its speed at the end. The ball starts at rest and travels for 4.0 s before it stops. The correct option is b. At t=0 a ball, initially at rest, starts to roll down a ramp with constant acceleration. According to the given statement the ball's velocity just before it stopped was 8.0 m/s. The four equations (for constant acceleration) that were used in the x direction can now be applied to motion in the y direction. A ball rolls down a hill with a constant acceleration of $2.0 \mathrm{~m} / \mathrm{s}^2$.
From www.toppr.com
A truck starts from rest and rolls down a hill with a constant A Ball Rolls Down A Hill With A Constant Acceleration Of 3.0 M/S^2 The ball starts at rest and. Answer:8m/sec is the correct answer. A ball rolls down a hill with a constant acceleration of 2.0 m/s 2. The correct option is b. The ball starts at rest and travels for 4.0 s before it stops. (a) if it starts from rest, what is its speed at the end. The four equations (for. A Ball Rolls Down A Hill With A Constant Acceleration Of 3.0 M/S^2.
From www.numerade.com
SOLVED A ball rolls down a hill with a constant acceleration of 3.0 m A Ball Rolls Down A Hill With A Constant Acceleration Of 3.0 M/S^2 The ball starts at rest and travels for 4.0 s before it stops. According to the given statement the ball's velocity just before it stopped was 8.0 m/s. A ball rolls down a hill with a constant acceleration of 3.0 m/s². The ball starts at rest and. The correct option is b. (a) if it starts from rest, what is. A Ball Rolls Down A Hill With A Constant Acceleration Of 3.0 M/S^2.
From www.chegg.com
Solved 10. A ball rolls down a hill with a constant A Ball Rolls Down A Hill With A Constant Acceleration Of 3.0 M/S^2 A ball rolls down a hill with a constant acceleration of $2.0 \mathrm{~m} / \mathrm{s}^2$. According to the given statement the ball's velocity just before it stopped was 8.0 m/s. Answer:8m/sec is the correct answer. A ball rolls down a hill with a constant acceleration of 2.0 m/s 2. The ball starts at rest and. The four equations (for constant. A Ball Rolls Down A Hill With A Constant Acceleration Of 3.0 M/S^2.
From www.toppr.com
A truck starts from rest and rolls down a hill with a constant A Ball Rolls Down A Hill With A Constant Acceleration Of 3.0 M/S^2 Click here 👆 to get an answer to your question ️ a ball rolls down a hill with a. A ball rolls down a hill with a constant acceleration of $2.0 \mathrm{~m} / \mathrm{s}^2$. Answer:8m/sec is the correct answer. According to the given statement the ball's velocity just before it stopped was 8.0 m/s. The ball starts at rest and. A Ball Rolls Down A Hill With A Constant Acceleration Of 3.0 M/S^2.
From www.numerade.com
SOLVED Starting from rest, a ball rolls down an incline at a constant A Ball Rolls Down A Hill With A Constant Acceleration Of 3.0 M/S^2 A ball rolls down a hill with a constant acceleration of 3.0 m/s². A ball rolls down a hill with a constant acceleration of 2.0 m/s 2. You notice it moves 1 foot between t=0 seconds and. A ball rolls down a hill with a constant acceleration of $2.0 \mathrm{~m} / \mathrm{s}^2$. Click here 👆 to get an answer to. A Ball Rolls Down A Hill With A Constant Acceleration Of 3.0 M/S^2.
From www.chegg.com
Solved A solid sphere of mass M and radius R0.3 m rolls A Ball Rolls Down A Hill With A Constant Acceleration Of 3.0 M/S^2 A ball rolls down a hill with a constant acceleration of 3.0 m/s². Click here 👆 to get an answer to your question ️ a ball rolls down a hill with a. At t=0 a ball, initially at rest, starts to roll down a ramp with constant acceleration. You notice it moves 1 foot between t=0 seconds and. (a) if. A Ball Rolls Down A Hill With A Constant Acceleration Of 3.0 M/S^2.
From www.toppr.com
A tennis ball (treated as hollow spherical shell) starting air borne A Ball Rolls Down A Hill With A Constant Acceleration Of 3.0 M/S^2 A ball rolls down a hill with a constant acceleration of 3.0 m/s². The four equations (for constant acceleration) that were used in the x direction can now be applied to motion in the y direction. At t=0 a ball, initially at rest, starts to roll down a ramp with constant acceleration. Answer:8m/sec is the correct answer. Click here 👆. A Ball Rolls Down A Hill With A Constant Acceleration Of 3.0 M/S^2.
From www.numerade.com
SOLVED A ball starts from rest and rolls down a hill with uniform A Ball Rolls Down A Hill With A Constant Acceleration Of 3.0 M/S^2 A ball rolls down a hill with a constant acceleration of $2.0 \mathrm{~m} / \mathrm{s}^2$. A ball rolls down a hill with a constant acceleration of 2.0 m/s 2. (a) if it starts from rest, what is its speed at the end. A ball rolls down a hill with a constant acceleration of 3.0 m/s². Answer:8m/sec is the correct answer.. A Ball Rolls Down A Hill With A Constant Acceleration Of 3.0 M/S^2.
From brainly.in
A truck starts from rest and rolls down a hill with a constant A Ball Rolls Down A Hill With A Constant Acceleration Of 3.0 M/S^2 At t=0 a ball, initially at rest, starts to roll down a ramp with constant acceleration. Answer:8m/sec is the correct answer. The ball starts at rest and. A ball rolls down a hill with a constant acceleration of 3.0 m/s². You notice it moves 1 foot between t=0 seconds and. A ball rolls down a hill with a constant acceleration. A Ball Rolls Down A Hill With A Constant Acceleration Of 3.0 M/S^2.
From www.numerade.com
SOLVED A car rolls down a hill with a slope such that the A Ball Rolls Down A Hill With A Constant Acceleration Of 3.0 M/S^2 The ball starts at rest and travels for 4.0 s before it stops. A ball rolls down a hill with a constant acceleration of 3.0 m/s². (a) if it starts from rest, what is its speed at the end. At t=0 a ball, initially at rest, starts to roll down a ramp with constant acceleration. The four equations (for constant. A Ball Rolls Down A Hill With A Constant Acceleration Of 3.0 M/S^2.
From www.numerade.com
SOLVED A ball rolls down a slope as shown in Figure 1.1. Calculate the A Ball Rolls Down A Hill With A Constant Acceleration Of 3.0 M/S^2 The four equations (for constant acceleration) that were used in the x direction can now be applied to motion in the y direction. The ball starts at rest and. A ball rolls down a hill with a constant acceleration of 2.0 m/s 2. Answer:8m/sec is the correct answer. According to the given statement the ball's velocity just before it stopped. A Ball Rolls Down A Hill With A Constant Acceleration Of 3.0 M/S^2.
From www.chegg.com
Solved a ball rolls down a circular arc, radius 1.0 m, from A Ball Rolls Down A Hill With A Constant Acceleration Of 3.0 M/S^2 A ball rolls down a hill with a constant acceleration of 2.0 m/s 2. Click here 👆 to get an answer to your question ️ a ball rolls down a hill with a. The four equations (for constant acceleration) that were used in the x direction can now be applied to motion in the y direction. Answer:8m/sec is the correct. A Ball Rolls Down A Hill With A Constant Acceleration Of 3.0 M/S^2.
From www.teachoo.com
NCERT Q5 A truck starts from rest and rolls down a hill with a A Ball Rolls Down A Hill With A Constant Acceleration Of 3.0 M/S^2 A ball rolls down a hill with a constant acceleration of 2.0 m/s 2. A ball rolls down a hill with a constant acceleration of $2.0 \mathrm{~m} / \mathrm{s}^2$. A ball rolls down a hill with a constant acceleration of 3.0 m/s². According to the given statement the ball's velocity just before it stopped was 8.0 m/s. Answer:8m/sec is the. A Ball Rolls Down A Hill With A Constant Acceleration Of 3.0 M/S^2.
From brainly.in
A truck starts from rest and rolls down a hill with a A Ball Rolls Down A Hill With A Constant Acceleration Of 3.0 M/S^2 The ball starts at rest and travels for 4.0 s before it stops. A ball rolls down a hill with a constant acceleration of 2.0 m/s 2. The four equations (for constant acceleration) that were used in the x direction can now be applied to motion in the y direction. (a) if it starts from rest, what is its speed. A Ball Rolls Down A Hill With A Constant Acceleration Of 3.0 M/S^2.
From www.numerade.com
SOLVED 'A ball sliding along a floor slows down due to friction. Its A Ball Rolls Down A Hill With A Constant Acceleration Of 3.0 M/S^2 A ball rolls down a hill with a constant acceleration of $2.0 \mathrm{~m} / \mathrm{s}^2$. According to the given statement the ball's velocity just before it stopped was 8.0 m/s. Answer:8m/sec is the correct answer. At t=0 a ball, initially at rest, starts to roll down a ramp with constant acceleration. You notice it moves 1 foot between t=0 seconds. A Ball Rolls Down A Hill With A Constant Acceleration Of 3.0 M/S^2.
From www.numerade.com
SOLVED A rolling ball of mass m is travelling on a hill with speed Vo A Ball Rolls Down A Hill With A Constant Acceleration Of 3.0 M/S^2 Answer:8m/sec is the correct answer. The correct option is b. You notice it moves 1 foot between t=0 seconds and. The ball starts at rest and travels for 4.0 s before it stops. (a) if it starts from rest, what is its speed at the end. A ball rolls down a hill with a constant acceleration of 2.0 m/s 2.. A Ball Rolls Down A Hill With A Constant Acceleration Of 3.0 M/S^2.
From www.numerade.com
A 1.50 kg solid, uniform sphere of radius 0.200 m is released from rest A Ball Rolls Down A Hill With A Constant Acceleration Of 3.0 M/S^2 A ball rolls down a hill with a constant acceleration of $2.0 \mathrm{~m} / \mathrm{s}^2$. Answer:8m/sec is the correct answer. The four equations (for constant acceleration) that were used in the x direction can now be applied to motion in the y direction. According to the given statement the ball's velocity just before it stopped was 8.0 m/s. Click here. A Ball Rolls Down A Hill With A Constant Acceleration Of 3.0 M/S^2.
From byjus.com
a solid sphere of mass m and radius r rolls on a rough horizontal plane A Ball Rolls Down A Hill With A Constant Acceleration Of 3.0 M/S^2 According to the given statement the ball's velocity just before it stopped was 8.0 m/s. The four equations (for constant acceleration) that were used in the x direction can now be applied to motion in the y direction. A ball rolls down a hill with a constant acceleration of 2.0 m/s 2. (a) if it starts from rest, what is. A Ball Rolls Down A Hill With A Constant Acceleration Of 3.0 M/S^2.
From www.numerade.com
A hoop of mass M = 2 kg and radius R = 0.4 m rolls without slipping A Ball Rolls Down A Hill With A Constant Acceleration Of 3.0 M/S^2 A ball rolls down a hill with a constant acceleration of 2.0 m/s 2. The four equations (for constant acceleration) that were used in the x direction can now be applied to motion in the y direction. A ball rolls down a hill with a constant acceleration of 3.0 m/s². You notice it moves 1 foot between t=0 seconds and.. A Ball Rolls Down A Hill With A Constant Acceleration Of 3.0 M/S^2.
From www.chegg.com
Solved A hollow ball of mass M = 0.5 kg and radius 0.18 m A Ball Rolls Down A Hill With A Constant Acceleration Of 3.0 M/S^2 You notice it moves 1 foot between t=0 seconds and. The ball starts at rest and travels for 4.0 s before it stops. The four equations (for constant acceleration) that were used in the x direction can now be applied to motion in the y direction. (a) if it starts from rest, what is its speed at the end. A. A Ball Rolls Down A Hill With A Constant Acceleration Of 3.0 M/S^2.
From brainly.in
a truck starts from rest and Rolls down a hill with a constant A Ball Rolls Down A Hill With A Constant Acceleration Of 3.0 M/S^2 A ball rolls down a hill with a constant acceleration of $2.0 \mathrm{~m} / \mathrm{s}^2$. Click here 👆 to get an answer to your question ️ a ball rolls down a hill with a. Answer:8m/sec is the correct answer. A ball rolls down a hill with a constant acceleration of 3.0 m/s². The ball starts at rest and travels for. A Ball Rolls Down A Hill With A Constant Acceleration Of 3.0 M/S^2.
From www.numerade.com
SOLVED a ball starts from rest and rolls down a hill at a constant A Ball Rolls Down A Hill With A Constant Acceleration Of 3.0 M/S^2 A ball rolls down a hill with a constant acceleration of $2.0 \mathrm{~m} / \mathrm{s}^2$. A ball rolls down a hill with a constant acceleration of 2.0 m/s 2. You notice it moves 1 foot between t=0 seconds and. Click here 👆 to get an answer to your question ️ a ball rolls down a hill with a. The ball. A Ball Rolls Down A Hill With A Constant Acceleration Of 3.0 M/S^2.
From www.chegg.com
Solved A tennis ball, starting from rest, rolls down a hill A Ball Rolls Down A Hill With A Constant Acceleration Of 3.0 M/S^2 According to the given statement the ball's velocity just before it stopped was 8.0 m/s. A ball rolls down a hill with a constant acceleration of $2.0 \mathrm{~m} / \mathrm{s}^2$. (a) if it starts from rest, what is its speed at the end. A ball rolls down a hill with a constant acceleration of 2.0 m/s 2. At t=0 a. A Ball Rolls Down A Hill With A Constant Acceleration Of 3.0 M/S^2.
From www.chegg.com
Solved A ball starts from rest and rolls down a hill with A Ball Rolls Down A Hill With A Constant Acceleration Of 3.0 M/S^2 Click here 👆 to get an answer to your question ️ a ball rolls down a hill with a. The ball starts at rest and. A ball rolls down a hill with a constant acceleration of 3.0 m/s². (a) if it starts from rest, what is its speed at the end. You notice it moves 1 foot between t=0 seconds. A Ball Rolls Down A Hill With A Constant Acceleration Of 3.0 M/S^2.
From www.numerade.com
SOLVED A ball starts from rest and rolls down a hill with uniform A Ball Rolls Down A Hill With A Constant Acceleration Of 3.0 M/S^2 At t=0 a ball, initially at rest, starts to roll down a ramp with constant acceleration. A ball rolls down a hill with a constant acceleration of 3.0 m/s². The ball starts at rest and travels for 4.0 s before it stops. You notice it moves 1 foot between t=0 seconds and. The four equations (for constant acceleration) that were. A Ball Rolls Down A Hill With A Constant Acceleration Of 3.0 M/S^2.
From www.numerade.com
SOLVED A girl rolls ball up an incline 10 points and allows it to A Ball Rolls Down A Hill With A Constant Acceleration Of 3.0 M/S^2 Answer:8m/sec is the correct answer. At t=0 a ball, initially at rest, starts to roll down a ramp with constant acceleration. (a) if it starts from rest, what is its speed at the end. According to the given statement the ball's velocity just before it stopped was 8.0 m/s. The ball starts at rest and. The correct option is b.. A Ball Rolls Down A Hill With A Constant Acceleration Of 3.0 M/S^2.
From www.numerade.com
SOLVED A ball at rest starts rolling down a hill with a constant A Ball Rolls Down A Hill With A Constant Acceleration Of 3.0 M/S^2 A ball rolls down a hill with a constant acceleration of $2.0 \mathrm{~m} / \mathrm{s}^2$. The ball starts at rest and. A ball rolls down a hill with a constant acceleration of 3.0 m/s². A ball rolls down a hill with a constant acceleration of 2.0 m/s 2. The correct option is b. The ball starts at rest and travels. A Ball Rolls Down A Hill With A Constant Acceleration Of 3.0 M/S^2.
From www.researchgate.net
A ball rolls down ramp (with friction) and a block slides down a ramp A Ball Rolls Down A Hill With A Constant Acceleration Of 3.0 M/S^2 The correct option is b. At t=0 a ball, initially at rest, starts to roll down a ramp with constant acceleration. The ball starts at rest and. A ball rolls down a hill with a constant acceleration of 2.0 m/s 2. According to the given statement the ball's velocity just before it stopped was 8.0 m/s. The four equations (for. A Ball Rolls Down A Hill With A Constant Acceleration Of 3.0 M/S^2.
From www.numerade.com
SOLVEDA ball starts from rest and rolls down a hill with uniform A Ball Rolls Down A Hill With A Constant Acceleration Of 3.0 M/S^2 The four equations (for constant acceleration) that were used in the x direction can now be applied to motion in the y direction. At t=0 a ball, initially at rest, starts to roll down a ramp with constant acceleration. A ball rolls down a hill with a constant acceleration of 2.0 m/s 2. A ball rolls down a hill with. A Ball Rolls Down A Hill With A Constant Acceleration Of 3.0 M/S^2.
From www.numerade.com
SOLVEDStarting from rest, a boulder rolls down a hill with constant A Ball Rolls Down A Hill With A Constant Acceleration Of 3.0 M/S^2 Answer:8m/sec is the correct answer. According to the given statement the ball's velocity just before it stopped was 8.0 m/s. Click here 👆 to get an answer to your question ️ a ball rolls down a hill with a. (a) if it starts from rest, what is its speed at the end. At t=0 a ball, initially at rest, starts. A Ball Rolls Down A Hill With A Constant Acceleration Of 3.0 M/S^2.
From www.numerade.com
SOLVED 3. A ball rolls downhill with a constant acceleration of 4 m/s2 A Ball Rolls Down A Hill With A Constant Acceleration Of 3.0 M/S^2 Answer:8m/sec is the correct answer. According to the given statement the ball's velocity just before it stopped was 8.0 m/s. A ball rolls down a hill with a constant acceleration of $2.0 \mathrm{~m} / \mathrm{s}^2$. The ball starts at rest and travels for 4.0 s before it stops. A ball rolls down a hill with a constant acceleration of 2.0. A Ball Rolls Down A Hill With A Constant Acceleration Of 3.0 M/S^2.
From brainly.in
A truck starts from rest and rolls down a hill with a constant A Ball Rolls Down A Hill With A Constant Acceleration Of 3.0 M/S^2 Answer:8m/sec is the correct answer. You notice it moves 1 foot between t=0 seconds and. A ball rolls down a hill with a constant acceleration of 3.0 m/s². (a) if it starts from rest, what is its speed at the end. A ball rolls down a hill with a constant acceleration of $2.0 \mathrm{~m} / \mathrm{s}^2$. Click here 👆 to. A Ball Rolls Down A Hill With A Constant Acceleration Of 3.0 M/S^2.
From www.chegg.com
Solved A 10kg ball starting from rest rolls down a 5 m tall A Ball Rolls Down A Hill With A Constant Acceleration Of 3.0 M/S^2 (a) if it starts from rest, what is its speed at the end. According to the given statement the ball's velocity just before it stopped was 8.0 m/s. A ball rolls down a hill with a constant acceleration of $2.0 \mathrm{~m} / \mathrm{s}^2$. Click here 👆 to get an answer to your question ️ a ball rolls down a hill. A Ball Rolls Down A Hill With A Constant Acceleration Of 3.0 M/S^2.
From www.numerade.com
SOLVED Review Constants A solid uniform ball rolls without slipping up A Ball Rolls Down A Hill With A Constant Acceleration Of 3.0 M/S^2 The ball starts at rest and. The correct option is b. Answer:8m/sec is the correct answer. The ball starts at rest and travels for 4.0 s before it stops. The four equations (for constant acceleration) that were used in the x direction can now be applied to motion in the y direction. (a) if it starts from rest, what is. A Ball Rolls Down A Hill With A Constant Acceleration Of 3.0 M/S^2.
From www.numerade.com
SOLVED In a scene from a television show, a car rolls down an incline A Ball Rolls Down A Hill With A Constant Acceleration Of 3.0 M/S^2 The ball starts at rest and travels for 4.0 s before it stops. A ball rolls down a hill with a constant acceleration of 2.0 m/s 2. You notice it moves 1 foot between t=0 seconds and. Click here 👆 to get an answer to your question ️ a ball rolls down a hill with a. Answer:8m/sec is the correct. A Ball Rolls Down A Hill With A Constant Acceleration Of 3.0 M/S^2.