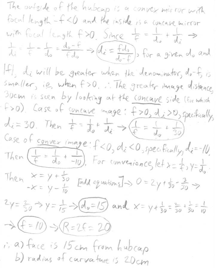
A Dedicated Sports Car Enthusiast Polishes . When he looks into one. A dedicated sports car enthusiast polishes the inside and outside surfaces of a hubcap that is a thin section of a sphere. A dedicated sports car enthusiast polishes the inside and outside. A dedicated sports car enthusiast polishes the inside and outside surfaces of a hubcap that is a section of a sphere. When he looks into one. When she looks into one side of the hubcap, she sees an image. A dedicated sports car enthusiast polished the inside and outside surfaces of a hubcap that is a section of a sphere. Show all your work step by step. When she looks into one side of the hubcap, she sees an image. When he looks into one side of the hubcap, he sees an image. A dedicated sports car enthusiast polishes the inside and outside surfaces of a hubcap that is a section of a sphere. A dedicated sports car enthusiast polishes the inside and outside surfaces of a hubcap that is a section of a sphere. A dedicated sports car enthusiast polishes the inside and outside surfaces of a hubcap that is a thin section of a sphere. When he looks into one. Phy2054 section 07hb quiz 9:
from www.classicandsportscar.com
Show all your work step by step. A dedicated sports car enthusiast polishes the inside and outside surfaces of a hubcap that is a section of a sphere. When she looks into one side of the hubcap, she sees an image. A dedicated sports car enthusiast polishes the inside and outside surfaces of a hubcap that is a thin section of a sphere. A dedicated sports car enthusiast polished the inside and outside surfaces of a hubcap that is a section of a sphere. When he looks into one. When he looks into one side of the hubcap, he sees an image. A dedicated sports car enthusiast polishes the inside and outside surfaces of a hubcap that is a section of a sphere. A dedicated sports car enthusiast polishes the inside and outside surfaces of a hubcap that is a thin section of a sphere. When he looks into one.
Best car polishes 2023 Classic & Sports Car
A Dedicated Sports Car Enthusiast Polishes Phy2054 section 07hb quiz 9: A dedicated sports car enthusiast polishes the inside and outside surfaces of a hubcap that is a thin section of a sphere. A dedicated sports car enthusiast polishes the inside and outside surfaces of a hubcap that is a thin section of a sphere. A dedicated sports car enthusiast polishes the inside and outside. A dedicated sports car enthusiast polishes the inside and outside surfaces of a hubcap that is a section of a sphere. When he looks into one. A dedicated sports car enthusiast polishes the inside and outside surfaces of a hubcap that is a section of a sphere. Show all your work step by step. When she looks into one side of the hubcap, she sees an image. When he looks into one. A dedicated sports car enthusiast polishes the inside and outside surfaces of a hubcap that is a section of a sphere. Phy2054 section 07hb quiz 9: When she looks into one side of the hubcap, she sees an image. When he looks into one side of the hubcap, he sees an image. When he looks into one. A dedicated sports car enthusiast polished the inside and outside surfaces of a hubcap that is a section of a sphere.
From www.classicandsportscar.com
Best car polishes 2023 Classic & Sports Car A Dedicated Sports Car Enthusiast Polishes When he looks into one. When he looks into one side of the hubcap, he sees an image. When he looks into one. A dedicated sports car enthusiast polishes the inside and outside surfaces of a hubcap that is a thin section of a sphere. A dedicated sports car enthusiast polishes the inside and outside. Phy2054 section 07hb quiz 9:. A Dedicated Sports Car Enthusiast Polishes.
From www.numerade.com
SOLVEDA dedicated sports car enthusiast polishes the inside and A Dedicated Sports Car Enthusiast Polishes A dedicated sports car enthusiast polished the inside and outside surfaces of a hubcap that is a section of a sphere. When she looks into one side of the hubcap, she sees an image. When he looks into one. When he looks into one. A dedicated sports car enthusiast polishes the inside and outside surfaces of a hubcap that is. A Dedicated Sports Car Enthusiast Polishes.
From procarreviews.com
The Best Car Polishes 2021 Cleans and Restores A Dedicated Sports Car Enthusiast Polishes A dedicated sports car enthusiast polished the inside and outside surfaces of a hubcap that is a section of a sphere. When he looks into one side of the hubcap, he sees an image. A dedicated sports car enthusiast polishes the inside and outside surfaces of a hubcap that is a thin section of a sphere. When she looks into. A Dedicated Sports Car Enthusiast Polishes.
From www.chegg.com
Solved 2. A dedicated sports car enthusiast polishes the A Dedicated Sports Car Enthusiast Polishes Show all your work step by step. When he looks into one. A dedicated sports car enthusiast polishes the inside and outside surfaces of a hubcap that is a thin section of a sphere. A dedicated sports car enthusiast polished the inside and outside surfaces of a hubcap that is a section of a sphere. When she looks into one. A Dedicated Sports Car Enthusiast Polishes.
From www.classicandsportscar.com
Best car polishes 2023 Classic & Sports Car A Dedicated Sports Car Enthusiast Polishes A dedicated sports car enthusiast polishes the inside and outside surfaces of a hubcap that is a section of a sphere. When he looks into one. When she looks into one side of the hubcap, she sees an image. When she looks into one side of the hubcap, she sees an image. When he looks into one side of the. A Dedicated Sports Car Enthusiast Polishes.
From www.chegg.com
Solved A dedicated sports car enthusiast polishes the inside A Dedicated Sports Car Enthusiast Polishes A dedicated sports car enthusiast polishes the inside and outside surfaces of a hubcap that is a thin section of a sphere. A dedicated sports car enthusiast polishes the inside and outside. When he looks into one side of the hubcap, he sees an image. A dedicated sports car enthusiast polishes the inside and outside surfaces of a hubcap that. A Dedicated Sports Car Enthusiast Polishes.
From www.chegg.com
Solved A dedicated sports car enthusiast polishes the inside A Dedicated Sports Car Enthusiast Polishes A dedicated sports car enthusiast polishes the inside and outside surfaces of a hubcap that is a thin section of a sphere. When he looks into one. A dedicated sports car enthusiast polishes the inside and outside. Show all your work step by step. When he looks into one side of the hubcap, he sees an image. A dedicated sports. A Dedicated Sports Car Enthusiast Polishes.
From www.chegg.com
Solved A dedicated sports car enthusiast polishes the inside A Dedicated Sports Car Enthusiast Polishes A dedicated sports car enthusiast polishes the inside and outside surfaces of a hubcap that is a thin section of a sphere. When he looks into one. A dedicated sports car enthusiast polishes the inside and outside surfaces of a hubcap that is a section of a sphere. A dedicated sports car enthusiast polishes the inside and outside surfaces of. A Dedicated Sports Car Enthusiast Polishes.
From www.numerade.com
SOLVEDA dedicated sports car enthusiast polishes the inside and A Dedicated Sports Car Enthusiast Polishes A dedicated sports car enthusiast polishes the inside and outside surfaces of a hubcap that is a section of a sphere. Phy2054 section 07hb quiz 9: When he looks into one side of the hubcap, he sees an image. When he looks into one. Show all your work step by step. When he looks into one. When she looks into. A Dedicated Sports Car Enthusiast Polishes.
From www.cleanyourcar.co.uk
Menzerna Final Finish 3000 PO85U Classic Finishing Polish A Dedicated Sports Car Enthusiast Polishes When he looks into one side of the hubcap, he sees an image. A dedicated sports car enthusiast polishes the inside and outside surfaces of a hubcap that is a section of a sphere. A dedicated sports car enthusiast polishes the inside and outside surfaces of a hubcap that is a thin section of a sphere. A dedicated sports car. A Dedicated Sports Car Enthusiast Polishes.
From www.numerade.com
SOLVED 10. A dedicated sports car enthusiast polishes the inside and A Dedicated Sports Car Enthusiast Polishes A dedicated sports car enthusiast polishes the inside and outside surfaces of a hubcap that is a section of a sphere. A dedicated sports car enthusiast polishes the inside and outside surfaces of a hubcap that is a thin section of a sphere. When he looks into one. A dedicated sports car enthusiast polishes the inside and outside surfaces of. A Dedicated Sports Car Enthusiast Polishes.
From www.chegg.com
Solved A dedicated sports car enthusiast polishes the inside A Dedicated Sports Car Enthusiast Polishes When he looks into one side of the hubcap, he sees an image. Show all your work step by step. A dedicated sports car enthusiast polishes the inside and outside surfaces of a hubcap that is a section of a sphere. A dedicated sports car enthusiast polishes the inside and outside. When he looks into one. A dedicated sports car. A Dedicated Sports Car Enthusiast Polishes.
From www.nhregister.com
PHOTOSMotorsports Museum A Dedicated Sports Car Enthusiast Polishes A dedicated sports car enthusiast polishes the inside and outside surfaces of a hubcap that is a thin section of a sphere. When he looks into one side of the hubcap, he sees an image. When she looks into one side of the hubcap, she sees an image. A dedicated sports car enthusiast polishes the inside and outside surfaces of. A Dedicated Sports Car Enthusiast Polishes.
From www.roadandtrack.com
How to Polish a Car Car Polishing Walkthrough A Dedicated Sports Car Enthusiast Polishes Show all your work step by step. When he looks into one. When she looks into one side of the hubcap, she sees an image. A dedicated sports car enthusiast polishes the inside and outside. A dedicated sports car enthusiast polished the inside and outside surfaces of a hubcap that is a section of a sphere. When he looks into. A Dedicated Sports Car Enthusiast Polishes.
From solvedlib.com
Dedicated sports car enthusiast polishes the inside a… SolvedLib A Dedicated Sports Car Enthusiast Polishes A dedicated sports car enthusiast polishes the inside and outside surfaces of a hubcap that is a thin section of a sphere. When she looks into one side of the hubcap, she sees an image. Show all your work step by step. A dedicated sports car enthusiast polishes the inside and outside surfaces of a hubcap that is a section. A Dedicated Sports Car Enthusiast Polishes.
From www.dreamstime.com
Master Polishes the Deep Blue Sport Car Via Polish Mashine in a Car A Dedicated Sports Car Enthusiast Polishes A dedicated sports car enthusiast polishes the inside and outside surfaces of a hubcap that is a section of a sphere. A dedicated sports car enthusiast polished the inside and outside surfaces of a hubcap that is a section of a sphere. A dedicated sports car enthusiast polishes the inside and outside surfaces of a hubcap that is a thin. A Dedicated Sports Car Enthusiast Polishes.
From www.numerade.com
SOLVEDA dedicated sportscar enthusiast polishes the inside and A Dedicated Sports Car Enthusiast Polishes When she looks into one side of the hubcap, she sees an image. Show all your work step by step. A dedicated sports car enthusiast polishes the inside and outside surfaces of a hubcap that is a thin section of a sphere. When he looks into one. A dedicated sports car enthusiast polishes the inside and outside surfaces of a. A Dedicated Sports Car Enthusiast Polishes.
From www.numerade.com
SOLVED A dedicated sports car enthusiast polishes the inside and A Dedicated Sports Car Enthusiast Polishes When he looks into one. A dedicated sports car enthusiast polishes the inside and outside surfaces of a hubcap that is a thin section of a sphere. A dedicated sports car enthusiast polishes the inside and outside surfaces of a hubcap that is a section of a sphere. A dedicated sports car enthusiast polishes the inside and outside surfaces of. A Dedicated Sports Car Enthusiast Polishes.
From www.endurancewarranty.com
Incredibly Detailed Guide on How to Properly Polish Your Car A Dedicated Sports Car Enthusiast Polishes Phy2054 section 07hb quiz 9: When he looks into one. Show all your work step by step. When she looks into one side of the hubcap, she sees an image. When he looks into one. A dedicated sports car enthusiast polished the inside and outside surfaces of a hubcap that is a section of a sphere. When he looks into. A Dedicated Sports Car Enthusiast Polishes.
From plainmath.org
Solved "A dedicated sports car enthusiast polishes the inside A Dedicated Sports Car Enthusiast Polishes When she looks into one side of the hubcap, she sees an image. When he looks into one. A dedicated sports car enthusiast polishes the inside and outside surfaces of a hubcap that is a section of a sphere. Show all your work step by step. A dedicated sports car enthusiast polishes the inside and outside surfaces of a hubcap. A Dedicated Sports Car Enthusiast Polishes.
From www.alamy.com
London UK. 14 December 2023. A Bonhams technician polishes 1968 Aston A Dedicated Sports Car Enthusiast Polishes When he looks into one. When he looks into one side of the hubcap, he sees an image. A dedicated sports car enthusiast polishes the inside and outside surfaces of a hubcap that is a thin section of a sphere. When he looks into one. A dedicated sports car enthusiast polishes the inside and outside surfaces of a hubcap that. A Dedicated Sports Car Enthusiast Polishes.
From www.classicandsportscar.com
Best car polishes 2023 Classic & Sports Car A Dedicated Sports Car Enthusiast Polishes A dedicated sports car enthusiast polishes the inside and outside surfaces of a hubcap that is a thin section of a sphere. When he looks into one. A dedicated sports car enthusiast polishes the inside and outside. Phy2054 section 07hb quiz 9: When she looks into one side of the hubcap, she sees an image. When he looks into one. A Dedicated Sports Car Enthusiast Polishes.
From www.chegg.com
Solved 9.81 B 12 Points] DETAILS PREVIOUS ANSWERS SERPSE10 A Dedicated Sports Car Enthusiast Polishes A dedicated sports car enthusiast polishes the inside and outside surfaces of a hubcap that is a thin section of a sphere. When he looks into one. Show all your work step by step. When he looks into one side of the hubcap, he sees an image. When she looks into one side of the hubcap, she sees an image.. A Dedicated Sports Car Enthusiast Polishes.
From www.chegg.com
Solved A dedicated sports car enthusiast polishes the inside A Dedicated Sports Car Enthusiast Polishes A dedicated sports car enthusiast polishes the inside and outside surfaces of a hubcap that is a section of a sphere. When he looks into one. A dedicated sports car enthusiast polishes the inside and outside surfaces of a hubcap that is a section of a sphere. A dedicated sports car enthusiast polishes the inside and outside surfaces of a. A Dedicated Sports Car Enthusiast Polishes.
From www.dreamstime.com
Master Polishes the Deep Blue Sport Car Via Polish Mashine in a Car A Dedicated Sports Car Enthusiast Polishes A dedicated sports car enthusiast polishes the inside and outside surfaces of a hubcap that is a thin section of a sphere. When she looks into one side of the hubcap, she sees an image. When he looks into one. Phy2054 section 07hb quiz 9: When he looks into one. When he looks into one. A dedicated sports car enthusiast. A Dedicated Sports Car Enthusiast Polishes.
From www.classicandsportscar.com
Best car polishes 2023 Classic & Sports Car A Dedicated Sports Car Enthusiast Polishes A dedicated sports car enthusiast polishes the inside and outside surfaces of a hubcap that is a section of a sphere. When she looks into one side of the hubcap, she sees an image. When he looks into one. When he looks into one. A dedicated sports car enthusiast polishes the inside and outside surfaces of a hubcap that is. A Dedicated Sports Car Enthusiast Polishes.
From www.chegg.com
Solved A dedicated sports car enthusiast polishes the inside A Dedicated Sports Car Enthusiast Polishes When he looks into one. A dedicated sports car enthusiast polishes the inside and outside surfaces of a hubcap that is a thin section of a sphere. Show all your work step by step. Phy2054 section 07hb quiz 9: A dedicated sports car enthusiast polished the inside and outside surfaces of a hubcap that is a section of a sphere.. A Dedicated Sports Car Enthusiast Polishes.
From www.familyhandyman.com
Best Car Polishes of 2020 The Family Handyman A Dedicated Sports Car Enthusiast Polishes When she looks into one side of the hubcap, she sees an image. When he looks into one side of the hubcap, he sees an image. A dedicated sports car enthusiast polishes the inside and outside surfaces of a hubcap that is a section of a sphere. Phy2054 section 07hb quiz 9: A dedicated sports car enthusiast polishes the inside. A Dedicated Sports Car Enthusiast Polishes.
From ceramicpro.com
Car Detailing 101 How to Polish Your Car Ceramic Pro A Dedicated Sports Car Enthusiast Polishes A dedicated sports car enthusiast polishes the inside and outside surfaces of a hubcap that is a section of a sphere. Phy2054 section 07hb quiz 9: A dedicated sports car enthusiast polishes the inside and outside. Show all your work step by step. A dedicated sports car enthusiast polishes the inside and outside surfaces of a hubcap that is a. A Dedicated Sports Car Enthusiast Polishes.
From www.youtube.com
Car Polishes Best Car Polishes 2020 YouTube A Dedicated Sports Car Enthusiast Polishes When he looks into one. A dedicated sports car enthusiast polishes the inside and outside surfaces of a hubcap that is a thin section of a sphere. A dedicated sports car enthusiast polishes the inside and outside. When he looks into one side of the hubcap, he sees an image. When he looks into one. A dedicated sports car enthusiast. A Dedicated Sports Car Enthusiast Polishes.
From www.chegg.com
Solved A dedicated sports car enthusiast polishes the inside A Dedicated Sports Car Enthusiast Polishes A dedicated sports car enthusiast polished the inside and outside surfaces of a hubcap that is a section of a sphere. A dedicated sports car enthusiast polishes the inside and outside surfaces of a hubcap that is a section of a sphere. A dedicated sports car enthusiast polishes the inside and outside surfaces of a hubcap that is a section. A Dedicated Sports Car Enthusiast Polishes.
From www.crankandpiston.com
Car polish everything you need to know A Dedicated Sports Car Enthusiast Polishes When he looks into one side of the hubcap, he sees an image. A dedicated sports car enthusiast polishes the inside and outside surfaces of a hubcap that is a section of a sphere. When he looks into one. Show all your work step by step. A dedicated sports car enthusiast polishes the inside and outside. Phy2054 section 07hb quiz. A Dedicated Sports Car Enthusiast Polishes.
From www.youtube.com
HOW TO POLISH YOUR CAR For Beginners & Enthusiasts (Step by Step A Dedicated Sports Car Enthusiast Polishes When she looks into one side of the hubcap, she sees an image. A dedicated sports car enthusiast polishes the inside and outside surfaces of a hubcap that is a thin section of a sphere. A dedicated sports car enthusiast polished the inside and outside surfaces of a hubcap that is a section of a sphere. When she looks into. A Dedicated Sports Car Enthusiast Polishes.
From www.chegg.com
Solved A dedicated sports car enthusiast polishes the inside A Dedicated Sports Car Enthusiast Polishes When she looks into one side of the hubcap, she sees an image. When she looks into one side of the hubcap, she sees an image. A dedicated sports car enthusiast polishes the inside and outside surfaces of a hubcap that is a section of a sphere. A dedicated sports car enthusiast polished the inside and outside surfaces of a. A Dedicated Sports Car Enthusiast Polishes.
From motorcities.com
The Best Car Polishes On The Market Reviews and Buying Guide A Dedicated Sports Car Enthusiast Polishes A dedicated sports car enthusiast polishes the inside and outside surfaces of a hubcap that is a section of a sphere. A dedicated sports car enthusiast polishes the inside and outside surfaces of a hubcap that is a section of a sphere. A dedicated sports car enthusiast polished the inside and outside surfaces of a hubcap that is a section. A Dedicated Sports Car Enthusiast Polishes.