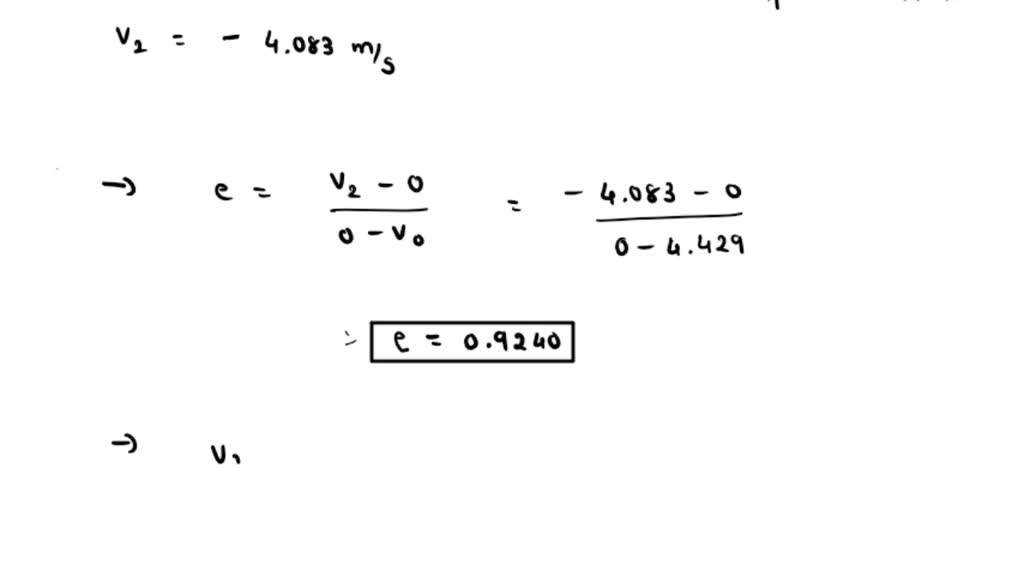
Rubber Ball Is Dropped From A Height Of 5 M On A Plane . When the ball is dropped from a height of @$\begin{align*}h_1 = 5\end{align*}@$ meters, its initial potential energy is converted into kinetic. We are asked to find the loss of velocity on bouncing from. The initial height of the ball h 1 = 5 m. On bouncing, it rises to 1.8 m. Be the final velocity is zero at the top most point. On bouncing, it rises to 1.8 m. A rubber ball is dropped from a height of 5 m on a plane, where the acceleration due to gravity is not shown. In the question, we are given a rubber ball that is dropped from a height of 5m on a plane. It is given that the ball reaches height 1.8 m on rebound. Substituting this value and value of acceleration due to gravity in the formula, we get. This ball rises to a height of 1.8m after bouncing. As the ball reaches a maximum distance of 1.8m, it attains zero velocity when it is at the top most point. A rubber ball is dropped from a height of 5 m on a planet where the value of acceleration due to gravity is not known. If the ball is dropped from height h and bounces back to height h 1 h 1 = e 2 h ⇒ e = h h 1 = 5 1.8 = 0.6 The final height of the ball h 2 = 1.
from www.teachoo.com
In the question, we are given a rubber ball that is dropped from a height of 5m on a plane. When the ball is dropped from a height of @$\begin{align*}h_1 = 5\end{align*}@$ meters, its initial potential energy is converted into kinetic. A rubber ball is dropped from a height of 5 m on a planet where the value of acceleration due to gravity is not known. Substituting this value and value of acceleration due to gravity in the formula, we get. If the ball is dropped from height h and bounces back to height h 1 h 1 = e 2 h ⇒ e = h h 1 = 5 1.8 = 0.6 The initial height of the ball h 1 = 5 m. On bouncing, it rises to 1.8 m. The final height of the ball h 2 = 1. As the ball reaches a maximum distance of 1.8m, it attains zero velocity when it is at the top most point. Be the final velocity is zero at the top most point.
NCERT Q7 A ball is gently dropped from a height of 20 m. If its
Rubber Ball Is Dropped From A Height Of 5 M On A Plane When the ball is dropped from a height of @$\begin{align*}h_1 = 5\end{align*}@$ meters, its initial potential energy is converted into kinetic. On bouncing, it rises to 1.8 m. A rubber ball is dropped from a height of 5 m on a plane, where the acceleration due to gravity is not shown. In the question, we are given a rubber ball that is dropped from a height of 5m on a plane. If the ball is dropped from height h and bounces back to height h 1 h 1 = e 2 h ⇒ e = h h 1 = 5 1.8 = 0.6 As the ball reaches a maximum distance of 1.8m, it attains zero velocity when it is at the top most point. When the ball is dropped from a height of @$\begin{align*}h_1 = 5\end{align*}@$ meters, its initial potential energy is converted into kinetic. A rubber ball is dropped from a height of 5 m on a planet where the value of acceleration due to gravity is not known. We are asked to find the loss of velocity on bouncing from. The final height of the ball h 2 = 1. Substituting this value and value of acceleration due to gravity in the formula, we get. The initial height of the ball h 1 = 5 m. This ball rises to a height of 1.8m after bouncing. It is given that the ball reaches height 1.8 m on rebound. On bouncing, it rises to 1.8 m. Be the final velocity is zero at the top most point.
From www.chegg.com
Solved A rubber ball is dropped from height of 3.25 m on to Rubber Ball Is Dropped From A Height Of 5 M On A Plane On bouncing, it rises to 1.8 m. Substituting this value and value of acceleration due to gravity in the formula, we get. As the ball reaches a maximum distance of 1.8m, it attains zero velocity when it is at the top most point. The final height of the ball h 2 = 1. We are asked to find the loss. Rubber Ball Is Dropped From A Height Of 5 M On A Plane.
From www.youtube.com
A rubber ball dropped from a height of 2 m bounces back to a height of 1 m Draw the balls Rubber Ball Is Dropped From A Height Of 5 M On A Plane On bouncing, it rises to 1.8 m. If the ball is dropped from height h and bounces back to height h 1 h 1 = e 2 h ⇒ e = h h 1 = 5 1.8 = 0.6 The final height of the ball h 2 = 1. Be the final velocity is zero at the top most point.. Rubber Ball Is Dropped From A Height Of 5 M On A Plane.
From questions.kunduz.com
A rubber ball is dropped from a height of 5 m on a p... Physics Rubber Ball Is Dropped From A Height Of 5 M On A Plane On bouncing, it rises to 1.8 m. When the ball is dropped from a height of @$\begin{align*}h_1 = 5\end{align*}@$ meters, its initial potential energy is converted into kinetic. A rubber ball is dropped from a height of 5 m on a plane, where the acceleration due to gravity is not shown. If the ball is dropped from height h and. Rubber Ball Is Dropped From A Height Of 5 M On A Plane.
From www.teachoo.com
NCERT Q7 A ball is gently dropped from a height of 20 m. If its Rubber Ball Is Dropped From A Height Of 5 M On A Plane A rubber ball is dropped from a height of 5 m on a plane, where the acceleration due to gravity is not shown. The final height of the ball h 2 = 1. Be the final velocity is zero at the top most point. When the ball is dropped from a height of @$\begin{align*}h_1 = 5\end{align*}@$ meters, its initial potential. Rubber Ball Is Dropped From A Height Of 5 M On A Plane.
From www.toppr.com
(3) A rubber ball a plane, where the not known. On loses its vetor is dropped from a height of 5 Rubber Ball Is Dropped From A Height Of 5 M On A Plane As the ball reaches a maximum distance of 1.8m, it attains zero velocity when it is at the top most point. Be the final velocity is zero at the top most point. When the ball is dropped from a height of @$\begin{align*}h_1 = 5\end{align*}@$ meters, its initial potential energy is converted into kinetic. A rubber ball is dropped from a. Rubber Ball Is Dropped From A Height Of 5 M On A Plane.
From www.toppr.com
A ball is dropped on the floor from a height of 10m . It rebounds to a height of 2.5 m . If the Rubber Ball Is Dropped From A Height Of 5 M On A Plane In the question, we are given a rubber ball that is dropped from a height of 5m on a plane. Substituting this value and value of acceleration due to gravity in the formula, we get. On bouncing, it rises to 1.8 m. As the ball reaches a maximum distance of 1.8m, it attains zero velocity when it is at the. Rubber Ball Is Dropped From A Height Of 5 M On A Plane.
From www.toppr.com
A ball is dropped from a height h on a inclined plane, ball collides elastically with the first Rubber Ball Is Dropped From A Height Of 5 M On A Plane Be the final velocity is zero at the top most point. It is given that the ball reaches height 1.8 m on rebound. The initial height of the ball h 1 = 5 m. The final height of the ball h 2 = 1. On bouncing, it rises to 1.8 m. If the ball is dropped from height h and. Rubber Ball Is Dropped From A Height Of 5 M On A Plane.
From www.numerade.com
SOLVED A 300gram rubber ball is dropped from a height of 1 m and rebounds to a height of 85 cm Rubber Ball Is Dropped From A Height Of 5 M On A Plane The final height of the ball h 2 = 1. Be the final velocity is zero at the top most point. Substituting this value and value of acceleration due to gravity in the formula, we get. As the ball reaches a maximum distance of 1.8m, it attains zero velocity when it is at the top most point. A rubber ball. Rubber Ball Is Dropped From A Height Of 5 M On A Plane.
From byjus.com
A rubber ball is dropped from a height of 5m on a where the acceleration due to gravity Rubber Ball Is Dropped From A Height Of 5 M On A Plane On bouncing, it rises to 1.8 m. This ball rises to a height of 1.8m after bouncing. It is given that the ball reaches height 1.8 m on rebound. We are asked to find the loss of velocity on bouncing from. On bouncing, it rises to 1.8 m. The final height of the ball h 2 = 1. Substituting this. Rubber Ball Is Dropped From A Height Of 5 M On A Plane.
From edurev.in
A ball is dropped on the floor from a height of 10 m. It rebounds to a height of 2.5 m. If the Rubber Ball Is Dropped From A Height Of 5 M On A Plane If the ball is dropped from height h and bounces back to height h 1 h 1 = e 2 h ⇒ e = h h 1 = 5 1.8 = 0.6 Be the final velocity is zero at the top most point. On bouncing, it rises to 1.8 m. A rubber ball is dropped from a height of 5. Rubber Ball Is Dropped From A Height Of 5 M On A Plane.
From www.toppr.com
A rubber ball is dropped from a height of 5m on a plane. On bouncing it rises to 1.8 m. The ball Rubber Ball Is Dropped From A Height Of 5 M On A Plane If the ball is dropped from height h and bounces back to height h 1 h 1 = e 2 h ⇒ e = h h 1 = 5 1.8 = 0.6 A rubber ball is dropped from a height of 5 m on a plane, where the acceleration due to gravity is not shown. The initial height of the. Rubber Ball Is Dropped From A Height Of 5 M On A Plane.
From www.youtube.com
A ball is dropped from some height. After rebound from the floor it ascends to the same height Rubber Ball Is Dropped From A Height Of 5 M On A Plane In the question, we are given a rubber ball that is dropped from a height of 5m on a plane. Substituting this value and value of acceleration due to gravity in the formula, we get. The initial height of the ball h 1 = 5 m. A rubber ball is dropped from a height of 5 m on a planet. Rubber Ball Is Dropped From A Height Of 5 M On A Plane.
From askfilo.com
33. A rubber ball is dropped from a height of 5 m o a plane. On bouncing Rubber Ball Is Dropped From A Height Of 5 M On A Plane On bouncing, it rises to 1.8 m. If the ball is dropped from height h and bounces back to height h 1 h 1 = e 2 h ⇒ e = h h 1 = 5 1.8 = 0.6 In the question, we are given a rubber ball that is dropped from a height of 5m on a plane. We. Rubber Ball Is Dropped From A Height Of 5 M On A Plane.
From www.toppr.com
A rubber ball is dropped from a height of 5 m on a plane. On bouncing it rises to 1.8 m. The Rubber Ball Is Dropped From A Height Of 5 M On A Plane This ball rises to a height of 1.8m after bouncing. As the ball reaches a maximum distance of 1.8m, it attains zero velocity when it is at the top most point. We are asked to find the loss of velocity on bouncing from. If the ball is dropped from height h and bounces back to height h 1 h 1. Rubber Ball Is Dropped From A Height Of 5 M On A Plane.
From www.toppr.com
A ball is dropped from a height of 20 m and rebounds with a velocity which is 3/4th of the Rubber Ball Is Dropped From A Height Of 5 M On A Plane As the ball reaches a maximum distance of 1.8m, it attains zero velocity when it is at the top most point. The initial height of the ball h 1 = 5 m. A rubber ball is dropped from a height of 5 m on a planet where the value of acceleration due to gravity is not known. A rubber ball. Rubber Ball Is Dropped From A Height Of 5 M On A Plane.
From www.toppr.com
A rubber ball is dropped from a height of 5m on a plane. On bouncing it rises to 1.8 m. The ball Rubber Ball Is Dropped From A Height Of 5 M On A Plane On bouncing, it rises to 1.8 m. Substituting this value and value of acceleration due to gravity in the formula, we get. When the ball is dropped from a height of @$\begin{align*}h_1 = 5\end{align*}@$ meters, its initial potential energy is converted into kinetic. This ball rises to a height of 1.8m after bouncing. As the ball reaches a maximum distance. Rubber Ball Is Dropped From A Height Of 5 M On A Plane.
From byjus.com
A ball of mass 1 kg is dropped from 20 m height on ground and it rebounds to height 5 m Rubber Ball Is Dropped From A Height Of 5 M On A Plane On bouncing, it rises to 1.8 m. Substituting this value and value of acceleration due to gravity in the formula, we get. This ball rises to a height of 1.8m after bouncing. The initial height of the ball h 1 = 5 m. We are asked to find the loss of velocity on bouncing from. A rubber ball is dropped. Rubber Ball Is Dropped From A Height Of 5 M On A Plane.
From www.chegg.com
Solved energy . A rubber ball dropped from a height of Rubber Ball Is Dropped From A Height Of 5 M On A Plane Substituting this value and value of acceleration due to gravity in the formula, we get. If the ball is dropped from height h and bounces back to height h 1 h 1 = e 2 h ⇒ e = h h 1 = 5 1.8 = 0.6 This ball rises to a height of 1.8m after bouncing. On bouncing, it. Rubber Ball Is Dropped From A Height Of 5 M On A Plane.
From www.numerade.com
SOLVEDBouncing ball for time Suppose a rubber ball, when dropped from a given height, returns Rubber Ball Is Dropped From A Height Of 5 M On A Plane When the ball is dropped from a height of @$\begin{align*}h_1 = 5\end{align*}@$ meters, its initial potential energy is converted into kinetic. The initial height of the ball h 1 = 5 m. This ball rises to a height of 1.8m after bouncing. Substituting this value and value of acceleration due to gravity in the formula, we get. A rubber ball. Rubber Ball Is Dropped From A Height Of 5 M On A Plane.
From www.numerade.com
SOLVED A rubber ball is shot straight up from the ground with speed v0. Simultaneously, a Rubber Ball Is Dropped From A Height Of 5 M On A Plane A rubber ball is dropped from a height of 5 m on a plane, where the acceleration due to gravity is not shown. As the ball reaches a maximum distance of 1.8m, it attains zero velocity when it is at the top most point. On bouncing, it rises to 1.8 m. If the ball is dropped from height h and. Rubber Ball Is Dropped From A Height Of 5 M On A Plane.
From math-master.org
16. A rubber ball dropped on a hard surface takes a sequence of bounces, each one 2/5 as high as Rubber Ball Is Dropped From A Height Of 5 M On A Plane This ball rises to a height of 1.8m after bouncing. On bouncing, it rises to 1.8 m. If the ball is dropped from height h and bounces back to height h 1 h 1 = e 2 h ⇒ e = h h 1 = 5 1.8 = 0.6 We are asked to find the loss of velocity on bouncing. Rubber Ball Is Dropped From A Height Of 5 M On A Plane.
From byjus.com
A ball of mass m is dropped from height h on a horizontal floor which collides with it with Rubber Ball Is Dropped From A Height Of 5 M On A Plane On bouncing, it rises to 1.8 m. As the ball reaches a maximum distance of 1.8m, it attains zero velocity when it is at the top most point. Be the final velocity is zero at the top most point. If the ball is dropped from height h and bounces back to height h 1 h 1 = e 2 h. Rubber Ball Is Dropped From A Height Of 5 M On A Plane.
From brainly.in
A rubber ball is dropped from a height of 5m on a plane. On bouncing it rises to 1.8 m. The ball Rubber Ball Is Dropped From A Height Of 5 M On A Plane This ball rises to a height of 1.8m after bouncing. A rubber ball is dropped from a height of 5 m on a planet where the value of acceleration due to gravity is not known. In the question, we are given a rubber ball that is dropped from a height of 5m on a plane. On bouncing, it rises to. Rubber Ball Is Dropped From A Height Of 5 M On A Plane.
From www.toppr.com
A rubber ball is dropped from a height of 5m on a plane. On bouncing it rises to 1.8 m. The ball Rubber Ball Is Dropped From A Height Of 5 M On A Plane Substituting this value and value of acceleration due to gravity in the formula, we get. On bouncing, it rises to 1.8 m. In the question, we are given a rubber ball that is dropped from a height of 5m on a plane. On bouncing, it rises to 1.8 m. It is given that the ball reaches height 1.8 m on. Rubber Ball Is Dropped From A Height Of 5 M On A Plane.
From askfilo.com
A rubber ball is dropped from a height of 5 m on a plane where the accele.. Rubber Ball Is Dropped From A Height Of 5 M On A Plane We are asked to find the loss of velocity on bouncing from. A rubber ball is dropped from a height of 5 m on a plane, where the acceleration due to gravity is not shown. The final height of the ball h 2 = 1. If the ball is dropped from height h and bounces back to height h 1. Rubber Ball Is Dropped From A Height Of 5 M On A Plane.
From byjus.com
A rubber ball is dropped from a height of 5 m on a plane, where the acceleration due to gravity Rubber Ball Is Dropped From A Height Of 5 M On A Plane We are asked to find the loss of velocity on bouncing from. The initial height of the ball h 1 = 5 m. As the ball reaches a maximum distance of 1.8m, it attains zero velocity when it is at the top most point. On bouncing, it rises to 1.8 m. The final height of the ball h 2 =. Rubber Ball Is Dropped From A Height Of 5 M On A Plane.
From www.youtube.com
A rubber ball is dropped from a height of 5 m on a plane, where the acceleration due to gravity Rubber Ball Is Dropped From A Height Of 5 M On A Plane In the question, we are given a rubber ball that is dropped from a height of 5m on a plane. On bouncing, it rises to 1.8 m. If the ball is dropped from height h and bounces back to height h 1 h 1 = e 2 h ⇒ e = h h 1 = 5 1.8 = 0.6 The. Rubber Ball Is Dropped From A Height Of 5 M On A Plane.
From www.toppr.com
A rubber ball is dropped from a height of 5 m on a plane, where the acceleration due to gravity Rubber Ball Is Dropped From A Height Of 5 M On A Plane This ball rises to a height of 1.8m after bouncing. In the question, we are given a rubber ball that is dropped from a height of 5m on a plane. It is given that the ball reaches height 1.8 m on rebound. The initial height of the ball h 1 = 5 m. The final height of the ball h. Rubber Ball Is Dropped From A Height Of 5 M On A Plane.
From www.toppr.com
A ball is dropped from a height h on a floor of coefficient of restitution e . The total Rubber Ball Is Dropped From A Height Of 5 M On A Plane Be the final velocity is zero at the top most point. As the ball reaches a maximum distance of 1.8m, it attains zero velocity when it is at the top most point. The initial height of the ball h 1 = 5 m. A rubber ball is dropped from a height of 5 m on a plane, where the acceleration. Rubber Ball Is Dropped From A Height Of 5 M On A Plane.
From www.toppr.com
A rubber ball dropped from a height of 20 m (g = 10 m/s^2) falls on the roof of an elevator Rubber Ball Is Dropped From A Height Of 5 M On A Plane When the ball is dropped from a height of @$\begin{align*}h_1 = 5\end{align*}@$ meters, its initial potential energy is converted into kinetic. The initial height of the ball h 1 = 5 m. A rubber ball is dropped from a height of 5 m on a plane, where the acceleration due to gravity is not shown. On bouncing, it rises to. Rubber Ball Is Dropped From A Height Of 5 M On A Plane.
From brainly.in
a rubber ball is dropped from a height of 5 m on a plane where the acceleration due to gravity Rubber Ball Is Dropped From A Height Of 5 M On A Plane In the question, we are given a rubber ball that is dropped from a height of 5m on a plane. As the ball reaches a maximum distance of 1.8m, it attains zero velocity when it is at the top most point. When the ball is dropped from a height of @$\begin{align*}h_1 = 5\end{align*}@$ meters, its initial potential energy is converted. Rubber Ball Is Dropped From A Height Of 5 M On A Plane.
From www.numerade.com
SOLVED A rubber ball is dropped from rest from a height of 7.3 m onto level ground. What is the Rubber Ball Is Dropped From A Height Of 5 M On A Plane Substituting this value and value of acceleration due to gravity in the formula, we get. If the ball is dropped from height h and bounces back to height h 1 h 1 = e 2 h ⇒ e = h h 1 = 5 1.8 = 0.6 Be the final velocity is zero at the top most point. We are. Rubber Ball Is Dropped From A Height Of 5 M On A Plane.
From askfilo.com
A rubber ball is dropped from a height of 5mathrm m on a plane, where the.. Rubber Ball Is Dropped From A Height Of 5 M On A Plane A rubber ball is dropped from a height of 5 m on a plane, where the acceleration due to gravity is not shown. In the question, we are given a rubber ball that is dropped from a height of 5m on a plane. The final height of the ball h 2 = 1. Be the final velocity is zero at. Rubber Ball Is Dropped From A Height Of 5 M On A Plane.
From www.numerade.com
A rubber ball is dropped from a height of 5 m on a plane, where the acceleration due to gravity Rubber Ball Is Dropped From A Height Of 5 M On A Plane We are asked to find the loss of velocity on bouncing from. As the ball reaches a maximum distance of 1.8m, it attains zero velocity when it is at the top most point. Substituting this value and value of acceleration due to gravity in the formula, we get. The initial height of the ball h 1 = 5 m. On. Rubber Ball Is Dropped From A Height Of 5 M On A Plane.
From www.toppr.com
A rubber ball dropped from a height of 1 m bounces (after hitting the floor) several times Rubber Ball Is Dropped From A Height Of 5 M On A Plane The final height of the ball h 2 = 1. On bouncing, it rises to 1.8 m. When the ball is dropped from a height of @$\begin{align*}h_1 = 5\end{align*}@$ meters, its initial potential energy is converted into kinetic. Substituting this value and value of acceleration due to gravity in the formula, we get. A rubber ball is dropped from a. Rubber Ball Is Dropped From A Height Of 5 M On A Plane.