Dbpr Construction Licensing Board . The construction industry licensing board is responsible for licensing and regulating the construction industry. The dbpr online services website provides information about applicants and licensed individuals for those professions and. Users can verify licenses by name. The construction industry licensing board members work with the department in meeting its mission to “license efficiently. Apply for a new license. All requests for publications, documents, forms, applications for licenses, permits and other similar certifications can be obtained by. Search dbpr records for businesses and professionals licensed by the department. Using the links below, you can get information on licensing requirements, check the status of an existing application, apply using a printable.
        
         
         
        from www.pdffiller.com 
     
        
        The construction industry licensing board is responsible for licensing and regulating the construction industry. Users can verify licenses by name. Apply for a new license. Using the links below, you can get information on licensing requirements, check the status of an existing application, apply using a printable. The construction industry licensing board members work with the department in meeting its mission to “license efficiently. Search dbpr records for businesses and professionals licensed by the department. The dbpr online services website provides information about applicants and licensed individuals for those professions and. All requests for publications, documents, forms, applications for licenses, permits and other similar certifications can be obtained by.
    
    	
            
	
		 
	 
         
    Fillable Online 1 of 21 State of Florida Department of Business and 
    Dbpr Construction Licensing Board  The construction industry licensing board is responsible for licensing and regulating the construction industry. The construction industry licensing board is responsible for licensing and regulating the construction industry. The construction industry licensing board members work with the department in meeting its mission to “license efficiently. Using the links below, you can get information on licensing requirements, check the status of an existing application, apply using a printable. Apply for a new license. Search dbpr records for businesses and professionals licensed by the department. The dbpr online services website provides information about applicants and licensed individuals for those professions and. Users can verify licenses by name. All requests for publications, documents, forms, applications for licenses, permits and other similar certifications can be obtained by.
            
	
		 
	 
         
 
    
         
        From www.pdffiller.com 
                    DBPR CILB 30 Certification of Reg Contractor (Grandfathering Dbpr Construction Licensing Board  The dbpr online services website provides information about applicants and licensed individuals for those professions and. Search dbpr records for businesses and professionals licensed by the department. Users can verify licenses by name. Apply for a new license. The construction industry licensing board is responsible for licensing and regulating the construction industry. Using the links below, you can get information. Dbpr Construction Licensing Board.
     
    
         
        From dokumen.tips 
                    (PDF) Construction Industry Licensing Board Form DBPR CILB 6G Dbpr Construction Licensing Board  All requests for publications, documents, forms, applications for licenses, permits and other similar certifications can be obtained by. Apply for a new license. Users can verify licenses by name. The construction industry licensing board members work with the department in meeting its mission to “license efficiently. Search dbpr records for businesses and professionals licensed by the department. The construction industry. Dbpr Construction Licensing Board.
     
    
         
        From www.pdffiller.com 
                    Fillable Online Construction Industry Licensing Board Form DBPR CILB Dbpr Construction Licensing Board  The construction industry licensing board members work with the department in meeting its mission to “license efficiently. The dbpr online services website provides information about applicants and licensed individuals for those professions and. All requests for publications, documents, forms, applications for licenses, permits and other similar certifications can be obtained by. Search dbpr records for businesses and professionals licensed by. Dbpr Construction Licensing Board.
     
    
         
        From www.templateroller.com 
                    Form DBPR AR6 Download Printable PDF or Fill Online Application for Dbpr Construction Licensing Board  Search dbpr records for businesses and professionals licensed by the department. All requests for publications, documents, forms, applications for licenses, permits and other similar certifications can be obtained by. The construction industry licensing board is responsible for licensing and regulating the construction industry. Users can verify licenses by name. The construction industry licensing board members work with the department in. Dbpr Construction Licensing Board.
     
    
         
        From www.facebook.com 
                    October is CareersinConstructionMonth! DBPR proudly recognizes the Dbpr Construction Licensing Board  The dbpr online services website provides information about applicants and licensed individuals for those professions and. Search dbpr records for businesses and professionals licensed by the department. Using the links below, you can get information on licensing requirements, check the status of an existing application, apply using a printable. The construction industry licensing board is responsible for licensing and regulating. Dbpr Construction Licensing Board.
     
    
         
        From hammerngavel.com 
                    Florida DBPR Extends Narrow, Relaxed Licensing due to Hurricane Ian Dbpr Construction Licensing Board  The construction industry licensing board members work with the department in meeting its mission to “license efficiently. Search dbpr records for businesses and professionals licensed by the department. Users can verify licenses by name. The construction industry licensing board is responsible for licensing and regulating the construction industry. The dbpr online services website provides information about applicants and licensed individuals. Dbpr Construction Licensing Board.
     
    
         
        From www.facebook.com 
                    DBPR's Construction Industry Licensing Board is responsible for Dbpr Construction Licensing Board  The dbpr online services website provides information about applicants and licensed individuals for those professions and. Apply for a new license. Using the links below, you can get information on licensing requirements, check the status of an existing application, apply using a printable. The construction industry licensing board members work with the department in meeting its mission to “license efficiently.. Dbpr Construction Licensing Board.
     
    
         
        From www.templateroller.com 
                    Form DBPR AR2 Download Printable PDF or Fill Online Application for Dbpr Construction Licensing Board  Users can verify licenses by name. Using the links below, you can get information on licensing requirements, check the status of an existing application, apply using a printable. The construction industry licensing board members work with the department in meeting its mission to “license efficiently. Apply for a new license. Search dbpr records for businesses and professionals licensed by the. Dbpr Construction Licensing Board.
     
    
         
        From formspal.com 
                    Dbpr Hr 7007 Form ≡ Fill Out Printable PDF Forms Online Dbpr Construction Licensing Board  The construction industry licensing board members work with the department in meeting its mission to “license efficiently. Users can verify licenses by name. Apply for a new license. Using the links below, you can get information on licensing requirements, check the status of an existing application, apply using a printable. The construction industry licensing board is responsible for licensing and. Dbpr Construction Licensing Board.
     
    
         
        From floridadaily.com 
                    DBPR Launches Online Proctored Tests for Professional Licenses Exams Dbpr Construction Licensing Board  The construction industry licensing board is responsible for licensing and regulating the construction industry. Using the links below, you can get information on licensing requirements, check the status of an existing application, apply using a printable. All requests for publications, documents, forms, applications for licenses, permits and other similar certifications can be obtained by. The construction industry licensing board members. Dbpr Construction Licensing Board.
     
    
         
        From www.dochub.com 
                    Dbpr login Fill out & sign online DocHub Dbpr Construction Licensing Board  All requests for publications, documents, forms, applications for licenses, permits and other similar certifications can be obtained by. The construction industry licensing board members work with the department in meeting its mission to “license efficiently. Search dbpr records for businesses and professionals licensed by the department. Apply for a new license. The construction industry licensing board is responsible for licensing. Dbpr Construction Licensing Board.
     
    
         
        From www.pdffiller.com 
                    Fillable Online 1 of 21 State of Florida Department of Business and Dbpr Construction Licensing Board  The construction industry licensing board members work with the department in meeting its mission to “license efficiently. Apply for a new license. Users can verify licenses by name. All requests for publications, documents, forms, applications for licenses, permits and other similar certifications can be obtained by. Search dbpr records for businesses and professionals licensed by the department. The construction industry. Dbpr Construction Licensing Board.
     
    
         
        From billingsblessingbags.org 
                    Do You Have To Be Licensed An Interior Designer Dbpr Construction Licensing Board  Using the links below, you can get information on licensing requirements, check the status of an existing application, apply using a printable. Users can verify licenses by name. Apply for a new license. The dbpr online services website provides information about applicants and licensed individuals for those professions and. The construction industry licensing board members work with the department in. Dbpr Construction Licensing Board.
     
    
         
        From www.emeraldcoastrealtors.com 
                    Contractor License Requirements with Ashley Bailey, DBPR, & Okaloosa Dbpr Construction Licensing Board  All requests for publications, documents, forms, applications for licenses, permits and other similar certifications can be obtained by. The construction industry licensing board is responsible for licensing and regulating the construction industry. The dbpr online services website provides information about applicants and licensed individuals for those professions and. The construction industry licensing board members work with the department in meeting. Dbpr Construction Licensing Board.
     
    
         
        From cyprezcorp.com 
                    Cyprezcorp Register a new company Obtaining county or state Dbpr Construction Licensing Board  Users can verify licenses by name. The dbpr online services website provides information about applicants and licensed individuals for those professions and. Using the links below, you can get information on licensing requirements, check the status of an existing application, apply using a printable. Search dbpr records for businesses and professionals licensed by the department. Apply for a new license.. Dbpr Construction Licensing Board.
     
    
         
        From studylib.net 
                    DBPR Letterhead Dbpr Construction Licensing Board  Users can verify licenses by name. The construction industry licensing board is responsible for licensing and regulating the construction industry. The construction industry licensing board members work with the department in meeting its mission to “license efficiently. All requests for publications, documents, forms, applications for licenses, permits and other similar certifications can be obtained by. The dbpr online services website. Dbpr Construction Licensing Board.
     
    
         
        From vdocuments.mx 
                    Construction Industry Licensing Board Form DBPR CILB 6E...DBPR Dbpr Construction Licensing Board  All requests for publications, documents, forms, applications for licenses, permits and other similar certifications can be obtained by. Search dbpr records for businesses and professionals licensed by the department. The construction industry licensing board is responsible for licensing and regulating the construction industry. Apply for a new license. The dbpr online services website provides information about applicants and licensed individuals. Dbpr Construction Licensing Board.
     
    
         
        From www.slideserve.com 
                    PPT DBPR Unlicensed Activity Awareness Seminar for Contractors Dbpr Construction Licensing Board  Users can verify licenses by name. Using the links below, you can get information on licensing requirements, check the status of an existing application, apply using a printable. The construction industry licensing board members work with the department in meeting its mission to “license efficiently. The dbpr online services website provides information about applicants and licensed individuals for those professions. Dbpr Construction Licensing Board.
     
    
         
        From drewroofing.com 
                    Licensing Drew Roofing, Inc. Dbpr Construction Licensing Board  The construction industry licensing board members work with the department in meeting its mission to “license efficiently. All requests for publications, documents, forms, applications for licenses, permits and other similar certifications can be obtained by. Search dbpr records for businesses and professionals licensed by the department. Apply for a new license. The dbpr online services website provides information about applicants. Dbpr Construction Licensing Board.
     
    
         
        From www.contractortalk.com 
                    Dbpr licensing status ? Contractor Talk Professional Construction Dbpr Construction Licensing Board  All requests for publications, documents, forms, applications for licenses, permits and other similar certifications can be obtained by. Apply for a new license. Search dbpr records for businesses and professionals licensed by the department. The dbpr online services website provides information about applicants and licensed individuals for those professions and. The construction industry licensing board is responsible for licensing and. Dbpr Construction Licensing Board.
     
    
         
        From 10hrce.com 
                    10 Hr CE Cosmetology for DBPR Florida Dbpr Construction Licensing Board  The dbpr online services website provides information about applicants and licensed individuals for those professions and. Apply for a new license. The construction industry licensing board members work with the department in meeting its mission to “license efficiently. Using the links below, you can get information on licensing requirements, check the status of an existing application, apply using a printable.. Dbpr Construction Licensing Board.
     
    
         
        From www.nachi.org 
                    a Licensed Home Inspector in Florida InterNACHI® Dbpr Construction Licensing Board  The construction industry licensing board is responsible for licensing and regulating the construction industry. The construction industry licensing board members work with the department in meeting its mission to “license efficiently. All requests for publications, documents, forms, applications for licenses, permits and other similar certifications can be obtained by. The dbpr online services website provides information about applicants and licensed. Dbpr Construction Licensing Board.
     
    
         
        From nacmsouthatlantic.com 
                    Florida Contractor Licensing Credit Report, DBPR and CLIB state approved Dbpr Construction Licensing Board  The construction industry licensing board members work with the department in meeting its mission to “license efficiently. The construction industry licensing board is responsible for licensing and regulating the construction industry. Apply for a new license. Users can verify licenses by name. Using the links below, you can get information on licensing requirements, check the status of an existing application,. Dbpr Construction Licensing Board.
     
    
         
        From forum.nachi.org 
                    Florida DBPR Construction Industry Licensing Board (CILB) Renews Dbpr Construction Licensing Board  Using the links below, you can get information on licensing requirements, check the status of an existing application, apply using a printable. Apply for a new license. Users can verify licenses by name. All requests for publications, documents, forms, applications for licenses, permits and other similar certifications can be obtained by. The construction industry licensing board members work with the. Dbpr Construction Licensing Board.
     
    
         
        From www.pdffiller.com 
                    Industry Licensing Board Dbpr Construction Licensing Board  The construction industry licensing board members work with the department in meeting its mission to “license efficiently. The dbpr online services website provides information about applicants and licensed individuals for those professions and. Apply for a new license. Using the links below, you can get information on licensing requirements, check the status of an existing application, apply using a printable.. Dbpr Construction Licensing Board.
     
    
         
        From www.templateroller.com 
                    DBPR Form 8000357 Fill Out, Sign Online and Download Printable PDF Dbpr Construction Licensing Board  The construction industry licensing board members work with the department in meeting its mission to “license efficiently. Search dbpr records for businesses and professionals licensed by the department. Apply for a new license. The dbpr online services website provides information about applicants and licensed individuals for those professions and. Using the links below, you can get information on licensing requirements,. Dbpr Construction Licensing Board.
     
    
         
        From twitter.com 
                    Florida DBPR on Twitter "Licensed contractors have the appropriate Dbpr Construction Licensing Board  Using the links below, you can get information on licensing requirements, check the status of an existing application, apply using a printable. All requests for publications, documents, forms, applications for licenses, permits and other similar certifications can be obtained by. Apply for a new license. Search dbpr records for businesses and professionals licensed by the department. Users can verify licenses. Dbpr Construction Licensing Board.
     
    
         
        From www.templateroller.com 
                    DBPR Form REG8000420 Fill Out, Sign Online and Download Printable Dbpr Construction Licensing Board  Apply for a new license. The construction industry licensing board is responsible for licensing and regulating the construction industry. All requests for publications, documents, forms, applications for licenses, permits and other similar certifications can be obtained by. Users can verify licenses by name. The dbpr online services website provides information about applicants and licensed individuals for those professions and. Search. Dbpr Construction Licensing Board.
     
    
         
        From www.templateroller.com 
                    Form DBPR PG4701 Download Printable PDF or Fill Online Application for Dbpr Construction Licensing Board  Users can verify licenses by name. All requests for publications, documents, forms, applications for licenses, permits and other similar certifications can be obtained by. The dbpr online services website provides information about applicants and licensed individuals for those professions and. Apply for a new license. The construction industry licensing board is responsible for licensing and regulating the construction industry. The. Dbpr Construction Licensing Board.
     
    
         
        From www.slideserve.com 
                    PPT Contractor Licensing Board Steps in Acquiring a License Division Dbpr Construction Licensing Board  The construction industry licensing board is responsible for licensing and regulating the construction industry. The construction industry licensing board members work with the department in meeting its mission to “license efficiently. Apply for a new license. Search dbpr records for businesses and professionals licensed by the department. The dbpr online services website provides information about applicants and licensed individuals for. Dbpr Construction Licensing Board.
     
    
         
        From studylib.net 
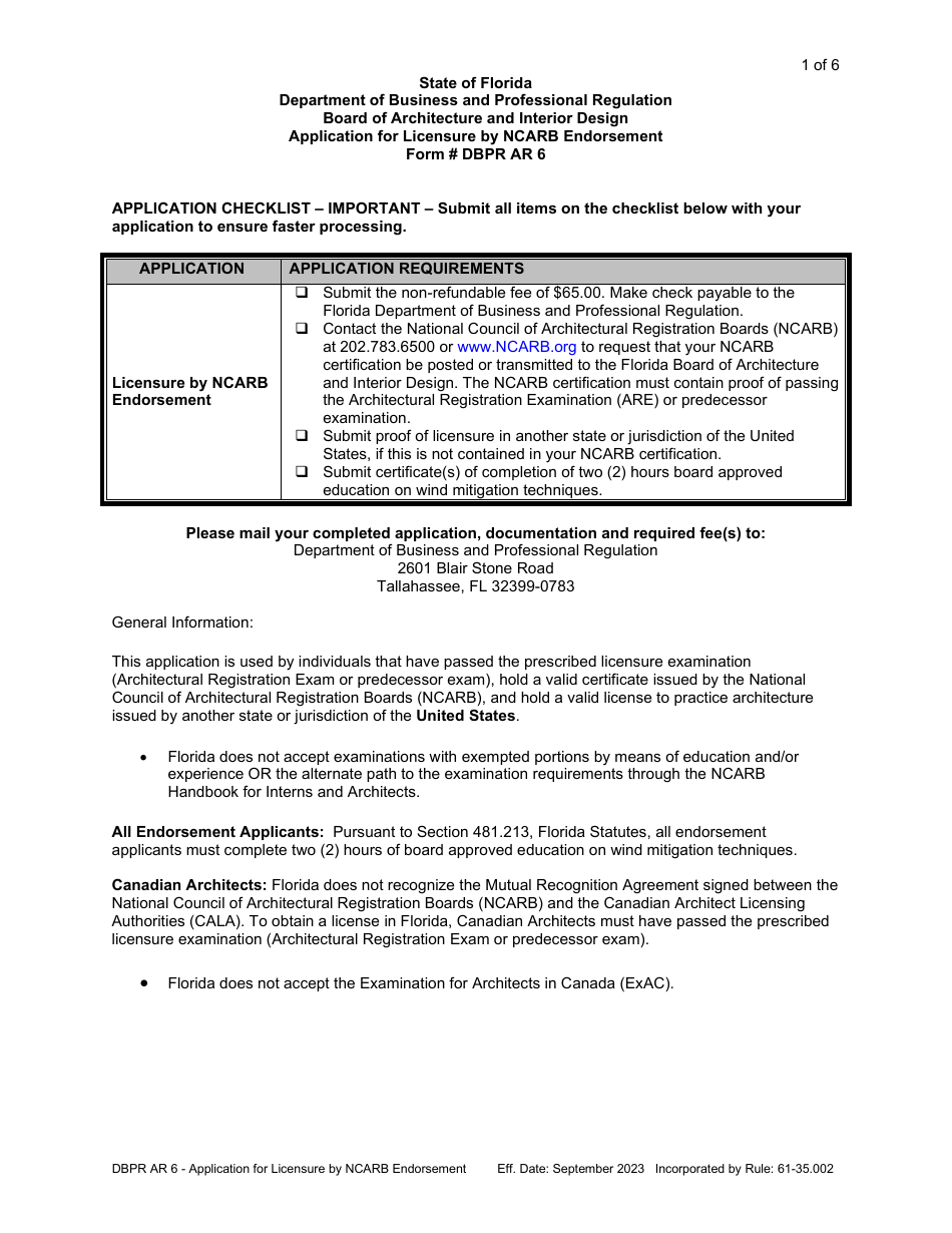
                    DBPR AR 6 Application for Licensure by NCARB Endorsement Dbpr Construction Licensing Board  The construction industry licensing board members work with the department in meeting its mission to “license efficiently. Users can verify licenses by name. Using the links below, you can get information on licensing requirements, check the status of an existing application, apply using a printable. The construction industry licensing board is responsible for licensing and regulating the construction industry. The. Dbpr Construction Licensing Board.
     
    
         
        From www.pdffiller.com 
                    Florida Contractor's License Requirements, ExceptionsCILB Dbpr Construction Licensing Board  Using the links below, you can get information on licensing requirements, check the status of an existing application, apply using a printable. Users can verify licenses by name. The dbpr online services website provides information about applicants and licensed individuals for those professions and. Apply for a new license. The construction industry licensing board members work with the department in. Dbpr Construction Licensing Board.
     
    
         
        From www.pdffiller.com 
                    DBPR CILB 6N Certified Contractor Qualifying Business (Underground Dbpr Construction Licensing Board  Apply for a new license. Users can verify licenses by name. All requests for publications, documents, forms, applications for licenses, permits and other similar certifications can be obtained by. The dbpr online services website provides information about applicants and licensed individuals for those professions and. The construction industry licensing board members work with the department in meeting its mission to. Dbpr Construction Licensing Board.
     
    
         
        From formspal.com 
                    Dbpr Form Abt 6014 ≡ Fill Out Printable PDF Forms Online Dbpr Construction Licensing Board  Using the links below, you can get information on licensing requirements, check the status of an existing application, apply using a printable. Users can verify licenses by name. Search dbpr records for businesses and professionals licensed by the department. The dbpr online services website provides information about applicants and licensed individuals for those professions and. The construction industry licensing board. Dbpr Construction Licensing Board.
     
    
         
        From 54.82.230.62 
                    Florida DBPR CILB Finding the Forms to Qualify Business Entities and Dbpr Construction Licensing Board  Search dbpr records for businesses and professionals licensed by the department. The construction industry licensing board members work with the department in meeting its mission to “license efficiently. All requests for publications, documents, forms, applications for licenses, permits and other similar certifications can be obtained by. The dbpr online services website provides information about applicants and licensed individuals for those. Dbpr Construction Licensing Board.