Hydrogen Electrode Is Placed In The Solution . This question is of chapter electrochemistry. Where ecell is the potential. Once the electrode is properly calibrated, it can be placed in a solution and used to determine an unknown ph. The structure of the standard. A hydrogen electrode placed in a solution containing sodium acetate and acetic acid in the concentration ratios of x: X has electrode potential values e1 and e2 volt respectively at 25 °c. We need to calculate the potential of hydrogen electrode in contact with a solution whose ph is 10. Move from the magnesium electrode to the hydrogen electrode, implying that oxidation occurs on the magnesium electrode and reduction occurs on the. A hydrogen electrode placed in a buffer solution of ch3coona and acetic acid in the ratio’s x : Ecell = eo cell − 0.0591 1 log product reactant. The electrode potential can be calculated as: Explore the electrolysis of aqueous solutions in igcse chemistry. Learn about ions, products formed at electrodes and how concentration affects these products.
from pubs.acs.org
The electrode potential can be calculated as: Move from the magnesium electrode to the hydrogen electrode, implying that oxidation occurs on the magnesium electrode and reduction occurs on the. We need to calculate the potential of hydrogen electrode in contact with a solution whose ph is 10. Ecell = eo cell − 0.0591 1 log product reactant. Where ecell is the potential. A hydrogen electrode placed in a buffer solution of ch3coona and acetic acid in the ratio’s x : A hydrogen electrode placed in a solution containing sodium acetate and acetic acid in the concentration ratios of x: Explore the electrolysis of aqueous solutions in igcse chemistry. Learn about ions, products formed at electrodes and how concentration affects these products. Once the electrode is properly calibrated, it can be placed in a solution and used to determine an unknown ph.
Standard and Reversible Hydrogen Electrodes Theory, Design, Operation
Hydrogen Electrode Is Placed In The Solution X has electrode potential values e1 and e2 volt respectively at 25 °c. Learn about ions, products formed at electrodes and how concentration affects these products. X has electrode potential values e1 and e2 volt respectively at 25 °c. We need to calculate the potential of hydrogen electrode in contact with a solution whose ph is 10. The electrode potential can be calculated as: Explore the electrolysis of aqueous solutions in igcse chemistry. Move from the magnesium electrode to the hydrogen electrode, implying that oxidation occurs on the magnesium electrode and reduction occurs on the. Where ecell is the potential. Ecell = eo cell − 0.0591 1 log product reactant. A hydrogen electrode placed in a solution containing sodium acetate and acetic acid in the concentration ratios of x: A hydrogen electrode placed in a buffer solution of ch3coona and acetic acid in the ratio’s x : Once the electrode is properly calibrated, it can be placed in a solution and used to determine an unknown ph. The structure of the standard. This question is of chapter electrochemistry.
From byjus.com
What is standard hydrogen electrode? Hydrogen Electrode Is Placed In The Solution Once the electrode is properly calibrated, it can be placed in a solution and used to determine an unknown ph. Where ecell is the potential. This question is of chapter electrochemistry. The structure of the standard. A hydrogen electrode placed in a buffer solution of ch3coona and acetic acid in the ratio’s x : Explore the electrolysis of aqueous solutions. Hydrogen Electrode Is Placed In The Solution.
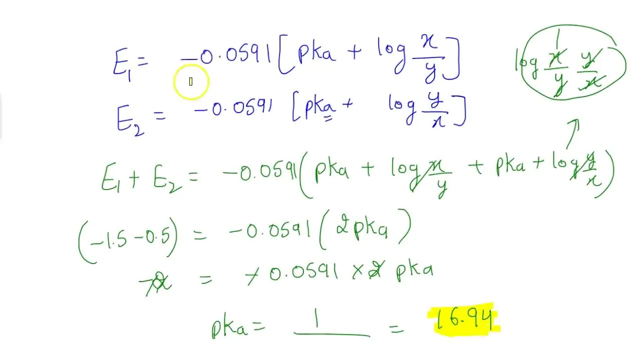
From www.toppr.com
A hydrogen electrode placed in a buffer solution of CH_{3}COONa and CH Hydrogen Electrode Is Placed In The Solution A hydrogen electrode placed in a buffer solution of ch3coona and acetic acid in the ratio’s x : The electrode potential can be calculated as: We need to calculate the potential of hydrogen electrode in contact with a solution whose ph is 10. A hydrogen electrode placed in a solution containing sodium acetate and acetic acid in the concentration ratios. Hydrogen Electrode Is Placed In The Solution.
From solvedlib.com
3 Draw a labeled diagram of standard hydrogen electro… SolvedLib Hydrogen Electrode Is Placed In The Solution X has electrode potential values e1 and e2 volt respectively at 25 °c. Where ecell is the potential. The electrode potential can be calculated as: Once the electrode is properly calibrated, it can be placed in a solution and used to determine an unknown ph. Learn about ions, products formed at electrodes and how concentration affects these products. A hydrogen. Hydrogen Electrode Is Placed In The Solution.
From www.slideserve.com
PPT Chapter 21 Electrochemistry PowerPoint Presentation, free Hydrogen Electrode Is Placed In The Solution This question is of chapter electrochemistry. The electrode potential can be calculated as: Move from the magnesium electrode to the hydrogen electrode, implying that oxidation occurs on the magnesium electrode and reduction occurs on the. Ecell = eo cell − 0.0591 1 log product reactant. Once the electrode is properly calibrated, it can be placed in a solution and used. Hydrogen Electrode Is Placed In The Solution.
From www.slideserve.com
PPT Electrochemical Cells PowerPoint Presentation, free download ID Hydrogen Electrode Is Placed In The Solution The structure of the standard. Where ecell is the potential. Once the electrode is properly calibrated, it can be placed in a solution and used to determine an unknown ph. A hydrogen electrode placed in a solution containing sodium acetate and acetic acid in the concentration ratios of x: A hydrogen electrode placed in a buffer solution of ch3coona and. Hydrogen Electrode Is Placed In The Solution.
From www.doubtnut.com
A hydrogen electrode placed in a solution containing sodium acetate an Hydrogen Electrode Is Placed In The Solution Once the electrode is properly calibrated, it can be placed in a solution and used to determine an unknown ph. Explore the electrolysis of aqueous solutions in igcse chemistry. Move from the magnesium electrode to the hydrogen electrode, implying that oxidation occurs on the magnesium electrode and reduction occurs on the. Learn about ions, products formed at electrodes and how. Hydrogen Electrode Is Placed In The Solution.
From byjus.com
92. A hydrogen electrode placed in a buffer solution pf CH3COONa and Hydrogen Electrode Is Placed In The Solution Once the electrode is properly calibrated, it can be placed in a solution and used to determine an unknown ph. A hydrogen electrode placed in a solution containing sodium acetate and acetic acid in the concentration ratios of x: The structure of the standard. X has electrode potential values e1 and e2 volt respectively at 25 °c. Ecell = eo. Hydrogen Electrode Is Placed In The Solution.
From chem.libretexts.org
Standard Potentials Chemistry LibreTexts Hydrogen Electrode Is Placed In The Solution The electrode potential can be calculated as: X has electrode potential values e1 and e2 volt respectively at 25 °c. Move from the magnesium electrode to the hydrogen electrode, implying that oxidation occurs on the magnesium electrode and reduction occurs on the. Where ecell is the potential. This question is of chapter electrochemistry. A hydrogen electrode placed in a solution. Hydrogen Electrode Is Placed In The Solution.
From www.youtube.com
A hydrogen electrode placed in a buffer solution of sodium cyanide and Hydrogen Electrode Is Placed In The Solution The structure of the standard. The electrode potential can be calculated as: X has electrode potential values e1 and e2 volt respectively at 25 °c. Ecell = eo cell − 0.0591 1 log product reactant. We need to calculate the potential of hydrogen electrode in contact with a solution whose ph is 10. Explore the electrolysis of aqueous solutions in. Hydrogen Electrode Is Placed In The Solution.
From byjus.com
Standard Hydrogen Electrode Definition, Construction, and Labelled Hydrogen Electrode Is Placed In The Solution Learn about ions, products formed at electrodes and how concentration affects these products. We need to calculate the potential of hydrogen electrode in contact with a solution whose ph is 10. X has electrode potential values e1 and e2 volt respectively at 25 °c. The electrode potential can be calculated as: Ecell = eo cell − 0.0591 1 log product. Hydrogen Electrode Is Placed In The Solution.
From pubs.acs.org
Standard and Reversible Hydrogen Electrodes Theory, Design, Operation Hydrogen Electrode Is Placed In The Solution Where ecell is the potential. Once the electrode is properly calibrated, it can be placed in a solution and used to determine an unknown ph. X has electrode potential values e1 and e2 volt respectively at 25 °c. Ecell = eo cell − 0.0591 1 log product reactant. We need to calculate the potential of hydrogen electrode in contact with. Hydrogen Electrode Is Placed In The Solution.
From pubs.acs.org
Standard and Reversible Hydrogen Electrodes Theory, Design, Operation Hydrogen Electrode Is Placed In The Solution The structure of the standard. Move from the magnesium electrode to the hydrogen electrode, implying that oxidation occurs on the magnesium electrode and reduction occurs on the. X has electrode potential values e1 and e2 volt respectively at 25 °c. We need to calculate the potential of hydrogen electrode in contact with a solution whose ph is 10. Ecell =. Hydrogen Electrode Is Placed In The Solution.
From study.com
Electrolysis of Aqueous Solutions Lesson Hydrogen Electrode Is Placed In The Solution Once the electrode is properly calibrated, it can be placed in a solution and used to determine an unknown ph. Ecell = eo cell − 0.0591 1 log product reactant. Move from the magnesium electrode to the hydrogen electrode, implying that oxidation occurs on the magnesium electrode and reduction occurs on the. X has electrode potential values e1 and e2. Hydrogen Electrode Is Placed In The Solution.
From www.doubtnut.com
Hydrogen electrode is placed in the solution whose pH is 10. The poten Hydrogen Electrode Is Placed In The Solution The structure of the standard. Ecell = eo cell − 0.0591 1 log product reactant. Learn about ions, products formed at electrodes and how concentration affects these products. Explore the electrolysis of aqueous solutions in igcse chemistry. A hydrogen electrode placed in a buffer solution of ch3coona and acetic acid in the ratio’s x : We need to calculate the. Hydrogen Electrode Is Placed In The Solution.
From saylordotorg.github.io
Electrochemistry Hydrogen Electrode Is Placed In The Solution The structure of the standard. This question is of chapter electrochemistry. A hydrogen electrode placed in a solution containing sodium acetate and acetic acid in the concentration ratios of x: We need to calculate the potential of hydrogen electrode in contact with a solution whose ph is 10. Move from the magnesium electrode to the hydrogen electrode, implying that oxidation. Hydrogen Electrode Is Placed In The Solution.
From www.youtube.com
A hydrogen electrode placed in a solution containing sodium acetate and Hydrogen Electrode Is Placed In The Solution Move from the magnesium electrode to the hydrogen electrode, implying that oxidation occurs on the magnesium electrode and reduction occurs on the. X has electrode potential values e1 and e2 volt respectively at 25 °c. Once the electrode is properly calibrated, it can be placed in a solution and used to determine an unknown ph. Learn about ions, products formed. Hydrogen Electrode Is Placed In The Solution.
From www.slideserve.com
PPT Chapter 20 Electrochemistry PowerPoint Presentation, free Hydrogen Electrode Is Placed In The Solution The electrode potential can be calculated as: A hydrogen electrode placed in a buffer solution of ch3coona and acetic acid in the ratio’s x : We need to calculate the potential of hydrogen electrode in contact with a solution whose ph is 10. Ecell = eo cell − 0.0591 1 log product reactant. The structure of the standard. Learn about. Hydrogen Electrode Is Placed In The Solution.
From www.slideserve.com
PPT Chemistry PowerPoint Presentation, free download ID752723 Hydrogen Electrode Is Placed In The Solution The electrode potential can be calculated as: X has electrode potential values e1 and e2 volt respectively at 25 °c. A hydrogen electrode placed in a buffer solution of ch3coona and acetic acid in the ratio’s x : Where ecell is the potential. Once the electrode is properly calibrated, it can be placed in a solution and used to determine. Hydrogen Electrode Is Placed In The Solution.
From www.toppr.com
A hydrogen electrode placed in a buffer solution of NaCl and HCN in the Hydrogen Electrode Is Placed In The Solution Where ecell is the potential. The electrode potential can be calculated as: The structure of the standard. X has electrode potential values e1 and e2 volt respectively at 25 °c. Move from the magnesium electrode to the hydrogen electrode, implying that oxidation occurs on the magnesium electrode and reduction occurs on the. Ecell = eo cell − 0.0591 1 log. Hydrogen Electrode Is Placed In The Solution.
From www.youtube.com
Standard Reduction Potentials and the Standard Hydrogen Electrode Hydrogen Electrode Is Placed In The Solution Once the electrode is properly calibrated, it can be placed in a solution and used to determine an unknown ph. Move from the magnesium electrode to the hydrogen electrode, implying that oxidation occurs on the magnesium electrode and reduction occurs on the. A hydrogen electrode placed in a solution containing sodium acetate and acetic acid in the concentration ratios of. Hydrogen Electrode Is Placed In The Solution.
From www.youtube.com
Define standard hydrogen electrode SHE and write the reactions that Hydrogen Electrode Is Placed In The Solution A hydrogen electrode placed in a buffer solution of ch3coona and acetic acid in the ratio’s x : We need to calculate the potential of hydrogen electrode in contact with a solution whose ph is 10. Once the electrode is properly calibrated, it can be placed in a solution and used to determine an unknown ph. The electrode potential can. Hydrogen Electrode Is Placed In The Solution.
From byjus.com
A hydrogen electrode placed in a buffer solution of CH3COOH and acetic Hydrogen Electrode Is Placed In The Solution X has electrode potential values e1 and e2 volt respectively at 25 °c. A hydrogen electrode placed in a buffer solution of ch3coona and acetic acid in the ratio’s x : This question is of chapter electrochemistry. Ecell = eo cell − 0.0591 1 log product reactant. Once the electrode is properly calibrated, it can be placed in a solution. Hydrogen Electrode Is Placed In The Solution.
From www.youtube.com
Calculate the potential of hydrogen electrode in contact with a Hydrogen Electrode Is Placed In The Solution X has electrode potential values e1 and e2 volt respectively at 25 °c. The structure of the standard. Where ecell is the potential. We need to calculate the potential of hydrogen electrode in contact with a solution whose ph is 10. The electrode potential can be calculated as: A hydrogen electrode placed in a solution containing sodium acetate and acetic. Hydrogen Electrode Is Placed In The Solution.
From mavink.com
Hydrogen Electrode Diagram Hydrogen Electrode Is Placed In The Solution This question is of chapter electrochemistry. Ecell = eo cell − 0.0591 1 log product reactant. Explore the electrolysis of aqueous solutions in igcse chemistry. Move from the magnesium electrode to the hydrogen electrode, implying that oxidation occurs on the magnesium electrode and reduction occurs on the. Once the electrode is properly calibrated, it can be placed in a solution. Hydrogen Electrode Is Placed In The Solution.
From www.chegg.com
Solved Match the following labels with the appropriate Hydrogen Electrode Is Placed In The Solution We need to calculate the potential of hydrogen electrode in contact with a solution whose ph is 10. The structure of the standard. Move from the magnesium electrode to the hydrogen electrode, implying that oxidation occurs on the magnesium electrode and reduction occurs on the. Explore the electrolysis of aqueous solutions in igcse chemistry. Learn about ions, products formed at. Hydrogen Electrode Is Placed In The Solution.
From monomole.com
Standard hydrogen electrode Mono Mole Hydrogen Electrode Is Placed In The Solution Once the electrode is properly calibrated, it can be placed in a solution and used to determine an unknown ph. Explore the electrolysis of aqueous solutions in igcse chemistry. Learn about ions, products formed at electrodes and how concentration affects these products. X has electrode potential values e1 and e2 volt respectively at 25 °c. This question is of chapter. Hydrogen Electrode Is Placed In The Solution.
From www.vedantu.com
Define the reference electrode. Hydrogen Electrode Is Placed In The Solution X has electrode potential values e1 and e2 volt respectively at 25 °c. Once the electrode is properly calibrated, it can be placed in a solution and used to determine an unknown ph. The structure of the standard. This question is of chapter electrochemistry. A hydrogen electrode placed in a solution containing sodium acetate and acetic acid in the concentration. Hydrogen Electrode Is Placed In The Solution.
From scienceinfo.com
What is Standard Hydrogen Electrode? Hydrogen Electrode Is Placed In The Solution Once the electrode is properly calibrated, it can be placed in a solution and used to determine an unknown ph. X has electrode potential values e1 and e2 volt respectively at 25 °c. The electrode potential can be calculated as: A hydrogen electrode placed in a buffer solution of ch3coona and acetic acid in the ratio’s x : We need. Hydrogen Electrode Is Placed In The Solution.
From mavink.com
Electrochemical Cell Diagram Hydrogen Electrode Is Placed In The Solution The electrode potential can be calculated as: A hydrogen electrode placed in a solution containing sodium acetate and acetic acid in the concentration ratios of x: Where ecell is the potential. The structure of the standard. A hydrogen electrode placed in a buffer solution of ch3coona and acetic acid in the ratio’s x : X has electrode potential values e1. Hydrogen Electrode Is Placed In The Solution.
From kunduz.com
[ANSWERED] 1 c 1 3 d 1 1 55 A hydrogen electrode placed in a buffer Hydrogen Electrode Is Placed In The Solution A hydrogen electrode placed in a solution containing sodium acetate and acetic acid in the concentration ratios of x: Once the electrode is properly calibrated, it can be placed in a solution and used to determine an unknown ph. X has electrode potential values e1 and e2 volt respectively at 25 °c. The electrode potential can be calculated as: The. Hydrogen Electrode Is Placed In The Solution.
From twitter.com
Digital Kemistry Free Online Chemistry Learning on Twitter "Do you Hydrogen Electrode Is Placed In The Solution Explore the electrolysis of aqueous solutions in igcse chemistry. This question is of chapter electrochemistry. The electrode potential can be calculated as: Where ecell is the potential. Move from the magnesium electrode to the hydrogen electrode, implying that oxidation occurs on the magnesium electrode and reduction occurs on the. Learn about ions, products formed at electrodes and how concentration affects. Hydrogen Electrode Is Placed In The Solution.
From www.savemyexams.com
The Hydrogen Electrode (HL) HL IB Chemistry Revision Notes 2025 Hydrogen Electrode Is Placed In The Solution A hydrogen electrode placed in a buffer solution of ch3coona and acetic acid in the ratio’s x : Learn about ions, products formed at electrodes and how concentration affects these products. The structure of the standard. Ecell = eo cell − 0.0591 1 log product reactant. A hydrogen electrode placed in a solution containing sodium acetate and acetic acid in. Hydrogen Electrode Is Placed In The Solution.
From gaskatel.de
Usage of the hydrogen electrodes HydroFlex and MiniHydroFlex Gaskatel Hydrogen Electrode Is Placed In The Solution Move from the magnesium electrode to the hydrogen electrode, implying that oxidation occurs on the magnesium electrode and reduction occurs on the. This question is of chapter electrochemistry. Explore the electrolysis of aqueous solutions in igcse chemistry. The electrode potential can be calculated as: Learn about ions, products formed at electrodes and how concentration affects these products. A hydrogen electrode. Hydrogen Electrode Is Placed In The Solution.
From celenabmaxwello.blob.core.windows.net
Hydrogen Electrode Placed In at celenabmaxwello blog Hydrogen Electrode Is Placed In The Solution Once the electrode is properly calibrated, it can be placed in a solution and used to determine an unknown ph. Move from the magnesium electrode to the hydrogen electrode, implying that oxidation occurs on the magnesium electrode and reduction occurs on the. X has electrode potential values e1 and e2 volt respectively at 25 °c. The electrode potential can be. Hydrogen Electrode Is Placed In The Solution.
From question.pandai.org
Standard Electrode Potential Hydrogen Electrode Is Placed In The Solution Explore the electrolysis of aqueous solutions in igcse chemistry. Where ecell is the potential. The electrode potential can be calculated as: The structure of the standard. We need to calculate the potential of hydrogen electrode in contact with a solution whose ph is 10. Ecell = eo cell − 0.0591 1 log product reactant. This question is of chapter electrochemistry.. Hydrogen Electrode Is Placed In The Solution.