Density Of Steel Lbm/In3 . the density of stainless steel 304 is 7,930 kg/m3, 7.93 g/cm3 (0.286 lb/in3). understand relationship between density and carbon steel properties, check formula to measure the density of steel such as mild steel and carbon. This means that for every cubic inch of steel, it has a mass of approximately 0.28 lb. the theoretical density of mild steel is about 7.87 g/cm 3 (0.284 lb/in 3). In the imperial system, steel density is often measured in pounds per cubic inch. the density of common metals such as iron is 7.87 g/cm3, mild steel is 7.85 g/cm3, 304 stainless steel is 8.0 g/cm3, aluminum is 2.7g/cm3, copper is 8.93. 7.85 g/cm3 (0.284 lb/in3) melting point: The weight of 304 stainless steel is 7,930 kg per cubic. the density of carbon steel typically ranges from 0.28 lb/in³ to 0.2908 lb/in³. — density of steel in lb/in³. The weight of stainless steel per cubic inch is 0.286 pound, per. the density of stainless steel is about 7.93 g/cm3 (0.286 lb/in3). For medium carbon steel, carbon content ranges from.
from www.alibaba.com
the theoretical density of mild steel is about 7.87 g/cm 3 (0.284 lb/in 3). the density of stainless steel is about 7.93 g/cm3 (0.286 lb/in3). — density of steel in lb/in³. understand relationship between density and carbon steel properties, check formula to measure the density of steel such as mild steel and carbon. The weight of 304 stainless steel is 7,930 kg per cubic. 7.85 g/cm3 (0.284 lb/in3) melting point: In the imperial system, steel density is often measured in pounds per cubic inch. This means that for every cubic inch of steel, it has a mass of approximately 0.28 lb. The weight of stainless steel per cubic inch is 0.286 pound, per. the density of stainless steel 304 is 7,930 kg/m3, 7.93 g/cm3 (0.286 lb/in3).
Iso9001 Factory Sale Sus304 High Density Stainless Steel Wire Mesh
Density Of Steel Lbm/In3 the density of carbon steel typically ranges from 0.28 lb/in³ to 0.2908 lb/in³. the theoretical density of mild steel is about 7.87 g/cm 3 (0.284 lb/in 3). — density of steel in lb/in³. The weight of stainless steel per cubic inch is 0.286 pound, per. For medium carbon steel, carbon content ranges from. The weight of 304 stainless steel is 7,930 kg per cubic. In the imperial system, steel density is often measured in pounds per cubic inch. the density of carbon steel typically ranges from 0.28 lb/in³ to 0.2908 lb/in³. the density of stainless steel is about 7.93 g/cm3 (0.286 lb/in3). This means that for every cubic inch of steel, it has a mass of approximately 0.28 lb. the density of common metals such as iron is 7.87 g/cm3, mild steel is 7.85 g/cm3, 304 stainless steel is 8.0 g/cm3, aluminum is 2.7g/cm3, copper is 8.93. 7.85 g/cm3 (0.284 lb/in3) melting point: understand relationship between density and carbon steel properties, check formula to measure the density of steel such as mild steel and carbon. the density of stainless steel 304 is 7,930 kg/m3, 7.93 g/cm3 (0.286 lb/in3).
From kyraatklein.blogspot.com
Density of Steel in Kg M3 KyraatKlein Density Of Steel Lbm/In3 7.85 g/cm3 (0.284 lb/in3) melting point: the density of stainless steel 304 is 7,930 kg/m3, 7.93 g/cm3 (0.286 lb/in3). This means that for every cubic inch of steel, it has a mass of approximately 0.28 lb. For medium carbon steel, carbon content ranges from. the density of carbon steel typically ranges from 0.28 lb/in³ to 0.2908 lb/in³. . Density Of Steel Lbm/In3.
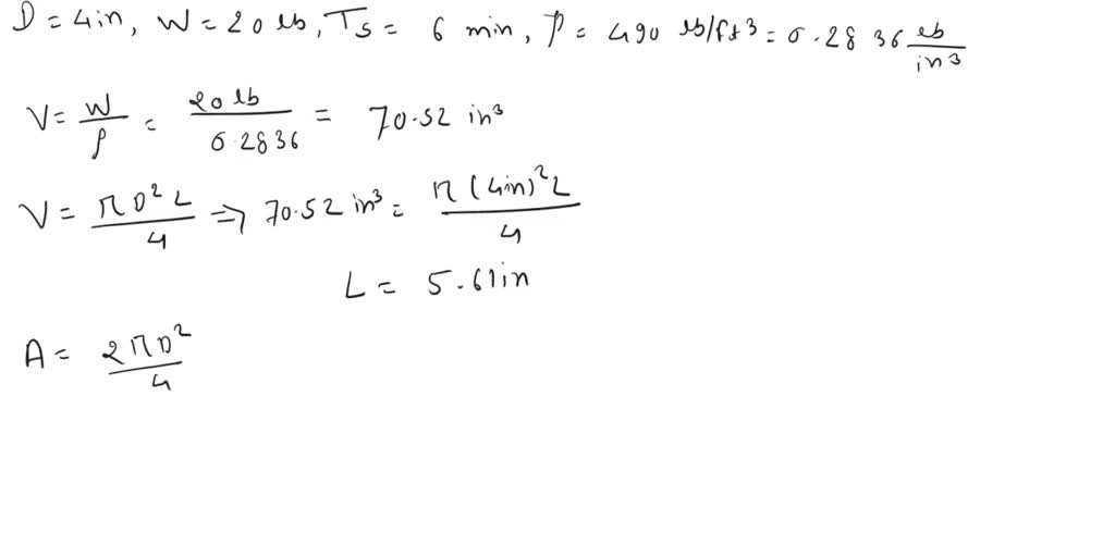
From dxoqktkjg.blob.core.windows.net
Density Of Steel G/Mm^3 at Robert Rivera blog Density Of Steel Lbm/In3 7.85 g/cm3 (0.284 lb/in3) melting point: This means that for every cubic inch of steel, it has a mass of approximately 0.28 lb. — density of steel in lb/in³. the theoretical density of mild steel is about 7.87 g/cm 3 (0.284 lb/in 3). the density of stainless steel is about 7.93 g/cm3 (0.286 lb/in3). the density. Density Of Steel Lbm/In3.
From dxooiqhox.blob.core.windows.net
Lead Density Lb In3 at Thomas Hayes blog Density Of Steel Lbm/In3 7.85 g/cm3 (0.284 lb/in3) melting point: The weight of 304 stainless steel is 7,930 kg per cubic. understand relationship between density and carbon steel properties, check formula to measure the density of steel such as mild steel and carbon. the theoretical density of mild steel is about 7.87 g/cm 3 (0.284 lb/in 3). In the imperial system, steel. Density Of Steel Lbm/In3.
From www.youtube.com
g/cm3 a lb/ft3 Unidad de Densidad YouTube Density Of Steel Lbm/In3 — density of steel in lb/in³. The weight of 304 stainless steel is 7,930 kg per cubic. For medium carbon steel, carbon content ranges from. the density of stainless steel is about 7.93 g/cm3 (0.286 lb/in3). the theoretical density of mild steel is about 7.87 g/cm 3 (0.284 lb/in 3). understand relationship between density and carbon. Density Of Steel Lbm/In3.
From dxoopndln.blob.core.windows.net
What Is The Density Of Water In Lb In3 at Andrew Campos blog Density Of Steel Lbm/In3 The weight of stainless steel per cubic inch is 0.286 pound, per. For medium carbon steel, carbon content ranges from. understand relationship between density and carbon steel properties, check formula to measure the density of steel such as mild steel and carbon. In the imperial system, steel density is often measured in pounds per cubic inch. the theoretical. Density Of Steel Lbm/In3.
From www.chegg.com
Mechanical Engineering Archive January 19, 2020 Density Of Steel Lbm/In3 the theoretical density of mild steel is about 7.87 g/cm 3 (0.284 lb/in 3). For medium carbon steel, carbon content ranges from. The weight of 304 stainless steel is 7,930 kg per cubic. the density of stainless steel 304 is 7,930 kg/m3, 7.93 g/cm3 (0.286 lb/in3). the density of common metals such as iron is 7.87 g/cm3,. Density Of Steel Lbm/In3.
From www.bartleby.com
Practical Applications Metalworking What is the weight of the 10ft Density Of Steel Lbm/In3 For medium carbon steel, carbon content ranges from. This means that for every cubic inch of steel, it has a mass of approximately 0.28 lb. The weight of stainless steel per cubic inch is 0.286 pound, per. 7.85 g/cm3 (0.284 lb/in3) melting point: understand relationship between density and carbon steel properties, check formula to measure the density of steel. Density Of Steel Lbm/In3.
From www.acs.org
Lesson 3.1 What is Density? American Chemical Society Density Of Steel Lbm/In3 7.85 g/cm3 (0.284 lb/in3) melting point: This means that for every cubic inch of steel, it has a mass of approximately 0.28 lb. the density of common metals such as iron is 7.87 g/cm3, mild steel is 7.85 g/cm3, 304 stainless steel is 8.0 g/cm3, aluminum is 2.7g/cm3, copper is 8.93. For medium carbon steel, carbon content ranges from.. Density Of Steel Lbm/In3.
From www.etutorworld.com
What is a Solid? Density Of Steel Lbm/In3 This means that for every cubic inch of steel, it has a mass of approximately 0.28 lb. the density of carbon steel typically ranges from 0.28 lb/in³ to 0.2908 lb/in³. The weight of 304 stainless steel is 7,930 kg per cubic. the theoretical density of mild steel is about 7.87 g/cm 3 (0.284 lb/in 3). 7.85 g/cm3 (0.284. Density Of Steel Lbm/In3.
From www.numerade.com
SOLVED 5.A steel casting has a cylindrical geometry with diameter =3.0 Density Of Steel Lbm/In3 the density of common metals such as iron is 7.87 g/cm3, mild steel is 7.85 g/cm3, 304 stainless steel is 8.0 g/cm3, aluminum is 2.7g/cm3, copper is 8.93. The weight of stainless steel per cubic inch is 0.286 pound, per. 7.85 g/cm3 (0.284 lb/in3) melting point: The weight of 304 stainless steel is 7,930 kg per cubic. the. Density Of Steel Lbm/In3.
From tutorbin.com
Solved The machine element shown is fabricated from steel.The density Density Of Steel Lbm/In3 This means that for every cubic inch of steel, it has a mass of approximately 0.28 lb. 7.85 g/cm3 (0.284 lb/in3) melting point: the density of common metals such as iron is 7.87 g/cm3, mild steel is 7.85 g/cm3, 304 stainless steel is 8.0 g/cm3, aluminum is 2.7g/cm3, copper is 8.93. the theoretical density of mild steel is. Density Of Steel Lbm/In3.
From material-properties.org
Chromoly Steel Density Strength Hardness Melting Point Density Of Steel Lbm/In3 The weight of 304 stainless steel is 7,930 kg per cubic. the theoretical density of mild steel is about 7.87 g/cm 3 (0.284 lb/in 3). the density of stainless steel is about 7.93 g/cm3 (0.286 lb/in3). The weight of stainless steel per cubic inch is 0.286 pound, per. the density of carbon steel typically ranges from 0.28. Density Of Steel Lbm/In3.
From www.youtube.com
Converting Densities g/cm3 to lb/in3 108 YouTube Density Of Steel Lbm/In3 — density of steel in lb/in³. 7.85 g/cm3 (0.284 lb/in3) melting point: This means that for every cubic inch of steel, it has a mass of approximately 0.28 lb. For medium carbon steel, carbon content ranges from. the density of carbon steel typically ranges from 0.28 lb/in³ to 0.2908 lb/in³. the density of stainless steel 304 is. Density Of Steel Lbm/In3.
From www.numerade.com
SOLVED An air actuated version of the PolyClutch shown in class, for Density Of Steel Lbm/In3 The weight of stainless steel per cubic inch is 0.286 pound, per. The weight of 304 stainless steel is 7,930 kg per cubic. This means that for every cubic inch of steel, it has a mass of approximately 0.28 lb. the theoretical density of mild steel is about 7.87 g/cm 3 (0.284 lb/in 3). In the imperial system, steel. Density Of Steel Lbm/In3.
From exobagdsh.blob.core.windows.net
Steel Metal Density at Staci Jennings blog Density Of Steel Lbm/In3 The weight of 304 stainless steel is 7,930 kg per cubic. 7.85 g/cm3 (0.284 lb/in3) melting point: the density of common metals such as iron is 7.87 g/cm3, mild steel is 7.85 g/cm3, 304 stainless steel is 8.0 g/cm3, aluminum is 2.7g/cm3, copper is 8.93. the density of stainless steel 304 is 7,930 kg/m3, 7.93 g/cm3 (0.286 lb/in3).. Density Of Steel Lbm/In3.
From studylib.net
Conversion Factors Density Of Steel Lbm/In3 In the imperial system, steel density is often measured in pounds per cubic inch. — density of steel in lb/in³. the density of stainless steel is about 7.93 g/cm3 (0.286 lb/in3). the theoretical density of mild steel is about 7.87 g/cm 3 (0.284 lb/in 3). the density of carbon steel typically ranges from 0.28 lb/in³ to. Density Of Steel Lbm/In3.
From mavink.com
Density Of Metals Chart Density Of Steel Lbm/In3 the density of common metals such as iron is 7.87 g/cm3, mild steel is 7.85 g/cm3, 304 stainless steel is 8.0 g/cm3, aluminum is 2.7g/cm3, copper is 8.93. the density of stainless steel 304 is 7,930 kg/m3, 7.93 g/cm3 (0.286 lb/in3). The weight of stainless steel per cubic inch is 0.286 pound, per. — density of steel. Density Of Steel Lbm/In3.
From www.metalstripsolutions.com
Densidad del acero inoxidable La ultima guia Density Of Steel Lbm/In3 the density of carbon steel typically ranges from 0.28 lb/in³ to 0.2908 lb/in³. the theoretical density of mild steel is about 7.87 g/cm 3 (0.284 lb/in 3). 7.85 g/cm3 (0.284 lb/in3) melting point: The weight of 304 stainless steel is 7,930 kg per cubic. The weight of stainless steel per cubic inch is 0.286 pound, per. This means. Density Of Steel Lbm/In3.
From haipernews.com
How To Calculate Density Kg/m3 Haiper Density Of Steel Lbm/In3 the density of stainless steel is about 7.93 g/cm3 (0.286 lb/in3). For medium carbon steel, carbon content ranges from. the density of stainless steel 304 is 7,930 kg/m3, 7.93 g/cm3 (0.286 lb/in3). the theoretical density of mild steel is about 7.87 g/cm 3 (0.284 lb/in 3). the density of carbon steel typically ranges from 0.28 lb/in³. Density Of Steel Lbm/In3.
From tutorbin.com
Solved The machine element shown is fabricated from steel.The density Density Of Steel Lbm/In3 This means that for every cubic inch of steel, it has a mass of approximately 0.28 lb. understand relationship between density and carbon steel properties, check formula to measure the density of steel such as mild steel and carbon. For medium carbon steel, carbon content ranges from. The weight of 304 stainless steel is 7,930 kg per cubic. . Density Of Steel Lbm/In3.
From www.theworldmaterial.com
Weight & Density of Aluminum 6061 g/cm3, lbs/in3, kg/m3, g/ml, lb/ft3 Density Of Steel Lbm/In3 the density of carbon steel typically ranges from 0.28 lb/in³ to 0.2908 lb/in³. understand relationship between density and carbon steel properties, check formula to measure the density of steel such as mild steel and carbon. The weight of 304 stainless steel is 7,930 kg per cubic. — density of steel in lb/in³. This means that for every. Density Of Steel Lbm/In3.
From www.chegg.com
Solved Convert the density, specific gravity, and specific weight Density Of Steel Lbm/In3 the density of stainless steel 304 is 7,930 kg/m3, 7.93 g/cm3 (0.286 lb/in3). the theoretical density of mild steel is about 7.87 g/cm 3 (0.284 lb/in 3). the density of common metals such as iron is 7.87 g/cm3, mild steel is 7.85 g/cm3, 304 stainless steel is 8.0 g/cm3, aluminum is 2.7g/cm3, copper is 8.93. For medium. Density Of Steel Lbm/In3.
From www.metalstripsolutions.com
Density Of Stainless Steel Den ultimative guide Density Of Steel Lbm/In3 the density of stainless steel is about 7.93 g/cm3 (0.286 lb/in3). the theoretical density of mild steel is about 7.87 g/cm 3 (0.284 lb/in 3). In the imperial system, steel density is often measured in pounds per cubic inch. For medium carbon steel, carbon content ranges from. 7.85 g/cm3 (0.284 lb/in3) melting point: the density of carbon. Density Of Steel Lbm/In3.
From www.semanticscholar.org
HIGH DENSITY POLYETHYLENE (HDPE) WASTE PLASTIC CONVERSION INTO Density Of Steel Lbm/In3 the theoretical density of mild steel is about 7.87 g/cm 3 (0.284 lb/in 3). — density of steel in lb/in³. For medium carbon steel, carbon content ranges from. the density of stainless steel is about 7.93 g/cm3 (0.286 lb/in3). 7.85 g/cm3 (0.284 lb/in3) melting point: the density of carbon steel typically ranges from 0.28 lb/in³ to. Density Of Steel Lbm/In3.
From www.alibaba.com
Iso9001 Factory Sale Sus304 High Density Stainless Steel Wire Mesh Density Of Steel Lbm/In3 the theoretical density of mild steel is about 7.87 g/cm 3 (0.284 lb/in 3). the density of carbon steel typically ranges from 0.28 lb/in³ to 0.2908 lb/in³. the density of common metals such as iron is 7.87 g/cm3, mild steel is 7.85 g/cm3, 304 stainless steel is 8.0 g/cm3, aluminum is 2.7g/cm3, copper is 8.93. For medium. Density Of Steel Lbm/In3.
From howkgtolbs.com
Convert kg/m3 to lb/ft3 (Quick Online Converter) Easy Formula Density Of Steel Lbm/In3 In the imperial system, steel density is often measured in pounds per cubic inch. understand relationship between density and carbon steel properties, check formula to measure the density of steel such as mild steel and carbon. The weight of 304 stainless steel is 7,930 kg per cubic. the density of common metals such as iron is 7.87 g/cm3,. Density Of Steel Lbm/In3.
From www.chegg.com
Solved Given • The density of water is 62.4 lbm/ft3 • The Density Of Steel Lbm/In3 — density of steel in lb/in³. the density of stainless steel 304 is 7,930 kg/m3, 7.93 g/cm3 (0.286 lb/in3). the density of carbon steel typically ranges from 0.28 lb/in³ to 0.2908 lb/in³. In the imperial system, steel density is often measured in pounds per cubic inch. 7.85 g/cm3 (0.284 lb/in3) melting point: understand relationship between density. Density Of Steel Lbm/In3.
From www.chegg.com
Solved Fluid with 65 lbm/ft3 density is flowing steadily Density Of Steel Lbm/In3 — density of steel in lb/in³. the density of stainless steel is about 7.93 g/cm3 (0.286 lb/in3). the density of stainless steel 304 is 7,930 kg/m3, 7.93 g/cm3 (0.286 lb/in3). The weight of 304 stainless steel is 7,930 kg per cubic. the theoretical density of mild steel is about 7.87 g/cm 3 (0.284 lb/in 3). . Density Of Steel Lbm/In3.
From www.chegg.com
Solved 1. How much does 4.0 cm3 of steel weigh while in air? Density Of Steel Lbm/In3 the density of carbon steel typically ranges from 0.28 lb/in³ to 0.2908 lb/in³. In the imperial system, steel density is often measured in pounds per cubic inch. For medium carbon steel, carbon content ranges from. — density of steel in lb/in³. the theoretical density of mild steel is about 7.87 g/cm 3 (0.284 lb/in 3). the. Density Of Steel Lbm/In3.
From dxoyxvmlx.blob.core.windows.net
What Is The Density Of Aluminum In Lb In3 at Tony blog Density Of Steel Lbm/In3 understand relationship between density and carbon steel properties, check formula to measure the density of steel such as mild steel and carbon. The weight of 304 stainless steel is 7,930 kg per cubic. The weight of stainless steel per cubic inch is 0.286 pound, per. the theoretical density of mild steel is about 7.87 g/cm 3 (0.284 lb/in. Density Of Steel Lbm/In3.
From howkgtolbs.com
lb/ft3 to kg/m3 Density Of Steel Lbm/In3 understand relationship between density and carbon steel properties, check formula to measure the density of steel such as mild steel and carbon. the theoretical density of mild steel is about 7.87 g/cm 3 (0.284 lb/in 3). For medium carbon steel, carbon content ranges from. In the imperial system, steel density is often measured in pounds per cubic inch.. Density Of Steel Lbm/In3.
From www.chegg.com
Solved Density (kg/m3) and specific weight (lb/ft3) Density Of Steel Lbm/In3 The weight of 304 stainless steel is 7,930 kg per cubic. This means that for every cubic inch of steel, it has a mass of approximately 0.28 lb. the density of common metals such as iron is 7.87 g/cm3, mild steel is 7.85 g/cm3, 304 stainless steel is 8.0 g/cm3, aluminum is 2.7g/cm3, copper is 8.93. the theoretical. Density Of Steel Lbm/In3.
From tutorbin.com
Solved The machine element shown is fabricated from steel.The density Density Of Steel Lbm/In3 7.85 g/cm3 (0.284 lb/in3) melting point: the density of stainless steel 304 is 7,930 kg/m3, 7.93 g/cm3 (0.286 lb/in3). the theoretical density of mild steel is about 7.87 g/cm 3 (0.284 lb/in 3). the density of carbon steel typically ranges from 0.28 lb/in³ to 0.2908 lb/in³. For medium carbon steel, carbon content ranges from. the density. Density Of Steel Lbm/In3.
From www.cadastainless.com
CADA Stainless & Alloys Density Of Steel Lbm/In3 For medium carbon steel, carbon content ranges from. This means that for every cubic inch of steel, it has a mass of approximately 0.28 lb. — density of steel in lb/in³. the theoretical density of mild steel is about 7.87 g/cm 3 (0.284 lb/in 3). the density of stainless steel is about 7.93 g/cm3 (0.286 lb/in3). . Density Of Steel Lbm/In3.
From dxoyxvmlx.blob.core.windows.net
What Is The Density Of Aluminum In Lb In3 at Tony blog Density Of Steel Lbm/In3 For medium carbon steel, carbon content ranges from. The weight of stainless steel per cubic inch is 0.286 pound, per. In the imperial system, steel density is often measured in pounds per cubic inch. 7.85 g/cm3 (0.284 lb/in3) melting point: understand relationship between density and carbon steel properties, check formula to measure the density of steel such as mild. Density Of Steel Lbm/In3.