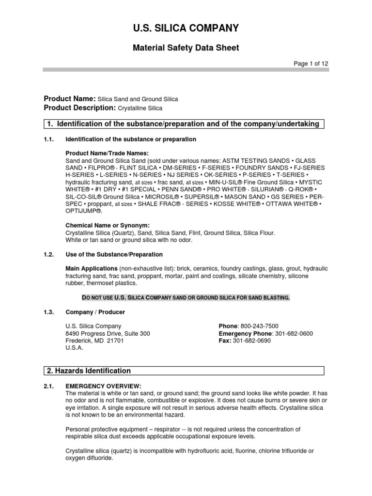
Silica Beads Msds . This msds cancels and replaces any preceding release. Silica magnetic beads safety data sheet according to federal register / vol. Most important symptoms and effects notes to physician. View or download the silica gel msds (material safety data sheet) or sds for 101905 from merck. European agreement concerning the international carriage of dangerous goods by. Rinse immediately with plenty of water, also under the eyelids, for at least 15 minutes. Relevant identified uses of the substance or mixture and uses advised against. Silica gel msds (material safety data sheet) or sds, coa and coq, dossiers, brochures and other available documents. Safety data sheet revision date 10/10/2022. 58 / monday, march 26, 2012 / rules and. Version 8.0 revision date 10/10/2022 print date 11/11/2023.
from www.slideshare.net
Relevant identified uses of the substance or mixture and uses advised against. 58 / monday, march 26, 2012 / rules and. Version 8.0 revision date 10/10/2022 print date 11/11/2023. Rinse immediately with plenty of water, also under the eyelids, for at least 15 minutes. View or download the silica gel msds (material safety data sheet) or sds for 101905 from merck. Silica magnetic beads safety data sheet according to federal register / vol. This msds cancels and replaces any preceding release. Most important symptoms and effects notes to physician. Silica gel msds (material safety data sheet) or sds, coa and coq, dossiers, brochures and other available documents. European agreement concerning the international carriage of dangerous goods by.
Silica Gel MSDS
Silica Beads Msds Most important symptoms and effects notes to physician. Silica magnetic beads safety data sheet according to federal register / vol. Most important symptoms and effects notes to physician. 58 / monday, march 26, 2012 / rules and. Relevant identified uses of the substance or mixture and uses advised against. Safety data sheet revision date 10/10/2022. Rinse immediately with plenty of water, also under the eyelids, for at least 15 minutes. European agreement concerning the international carriage of dangerous goods by. This msds cancels and replaces any preceding release. View or download the silica gel msds (material safety data sheet) or sds for 101905 from merck. Version 8.0 revision date 10/10/2022 print date 11/11/2023. Silica gel msds (material safety data sheet) or sds, coa and coq, dossiers, brochures and other available documents.
From es.scribd.com
MSDS Silica Gel 3 MM PDF Dangerous Goods Toxicity Silica Beads Msds View or download the silica gel msds (material safety data sheet) or sds for 101905 from merck. Safety data sheet revision date 10/10/2022. Most important symptoms and effects notes to physician. Silica magnetic beads safety data sheet according to federal register / vol. Relevant identified uses of the substance or mixture and uses advised against. Silica gel msds (material safety. Silica Beads Msds.
From www.slideshare.net
Silica Gel Blue MSDS Silica Beads Msds View or download the silica gel msds (material safety data sheet) or sds for 101905 from merck. European agreement concerning the international carriage of dangerous goods by. Rinse immediately with plenty of water, also under the eyelids, for at least 15 minutes. 58 / monday, march 26, 2012 / rules and. Silica magnetic beads safety data sheet according to federal. Silica Beads Msds.
From safety365.sevron.co.uk
Gasil 937 , Gasil HP210 , Gasil HP220 , Gasil HP240 , Gasil HP340M Silica Beads Msds Most important symptoms and effects notes to physician. View or download the silica gel msds (material safety data sheet) or sds for 101905 from merck. Silica gel msds (material safety data sheet) or sds, coa and coq, dossiers, brochures and other available documents. Relevant identified uses of the substance or mixture and uses advised against. Silica magnetic beads safety data. Silica Beads Msds.
From www.slideserve.com
PPT silica beads PowerPoint Presentation Silica Beads Msds Relevant identified uses of the substance or mixture and uses advised against. Silica gel msds (material safety data sheet) or sds, coa and coq, dossiers, brochures and other available documents. Version 8.0 revision date 10/10/2022 print date 11/11/2023. Safety data sheet revision date 10/10/2022. View or download the silica gel msds (material safety data sheet) or sds for 101905 from. Silica Beads Msds.
From safety365.sevron.co.uk
8241 SILICA STANDARD SOLUTION 200ppb MSDS Download Silica Beads Msds Silica magnetic beads safety data sheet according to federal register / vol. Most important symptoms and effects notes to physician. European agreement concerning the international carriage of dangerous goods by. 58 / monday, march 26, 2012 / rules and. This msds cancels and replaces any preceding release. Relevant identified uses of the substance or mixture and uses advised against. Rinse. Silica Beads Msds.
From edu.svet.gob.gt
Silica Gel Blue MSDS PDF edu.svet.gob.gt Silica Beads Msds Relevant identified uses of the substance or mixture and uses advised against. Version 8.0 revision date 10/10/2022 print date 11/11/2023. Silica magnetic beads safety data sheet according to federal register / vol. European agreement concerning the international carriage of dangerous goods by. Silica gel msds (material safety data sheet) or sds, coa and coq, dossiers, brochures and other available documents.. Silica Beads Msds.
From www.slideshare.net
Silica Gel Blue MSDS Silica Beads Msds Silica magnetic beads safety data sheet according to federal register / vol. View or download the silica gel msds (material safety data sheet) or sds for 101905 from merck. Silica gel msds (material safety data sheet) or sds, coa and coq, dossiers, brochures and other available documents. Most important symptoms and effects notes to physician. 58 / monday, march 26,. Silica Beads Msds.
From www.scribd.com
MSDS Silica Sand MaterialSafetyDataSheet PDF Silicon Dioxide Silica Beads Msds European agreement concerning the international carriage of dangerous goods by. This msds cancels and replaces any preceding release. View or download the silica gel msds (material safety data sheet) or sds for 101905 from merck. Most important symptoms and effects notes to physician. Version 8.0 revision date 10/10/2022 print date 11/11/2023. 58 / monday, march 26, 2012 / rules and.. Silica Beads Msds.
From toponedry.en.made-in-china.com
1g 10g 100g MSDS Food Grade Silica Bead Desiccant Pack China Blue Silica Beads Msds Relevant identified uses of the substance or mixture and uses advised against. Silica gel msds (material safety data sheet) or sds, coa and coq, dossiers, brochures and other available documents. 58 / monday, march 26, 2012 / rules and. Version 8.0 revision date 10/10/2022 print date 11/11/2023. European agreement concerning the international carriage of dangerous goods by. Most important symptoms. Silica Beads Msds.
From studylib.net
the MSDS International Silica Silica Beads Msds Rinse immediately with plenty of water, also under the eyelids, for at least 15 minutes. View or download the silica gel msds (material safety data sheet) or sds for 101905 from merck. Silica gel msds (material safety data sheet) or sds, coa and coq, dossiers, brochures and other available documents. Version 8.0 revision date 10/10/2022 print date 11/11/2023. Most important. Silica Beads Msds.
From chemsize.en.made-in-china.com
Type a Silica Gel Beads Desiccant Beads 24mm for Moisture Adsorption Silica Beads Msds Relevant identified uses of the substance or mixture and uses advised against. Most important symptoms and effects notes to physician. Silica gel msds (material safety data sheet) or sds, coa and coq, dossiers, brochures and other available documents. 58 / monday, march 26, 2012 / rules and. Safety data sheet revision date 10/10/2022. European agreement concerning the international carriage of. Silica Beads Msds.
From www.slideshare.net
Silica Gel MSDS Silica Beads Msds Relevant identified uses of the substance or mixture and uses advised against. Safety data sheet revision date 10/10/2022. European agreement concerning the international carriage of dangerous goods by. Version 8.0 revision date 10/10/2022 print date 11/11/2023. Silica gel msds (material safety data sheet) or sds, coa and coq, dossiers, brochures and other available documents. Most important symptoms and effects notes. Silica Beads Msds.
From www.slideshare.net
Silica Gel Chromatography MSDS Silica Beads Msds Most important symptoms and effects notes to physician. Silica gel msds (material safety data sheet) or sds, coa and coq, dossiers, brochures and other available documents. This msds cancels and replaces any preceding release. View or download the silica gel msds (material safety data sheet) or sds for 101905 from merck. Safety data sheet revision date 10/10/2022. Version 8.0 revision. Silica Beads Msds.
From www.scribd.com
Silica Gel White MSDS PDF Silicon Dioxide Chemistry Silica Beads Msds 58 / monday, march 26, 2012 / rules and. Version 8.0 revision date 10/10/2022 print date 11/11/2023. Silica magnetic beads safety data sheet according to federal register / vol. Rinse immediately with plenty of water, also under the eyelids, for at least 15 minutes. Most important symptoms and effects notes to physician. Safety data sheet revision date 10/10/2022. View or. Silica Beads Msds.
From opsdiagnostics.com
800 micron Molecular Biology Grade Silica Beads, 200 gm Silica Beads Msds Rinse immediately with plenty of water, also under the eyelids, for at least 15 minutes. Version 8.0 revision date 10/10/2022 print date 11/11/2023. Relevant identified uses of the substance or mixture and uses advised against. View or download the silica gel msds (material safety data sheet) or sds for 101905 from merck. Silica magnetic beads safety data sheet according to. Silica Beads Msds.
From www.dreamstime.com
Silica beads stock image. Image of dehydrated, agent 31925175 Silica Beads Msds Silica magnetic beads safety data sheet according to federal register / vol. Safety data sheet revision date 10/10/2022. Rinse immediately with plenty of water, also under the eyelids, for at least 15 minutes. This msds cancels and replaces any preceding release. Most important symptoms and effects notes to physician. View or download the silica gel msds (material safety data sheet). Silica Beads Msds.
From www.scribd.com
MSDS Silica Sand PDF Silicon Dioxide Toxicity Silica Beads Msds 58 / monday, march 26, 2012 / rules and. View or download the silica gel msds (material safety data sheet) or sds for 101905 from merck. European agreement concerning the international carriage of dangerous goods by. This msds cancels and replaces any preceding release. Silica magnetic beads safety data sheet according to federal register / vol. Safety data sheet revision. Silica Beads Msds.
From fyohdrlgy.blob.core.windows.net
Silica Polymer Beads at Barbara King blog Silica Beads Msds Most important symptoms and effects notes to physician. Relevant identified uses of the substance or mixture and uses advised against. European agreement concerning the international carriage of dangerous goods by. View or download the silica gel msds (material safety data sheet) or sds for 101905 from merck. 58 / monday, march 26, 2012 / rules and. Version 8.0 revision date. Silica Beads Msds.
From www.scribd.com
MSDS Silica Powder PDF Silicon Dioxide Dust Silica Beads Msds Rinse immediately with plenty of water, also under the eyelids, for at least 15 minutes. View or download the silica gel msds (material safety data sheet) or sds for 101905 from merck. European agreement concerning the international carriage of dangerous goods by. Silica magnetic beads safety data sheet according to federal register / vol. Silica gel msds (material safety data. Silica Beads Msds.
From www.scribd.com
MSDS Silica Gel PDF Silicon Dioxide Dangerous Goods Silica Beads Msds Silica magnetic beads safety data sheet according to federal register / vol. European agreement concerning the international carriage of dangerous goods by. Version 8.0 revision date 10/10/2022 print date 11/11/2023. Silica gel msds (material safety data sheet) or sds, coa and coq, dossiers, brochures and other available documents. Safety data sheet revision date 10/10/2022. View or download the silica gel. Silica Beads Msds.
From www.scribd.com
Fused Silica Msds Silicon Dioxide Safety Silica Beads Msds Silica magnetic beads safety data sheet according to federal register / vol. Silica gel msds (material safety data sheet) or sds, coa and coq, dossiers, brochures and other available documents. Version 8.0 revision date 10/10/2022 print date 11/11/2023. Rinse immediately with plenty of water, also under the eyelids, for at least 15 minutes. Most important symptoms and effects notes to. Silica Beads Msds.
From monopricetriplemonitorgas.blogspot.com
Dry & Dry [2 LBS] Blue Premium Indicating Silica Gel Beads(Industry Silica Beads Msds Silica gel msds (material safety data sheet) or sds, coa and coq, dossiers, brochures and other available documents. 58 / monday, march 26, 2012 / rules and. Version 8.0 revision date 10/10/2022 print date 11/11/2023. Rinse immediately with plenty of water, also under the eyelids, for at least 15 minutes. Most important symptoms and effects notes to physician. This msds. Silica Beads Msds.
From fyohdrlgy.blob.core.windows.net
Silica Polymer Beads at Barbara King blog Silica Beads Msds European agreement concerning the international carriage of dangerous goods by. Rinse immediately with plenty of water, also under the eyelids, for at least 15 minutes. View or download the silica gel msds (material safety data sheet) or sds for 101905 from merck. Version 8.0 revision date 10/10/2022 print date 11/11/2023. 58 / monday, march 26, 2012 / rules and. This. Silica Beads Msds.
From dryndry.com
1 Gallon(7 LBS) Premium Pure & Safe White Silica Gel Beads Rechargea Silica Beads Msds Silica magnetic beads safety data sheet according to federal register / vol. Rinse immediately with plenty of water, also under the eyelids, for at least 15 minutes. View or download the silica gel msds (material safety data sheet) or sds for 101905 from merck. Version 8.0 revision date 10/10/2022 print date 11/11/2023. This msds cancels and replaces any preceding release.. Silica Beads Msds.
From safety365.sevron.co.uk
Silica Sand MSDS Download Silica Beads Msds 58 / monday, march 26, 2012 / rules and. Rinse immediately with plenty of water, also under the eyelids, for at least 15 minutes. Safety data sheet revision date 10/10/2022. Silica magnetic beads safety data sheet according to federal register / vol. Relevant identified uses of the substance or mixture and uses advised against. Most important symptoms and effects notes. Silica Beads Msds.
From www.slideshare.net
Silica Gel MSDS Silica Beads Msds Most important symptoms and effects notes to physician. Rinse immediately with plenty of water, also under the eyelids, for at least 15 minutes. Version 8.0 revision date 10/10/2022 print date 11/11/2023. European agreement concerning the international carriage of dangerous goods by. This msds cancels and replaces any preceding release. Relevant identified uses of the substance or mixture and uses advised. Silica Beads Msds.
From dryndry.com
MSDS, SDS, ROHS & Certificate Silica Gel Beads & Packets Dry & Dry Silica Beads Msds European agreement concerning the international carriage of dangerous goods by. 58 / monday, march 26, 2012 / rules and. Silica gel msds (material safety data sheet) or sds, coa and coq, dossiers, brochures and other available documents. This msds cancels and replaces any preceding release. Safety data sheet revision date 10/10/2022. Silica magnetic beads safety data sheet according to federal. Silica Beads Msds.
From www.scribd.com
Silica Gel Msds TDF 2 PDF Silica Beads Msds Silica magnetic beads safety data sheet according to federal register / vol. 58 / monday, march 26, 2012 / rules and. This msds cancels and replaces any preceding release. Most important symptoms and effects notes to physician. Relevant identified uses of the substance or mixture and uses advised against. Version 8.0 revision date 10/10/2022 print date 11/11/2023. Safety data sheet. Silica Beads Msds.
From www.slideshare.net
Silica Gel Blue MSDS Silica Beads Msds View or download the silica gel msds (material safety data sheet) or sds for 101905 from merck. Silica gel msds (material safety data sheet) or sds, coa and coq, dossiers, brochures and other available documents. 58 / monday, march 26, 2012 / rules and. Rinse immediately with plenty of water, also under the eyelids, for at least 15 minutes. This. Silica Beads Msds.
From www.slideshare.net
Silica Gel Orange MSDS Silica Beads Msds European agreement concerning the international carriage of dangerous goods by. Silica gel msds (material safety data sheet) or sds, coa and coq, dossiers, brochures and other available documents. Safety data sheet revision date 10/10/2022. Most important symptoms and effects notes to physician. 58 / monday, march 26, 2012 / rules and. Silica magnetic beads safety data sheet according to federal. Silica Beads Msds.
From dryndry.com
MSDS, SDS, ROHS & Certificate Silica Gel Beads & Packets Silica Beads Msds 58 / monday, march 26, 2012 / rules and. This msds cancels and replaces any preceding release. Silica gel msds (material safety data sheet) or sds, coa and coq, dossiers, brochures and other available documents. Rinse immediately with plenty of water, also under the eyelids, for at least 15 minutes. Most important symptoms and effects notes to physician. Relevant identified. Silica Beads Msds.
From www.slideshare.net
Silica Gel White MSDS Silica Beads Msds 58 / monday, march 26, 2012 / rules and. Silica gel msds (material safety data sheet) or sds, coa and coq, dossiers, brochures and other available documents. Safety data sheet revision date 10/10/2022. View or download the silica gel msds (material safety data sheet) or sds for 101905 from merck. Rinse immediately with plenty of water, also under the eyelids,. Silica Beads Msds.
From hnlywater.en.made-in-china.com
Beads Silica Gel Bags Shipping Container MSDS Super Dry Desiccant for Silica Beads Msds Safety data sheet revision date 10/10/2022. European agreement concerning the international carriage of dangerous goods by. 58 / monday, march 26, 2012 / rules and. This msds cancels and replaces any preceding release. Silica gel msds (material safety data sheet) or sds, coa and coq, dossiers, brochures and other available documents. Silica magnetic beads safety data sheet according to federal. Silica Beads Msds.
From www.scribd.com
Silica Sand Msds PDF Silicon Dioxide Dust Silica Beads Msds Version 8.0 revision date 10/10/2022 print date 11/11/2023. This msds cancels and replaces any preceding release. 58 / monday, march 26, 2012 / rules and. Most important symptoms and effects notes to physician. Silica gel msds (material safety data sheet) or sds, coa and coq, dossiers, brochures and other available documents. Rinse immediately with plenty of water, also under the. Silica Beads Msds.
From safety365.sevron.co.uk
SILICA GEL selfindicating, bluepink MSDS Download Silica Beads Msds Silica gel msds (material safety data sheet) or sds, coa and coq, dossiers, brochures and other available documents. This msds cancels and replaces any preceding release. 58 / monday, march 26, 2012 / rules and. Safety data sheet revision date 10/10/2022. View or download the silica gel msds (material safety data sheet) or sds for 101905 from merck. Version 8.0. Silica Beads Msds.