What Happens To The Pressure Temperature And Volume Of Warm Air As It Rises . While it is correctly understood that warm air rises because it is lighter than cooler air, the density difference alone doesn’t explain why it rises. The volume of a gas is directly proportional to its absolute temperature when pressure remains constant. We find that temperature and pressure are linearly related, and if the temperature is on the kelvin scale, then p and t are directly proportional. Because the same amount of substance now occupies a greater volume, hot air is less dense than cold. To get some idea of how pressure, temperature, and volume of a gas are related to one another, consider what happens when you pump air into. Charles's law can be succinctly stated as follows: As we might expect, air changes temperature as it rises or sinks, largely in response to changes in air pressure and volume that accompany. The fundamental reason for this behavior is that gases expand when they are heated.
from www.acurite.com
Charles's law can be succinctly stated as follows: To get some idea of how pressure, temperature, and volume of a gas are related to one another, consider what happens when you pump air into. The volume of a gas is directly proportional to its absolute temperature when pressure remains constant. While it is correctly understood that warm air rises because it is lighter than cooler air, the density difference alone doesn’t explain why it rises. The fundamental reason for this behavior is that gases expand when they are heated. We find that temperature and pressure are linearly related, and if the temperature is on the kelvin scale, then p and t are directly proportional. As we might expect, air changes temperature as it rises or sinks, largely in response to changes in air pressure and volume that accompany. Because the same amount of substance now occupies a greater volume, hot air is less dense than cold.
Atmospheric Pressure AcuRite
What Happens To The Pressure Temperature And Volume Of Warm Air As It Rises The fundamental reason for this behavior is that gases expand when they are heated. We find that temperature and pressure are linearly related, and if the temperature is on the kelvin scale, then p and t are directly proportional. Because the same amount of substance now occupies a greater volume, hot air is less dense than cold. As we might expect, air changes temperature as it rises or sinks, largely in response to changes in air pressure and volume that accompany. While it is correctly understood that warm air rises because it is lighter than cooler air, the density difference alone doesn’t explain why it rises. The fundamental reason for this behavior is that gases expand when they are heated. The volume of a gas is directly proportional to its absolute temperature when pressure remains constant. Charles's law can be succinctly stated as follows: To get some idea of how pressure, temperature, and volume of a gas are related to one another, consider what happens when you pump air into.
From www.acurite.com
Atmospheric Pressure AcuRite What Happens To The Pressure Temperature And Volume Of Warm Air As It Rises The fundamental reason for this behavior is that gases expand when they are heated. Because the same amount of substance now occupies a greater volume, hot air is less dense than cold. To get some idea of how pressure, temperature, and volume of a gas are related to one another, consider what happens when you pump air into. While it. What Happens To The Pressure Temperature And Volume Of Warm Air As It Rises.
From tommyfersdouglas.blogspot.com
Relationship Between Pressure and Temperature What Happens To The Pressure Temperature And Volume Of Warm Air As It Rises The volume of a gas is directly proportional to its absolute temperature when pressure remains constant. While it is correctly understood that warm air rises because it is lighter than cooler air, the density difference alone doesn’t explain why it rises. As we might expect, air changes temperature as it rises or sinks, largely in response to changes in air. What Happens To The Pressure Temperature And Volume Of Warm Air As It Rises.
From www.numerade.com
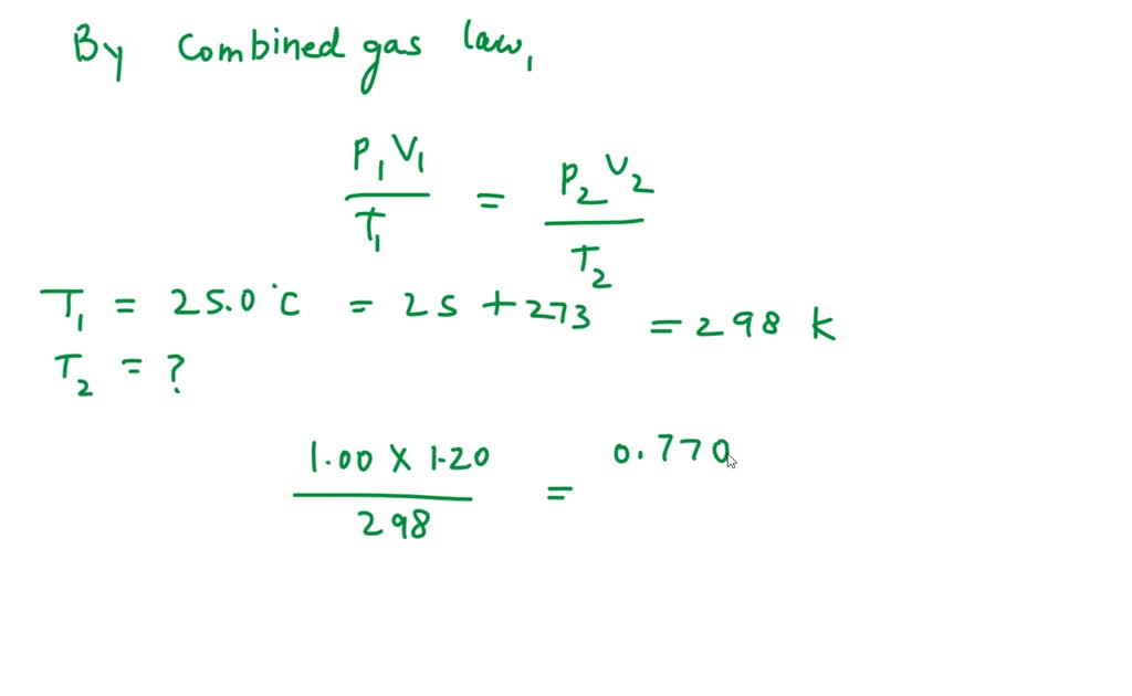
SOLVED A 1.20 L weather balloon on the ground has a temperature ofN What Happens To The Pressure Temperature And Volume Of Warm Air As It Rises Charles's law can be succinctly stated as follows: To get some idea of how pressure, temperature, and volume of a gas are related to one another, consider what happens when you pump air into. As we might expect, air changes temperature as it rises or sinks, largely in response to changes in air pressure and volume that accompany. The volume. What Happens To The Pressure Temperature And Volume Of Warm Air As It Rises.
From www.pinterest.co.uk
A mathematical derivation of the equations relating the pressure What Happens To The Pressure Temperature And Volume Of Warm Air As It Rises The volume of a gas is directly proportional to its absolute temperature when pressure remains constant. While it is correctly understood that warm air rises because it is lighter than cooler air, the density difference alone doesn’t explain why it rises. To get some idea of how pressure, temperature, and volume of a gas are related to one another, consider. What Happens To The Pressure Temperature And Volume Of Warm Air As It Rises.
From www.dreamstime.com
Boyle S Law Showing the Pressure and Volume Relationship Stock Vector What Happens To The Pressure Temperature And Volume Of Warm Air As It Rises While it is correctly understood that warm air rises because it is lighter than cooler air, the density difference alone doesn’t explain why it rises. The fundamental reason for this behavior is that gases expand when they are heated. As we might expect, air changes temperature as it rises or sinks, largely in response to changes in air pressure and. What Happens To The Pressure Temperature And Volume Of Warm Air As It Rises.
From byjus.com
The volume of an air bubble three times as it rises from the What Happens To The Pressure Temperature And Volume Of Warm Air As It Rises We find that temperature and pressure are linearly related, and if the temperature is on the kelvin scale, then p and t are directly proportional. The volume of a gas is directly proportional to its absolute temperature when pressure remains constant. Charles's law can be succinctly stated as follows: The fundamental reason for this behavior is that gases expand when. What Happens To The Pressure Temperature And Volume Of Warm Air As It Rises.
From www.britannica.com
Pressure Definition, Measurement, & Types Britannica What Happens To The Pressure Temperature And Volume Of Warm Air As It Rises As we might expect, air changes temperature as it rises or sinks, largely in response to changes in air pressure and volume that accompany. To get some idea of how pressure, temperature, and volume of a gas are related to one another, consider what happens when you pump air into. The fundamental reason for this behavior is that gases expand. What Happens To The Pressure Temperature And Volume Of Warm Air As It Rises.
From heathaven.blogspot.com
The relationship between pressure, temperature, and volume of an ideal gas. What Happens To The Pressure Temperature And Volume Of Warm Air As It Rises We find that temperature and pressure are linearly related, and if the temperature is on the kelvin scale, then p and t are directly proportional. The fundamental reason for this behavior is that gases expand when they are heated. As we might expect, air changes temperature as it rises or sinks, largely in response to changes in air pressure and. What Happens To The Pressure Temperature And Volume Of Warm Air As It Rises.
From engineerexcel.com
Pressure Temperature Graphs Explained EngineerExcel What Happens To The Pressure Temperature And Volume Of Warm Air As It Rises While it is correctly understood that warm air rises because it is lighter than cooler air, the density difference alone doesn’t explain why it rises. Charles's law can be succinctly stated as follows: We find that temperature and pressure are linearly related, and if the temperature is on the kelvin scale, then p and t are directly proportional. As we. What Happens To The Pressure Temperature And Volume Of Warm Air As It Rises.
From socratic.org
How do mountains affect temperature on both the windward side and the What Happens To The Pressure Temperature And Volume Of Warm Air As It Rises The fundamental reason for this behavior is that gases expand when they are heated. We find that temperature and pressure are linearly related, and if the temperature is on the kelvin scale, then p and t are directly proportional. While it is correctly understood that warm air rises because it is lighter than cooler air, the density difference alone doesn’t. What Happens To The Pressure Temperature And Volume Of Warm Air As It Rises.
From dereonmeowconway.blogspot.com
Molecular Weight of Air What Happens To The Pressure Temperature And Volume Of Warm Air As It Rises We find that temperature and pressure are linearly related, and if the temperature is on the kelvin scale, then p and t are directly proportional. Charles's law can be succinctly stated as follows: To get some idea of how pressure, temperature, and volume of a gas are related to one another, consider what happens when you pump air into. As. What Happens To The Pressure Temperature And Volume Of Warm Air As It Rises.
From wisc.pb.unizin.org
9.2 Relating Pressure, Volume, Amount, and Temperature The Ideal Gas What Happens To The Pressure Temperature And Volume Of Warm Air As It Rises As we might expect, air changes temperature as it rises or sinks, largely in response to changes in air pressure and volume that accompany. We find that temperature and pressure are linearly related, and if the temperature is on the kelvin scale, then p and t are directly proportional. The volume of a gas is directly proportional to its absolute. What Happens To The Pressure Temperature And Volume Of Warm Air As It Rises.
From www.youtube.com
Pressure, Volume and Temperature Relationships Chemistry Tutorial What Happens To The Pressure Temperature And Volume Of Warm Air As It Rises The fundamental reason for this behavior is that gases expand when they are heated. As we might expect, air changes temperature as it rises or sinks, largely in response to changes in air pressure and volume that accompany. Charles's law can be succinctly stated as follows: We find that temperature and pressure are linearly related, and if the temperature is. What Happens To The Pressure Temperature And Volume Of Warm Air As It Rises.
From aeromodelbasic.blogspot.com
model aircraft THE RELATIONS BETWEEN PRESSURE, VOLUME AND TEMPERATURE What Happens To The Pressure Temperature And Volume Of Warm Air As It Rises Because the same amount of substance now occupies a greater volume, hot air is less dense than cold. We find that temperature and pressure are linearly related, and if the temperature is on the kelvin scale, then p and t are directly proportional. The fundamental reason for this behavior is that gases expand when they are heated. As we might. What Happens To The Pressure Temperature And Volume Of Warm Air As It Rises.
From www.chegg.com
Solved Q2 The pressure in an automobile tire depends on the What Happens To The Pressure Temperature And Volume Of Warm Air As It Rises The fundamental reason for this behavior is that gases expand when they are heated. The volume of a gas is directly proportional to its absolute temperature when pressure remains constant. As we might expect, air changes temperature as it rises or sinks, largely in response to changes in air pressure and volume that accompany. Because the same amount of substance. What Happens To The Pressure Temperature And Volume Of Warm Air As It Rises.
From www.gauthmath.com
Solved Part III. GRAPH BALLSY A. Table 1 shows the data of pressure What Happens To The Pressure Temperature And Volume Of Warm Air As It Rises While it is correctly understood that warm air rises because it is lighter than cooler air, the density difference alone doesn’t explain why it rises. As we might expect, air changes temperature as it rises or sinks, largely in response to changes in air pressure and volume that accompany. We find that temperature and pressure are linearly related, and if. What Happens To The Pressure Temperature And Volume Of Warm Air As It Rises.
From chem.libretexts.org
6.3 Relationships among Pressure, Temperature, Volume, and Amount What Happens To The Pressure Temperature And Volume Of Warm Air As It Rises The fundamental reason for this behavior is that gases expand when they are heated. Because the same amount of substance now occupies a greater volume, hot air is less dense than cold. While it is correctly understood that warm air rises because it is lighter than cooler air, the density difference alone doesn’t explain why it rises. We find that. What Happens To The Pressure Temperature And Volume Of Warm Air As It Rises.
From doubtnut.com
The volumetemperature graphs of a given mass of an ideal gas at c What Happens To The Pressure Temperature And Volume Of Warm Air As It Rises We find that temperature and pressure are linearly related, and if the temperature is on the kelvin scale, then p and t are directly proportional. Because the same amount of substance now occupies a greater volume, hot air is less dense than cold. As we might expect, air changes temperature as it rises or sinks, largely in response to changes. What Happens To The Pressure Temperature And Volume Of Warm Air As It Rises.
From owlcation.com
The Theories and Behavior of Gas Owlcation What Happens To The Pressure Temperature And Volume Of Warm Air As It Rises Charles's law can be succinctly stated as follows: The fundamental reason for this behavior is that gases expand when they are heated. The volume of a gas is directly proportional to its absolute temperature when pressure remains constant. As we might expect, air changes temperature as it rises or sinks, largely in response to changes in air pressure and volume. What Happens To The Pressure Temperature And Volume Of Warm Air As It Rises.
From slidetodoc.com
The relationship between temperature and volume How Volume What Happens To The Pressure Temperature And Volume Of Warm Air As It Rises As we might expect, air changes temperature as it rises or sinks, largely in response to changes in air pressure and volume that accompany. The fundamental reason for this behavior is that gases expand when they are heated. The volume of a gas is directly proportional to its absolute temperature when pressure remains constant. Because the same amount of substance. What Happens To The Pressure Temperature And Volume Of Warm Air As It Rises.
From www.chegg.com
Solved 8.12 A balloon is filled with helium gas. When each What Happens To The Pressure Temperature And Volume Of Warm Air As It Rises We find that temperature and pressure are linearly related, and if the temperature is on the kelvin scale, then p and t are directly proportional. The volume of a gas is directly proportional to its absolute temperature when pressure remains constant. As we might expect, air changes temperature as it rises or sinks, largely in response to changes in air. What Happens To The Pressure Temperature And Volume Of Warm Air As It Rises.
From www.gauthmath.com
Solved Queston The graph below shows how the temperature and volume of What Happens To The Pressure Temperature And Volume Of Warm Air As It Rises Because the same amount of substance now occupies a greater volume, hot air is less dense than cold. The fundamental reason for this behavior is that gases expand when they are heated. As we might expect, air changes temperature as it rises or sinks, largely in response to changes in air pressure and volume that accompany. While it is correctly. What Happens To The Pressure Temperature And Volume Of Warm Air As It Rises.
From www.coursehero.com
[Solved] . The volume of a gas is doubled while the temperature is held What Happens To The Pressure Temperature And Volume Of Warm Air As It Rises Charles's law can be succinctly stated as follows: We find that temperature and pressure are linearly related, and if the temperature is on the kelvin scale, then p and t are directly proportional. The volume of a gas is directly proportional to its absolute temperature when pressure remains constant. To get some idea of how pressure, temperature, and volume of. What Happens To The Pressure Temperature And Volume Of Warm Air As It Rises.
From www.caee.utexas.edu
Density vs. Temperature What Happens To The Pressure Temperature And Volume Of Warm Air As It Rises We find that temperature and pressure are linearly related, and if the temperature is on the kelvin scale, then p and t are directly proportional. Because the same amount of substance now occupies a greater volume, hot air is less dense than cold. The volume of a gas is directly proportional to its absolute temperature when pressure remains constant. The. What Happens To The Pressure Temperature And Volume Of Warm Air As It Rises.
From saylordotorg.github.io
The Behavior of Real Gases What Happens To The Pressure Temperature And Volume Of Warm Air As It Rises Charles's law can be succinctly stated as follows: While it is correctly understood that warm air rises because it is lighter than cooler air, the density difference alone doesn’t explain why it rises. Because the same amount of substance now occupies a greater volume, hot air is less dense than cold. To get some idea of how pressure, temperature, and. What Happens To The Pressure Temperature And Volume Of Warm Air As It Rises.
From www.slideserve.com
PPT The Ideal Gas Equation PowerPoint Presentation, free download What Happens To The Pressure Temperature And Volume Of Warm Air As It Rises The fundamental reason for this behavior is that gases expand when they are heated. Because the same amount of substance now occupies a greater volume, hot air is less dense than cold. We find that temperature and pressure are linearly related, and if the temperature is on the kelvin scale, then p and t are directly proportional. As we might. What Happens To The Pressure Temperature And Volume Of Warm Air As It Rises.
From seattleballooning.com
How Hot Air Balloons Work? (It's Amazing) Seattle Ballooning What Happens To The Pressure Temperature And Volume Of Warm Air As It Rises As we might expect, air changes temperature as it rises or sinks, largely in response to changes in air pressure and volume that accompany. Charles's law can be succinctly stated as follows: We find that temperature and pressure are linearly related, and if the temperature is on the kelvin scale, then p and t are directly proportional. The fundamental reason. What Happens To The Pressure Temperature And Volume Of Warm Air As It Rises.
From alevelphysicsnotes.com
Mr Toogood Physics The Experimental gas laws What Happens To The Pressure Temperature And Volume Of Warm Air As It Rises The volume of a gas is directly proportional to its absolute temperature when pressure remains constant. We find that temperature and pressure are linearly related, and if the temperature is on the kelvin scale, then p and t are directly proportional. As we might expect, air changes temperature as it rises or sinks, largely in response to changes in air. What Happens To The Pressure Temperature And Volume Of Warm Air As It Rises.
From www.engineeringtoolbox.com
Fans Volume Flow, Pressure Head and Power Consumption vs. Air What Happens To The Pressure Temperature And Volume Of Warm Air As It Rises We find that temperature and pressure are linearly related, and if the temperature is on the kelvin scale, then p and t are directly proportional. Charles's law can be succinctly stated as follows: The fundamental reason for this behavior is that gases expand when they are heated. While it is correctly understood that warm air rises because it is lighter. What Happens To The Pressure Temperature And Volume Of Warm Air As It Rises.
From socratic.org
A sample of a gas has a volume of 2.0 liters at a pressure of 1.0 What Happens To The Pressure Temperature And Volume Of Warm Air As It Rises As we might expect, air changes temperature as it rises or sinks, largely in response to changes in air pressure and volume that accompany. To get some idea of how pressure, temperature, and volume of a gas are related to one another, consider what happens when you pump air into. While it is correctly understood that warm air rises because. What Happens To The Pressure Temperature And Volume Of Warm Air As It Rises.
From www.youtube.com
Constant Pressure Heating of a gas YouTube What Happens To The Pressure Temperature And Volume Of Warm Air As It Rises Because the same amount of substance now occupies a greater volume, hot air is less dense than cold. The fundamental reason for this behavior is that gases expand when they are heated. To get some idea of how pressure, temperature, and volume of a gas are related to one another, consider what happens when you pump air into. The volume. What Happens To The Pressure Temperature And Volume Of Warm Air As It Rises.
From masterconceptsinchemistry.com
What’s the relationship between pressure and volume of gas? Core What Happens To The Pressure Temperature And Volume Of Warm Air As It Rises Charles's law can be succinctly stated as follows: We find that temperature and pressure are linearly related, and if the temperature is on the kelvin scale, then p and t are directly proportional. While it is correctly understood that warm air rises because it is lighter than cooler air, the density difference alone doesn’t explain why it rises. As we. What Happens To The Pressure Temperature And Volume Of Warm Air As It Rises.
From slidetodoc.com
Air Pressure and Wind Pressure Volume Temperature If What Happens To The Pressure Temperature And Volume Of Warm Air As It Rises The volume of a gas is directly proportional to its absolute temperature when pressure remains constant. The fundamental reason for this behavior is that gases expand when they are heated. We find that temperature and pressure are linearly related, and if the temperature is on the kelvin scale, then p and t are directly proportional. Charles's law can be succinctly. What Happens To The Pressure Temperature And Volume Of Warm Air As It Rises.
From www.nesscopressure.com.au
What is air pressure? Nessco Pressure Systems What Happens To The Pressure Temperature And Volume Of Warm Air As It Rises To get some idea of how pressure, temperature, and volume of a gas are related to one another, consider what happens when you pump air into. Because the same amount of substance now occupies a greater volume, hot air is less dense than cold. The volume of a gas is directly proportional to its absolute temperature when pressure remains constant.. What Happens To The Pressure Temperature And Volume Of Warm Air As It Rises.
From www.youtube.com
1.4.6 Solve problems involving temperature, pressure and volume for an What Happens To The Pressure Temperature And Volume Of Warm Air As It Rises To get some idea of how pressure, temperature, and volume of a gas are related to one another, consider what happens when you pump air into. We find that temperature and pressure are linearly related, and if the temperature is on the kelvin scale, then p and t are directly proportional. While it is correctly understood that warm air rises. What Happens To The Pressure Temperature And Volume Of Warm Air As It Rises.