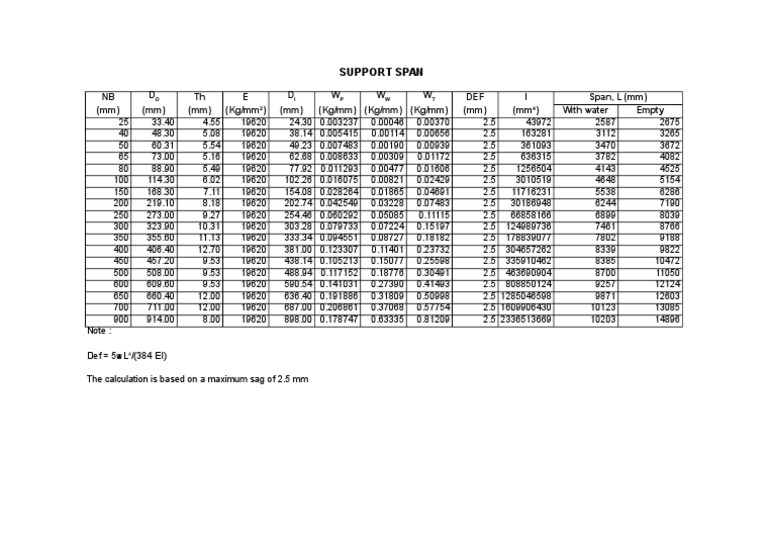
Pipe Support Span Calculation . * spans limited by stress (all others limited by deflection). A properly designed pipe support span helps the piping design personnel to support pipes at regular spacings, thus reducing his work for. The allowable pipe span calculator is an indispensable tool for engineers and technicians in the construction and maintenance of pipeline systems. Pipe span calculation (by piya k.) (formulation refer from pipe stress handbook in si unit) Let us calculate the maximum support span for transporting water through a seamless stainless steel pipe (astm a 312 tp 316 l) of 300 nps through a distance of This pipe support spacing calculation was developed based upon equations contained in section 6.2 of pipe stress engineering. Allowable spans are based on a maximum bending. + pipe walls require reinforcing at point of support.
from www.ter-en.com
Allowable spans are based on a maximum bending. Pipe span calculation (by piya k.) (formulation refer from pipe stress handbook in si unit) Let us calculate the maximum support span for transporting water through a seamless stainless steel pipe (astm a 312 tp 316 l) of 300 nps through a distance of This pipe support spacing calculation was developed based upon equations contained in section 6.2 of pipe stress engineering. + pipe walls require reinforcing at point of support. * spans limited by stress (all others limited by deflection). A properly designed pipe support span helps the piping design personnel to support pipes at regular spacings, thus reducing his work for. The allowable pipe span calculator is an indispensable tool for engineers and technicians in the construction and maintenance of pipeline systems.
Pipe span calculation
Pipe Support Span Calculation A properly designed pipe support span helps the piping design personnel to support pipes at regular spacings, thus reducing his work for. + pipe walls require reinforcing at point of support. Pipe span calculation (by piya k.) (formulation refer from pipe stress handbook in si unit) This pipe support spacing calculation was developed based upon equations contained in section 6.2 of pipe stress engineering. Allowable spans are based on a maximum bending. A properly designed pipe support span helps the piping design personnel to support pipes at regular spacings, thus reducing his work for. The allowable pipe span calculator is an indispensable tool for engineers and technicians in the construction and maintenance of pipeline systems. * spans limited by stress (all others limited by deflection). Let us calculate the maximum support span for transporting water through a seamless stainless steel pipe (astm a 312 tp 316 l) of 300 nps through a distance of
From www.pipingoffice.com
About Piping Calculators by Piping Office Pipe Support Span Calculation Allowable spans are based on a maximum bending. * spans limited by stress (all others limited by deflection). Let us calculate the maximum support span for transporting water through a seamless stainless steel pipe (astm a 312 tp 316 l) of 300 nps through a distance of The allowable pipe span calculator is an indispensable tool for engineers and technicians. Pipe Support Span Calculation.
From www.vrogue.co
Pipe Support Span Pipe Support Spacing Charttable Pdf vrogue.co Pipe Support Span Calculation + pipe walls require reinforcing at point of support. * spans limited by stress (all others limited by deflection). This pipe support spacing calculation was developed based upon equations contained in section 6.2 of pipe stress engineering. Pipe span calculation (by piya k.) (formulation refer from pipe stress handbook in si unit) A properly designed pipe support span helps the. Pipe Support Span Calculation.
From www.vrogue.co
Pipe Support Span Pipe Support Spacing Charttable Pdf vrogue.co Pipe Support Span Calculation A properly designed pipe support span helps the piping design personnel to support pipes at regular spacings, thus reducing his work for. The allowable pipe span calculator is an indispensable tool for engineers and technicians in the construction and maintenance of pipeline systems. + pipe walls require reinforcing at point of support. This pipe support spacing calculation was developed based. Pipe Support Span Calculation.
From www.svlele.com
Pipe Supports Pipe Support Span Calculation Allowable spans are based on a maximum bending. Let us calculate the maximum support span for transporting water through a seamless stainless steel pipe (astm a 312 tp 316 l) of 300 nps through a distance of A properly designed pipe support span helps the piping design personnel to support pipes at regular spacings, thus reducing his work for. +. Pipe Support Span Calculation.
From www.vrogue.co
Pipe Support Span Pipe Support Spacing Charttable Pdf vrogue.co Pipe Support Span Calculation * spans limited by stress (all others limited by deflection). Let us calculate the maximum support span for transporting water through a seamless stainless steel pipe (astm a 312 tp 316 l) of 300 nps through a distance of This pipe support spacing calculation was developed based upon equations contained in section 6.2 of pipe stress engineering. + pipe walls. Pipe Support Span Calculation.
From www.linkedin.com
Pipesupport spacing calculation using ASME B31.1, B31.3, B31.4, B31.5 Pipe Support Span Calculation + pipe walls require reinforcing at point of support. * spans limited by stress (all others limited by deflection). This pipe support spacing calculation was developed based upon equations contained in section 6.2 of pipe stress engineering. Allowable spans are based on a maximum bending. A properly designed pipe support span helps the piping design personnel to support pipes at. Pipe Support Span Calculation.
From www.scribd.com
Pipe Support Span Calculation PDF Pipe (Fluid Conveyance) Stress Pipe Support Span Calculation * spans limited by stress (all others limited by deflection). + pipe walls require reinforcing at point of support. A properly designed pipe support span helps the piping design personnel to support pipes at regular spacings, thus reducing his work for. Pipe span calculation (by piya k.) (formulation refer from pipe stress handbook in si unit) This pipe support spacing. Pipe Support Span Calculation.
From www.ter-en.com
Pipe span calculation Pipe Support Span Calculation The allowable pipe span calculator is an indispensable tool for engineers and technicians in the construction and maintenance of pipeline systems. Pipe span calculation (by piya k.) (formulation refer from pipe stress handbook in si unit) This pipe support spacing calculation was developed based upon equations contained in section 6.2 of pipe stress engineering. Let us calculate the maximum support. Pipe Support Span Calculation.
From www.vrogue.co
Pipe Support Span Pipe Support Spacing Charttable Pdf vrogue.co Pipe Support Span Calculation + pipe walls require reinforcing at point of support. * spans limited by stress (all others limited by deflection). The allowable pipe span calculator is an indispensable tool for engineers and technicians in the construction and maintenance of pipeline systems. A properly designed pipe support span helps the piping design personnel to support pipes at regular spacings, thus reducing his. Pipe Support Span Calculation.
From www.scribd.com
Bab 10 Pipe Span Calculation Pipe Support Span Calculation A properly designed pipe support span helps the piping design personnel to support pipes at regular spacings, thus reducing his work for. + pipe walls require reinforcing at point of support. * spans limited by stress (all others limited by deflection). Let us calculate the maximum support span for transporting water through a seamless stainless steel pipe (astm a 312. Pipe Support Span Calculation.
From es.scribd.com
Calculation of Pipe Support Beam (Structure) Bending Pipe Support Span Calculation This pipe support spacing calculation was developed based upon equations contained in section 6.2 of pipe stress engineering. The allowable pipe span calculator is an indispensable tool for engineers and technicians in the construction and maintenance of pipeline systems. Allowable spans are based on a maximum bending. * spans limited by stress (all others limited by deflection). Pipe span calculation. Pipe Support Span Calculation.
From adamtodd.z13.web.core.windows.net
Piping Support Spacing Chart Pipe Support Span Calculation Let us calculate the maximum support span for transporting water through a seamless stainless steel pipe (astm a 312 tp 316 l) of 300 nps through a distance of Allowable spans are based on a maximum bending. * spans limited by stress (all others limited by deflection). This pipe support spacing calculation was developed based upon equations contained in section. Pipe Support Span Calculation.
From pipingengineerworld.com
What are piping supports ? Piping engineer world Pipe Support Span Calculation Pipe span calculation (by piya k.) (formulation refer from pipe stress handbook in si unit) The allowable pipe span calculator is an indispensable tool for engineers and technicians in the construction and maintenance of pipeline systems. Allowable spans are based on a maximum bending. * spans limited by stress (all others limited by deflection). Let us calculate the maximum support. Pipe Support Span Calculation.
From studylib.net
pipe span chart Pipe Support Span Calculation Let us calculate the maximum support span for transporting water through a seamless stainless steel pipe (astm a 312 tp 316 l) of 300 nps through a distance of Pipe span calculation (by piya k.) (formulation refer from pipe stress handbook in si unit) This pipe support spacing calculation was developed based upon equations contained in section 6.2 of pipe. Pipe Support Span Calculation.
From www.inertance.com
Pipe calculator, support span length for pulsation INERTANCE Pipe Support Span Calculation This pipe support spacing calculation was developed based upon equations contained in section 6.2 of pipe stress engineering. The allowable pipe span calculator is an indispensable tool for engineers and technicians in the construction and maintenance of pipeline systems. Pipe span calculation (by piya k.) (formulation refer from pipe stress handbook in si unit) Let us calculate the maximum support. Pipe Support Span Calculation.
From www.vrogue.co
Allowable Pipe Span Chart Vrogue Co vrogue.co Pipe Support Span Calculation This pipe support spacing calculation was developed based upon equations contained in section 6.2 of pipe stress engineering. Pipe span calculation (by piya k.) (formulation refer from pipe stress handbook in si unit) + pipe walls require reinforcing at point of support. Let us calculate the maximum support span for transporting water through a seamless stainless steel pipe (astm a. Pipe Support Span Calculation.
From www.scribd.com
Pipe Support Span Calculation PDF Pipe Support Span Calculation + pipe walls require reinforcing at point of support. This pipe support spacing calculation was developed based upon equations contained in section 6.2 of pipe stress engineering. Allowable spans are based on a maximum bending. Let us calculate the maximum support span for transporting water through a seamless stainless steel pipe (astm a 312 tp 316 l) of 300 nps. Pipe Support Span Calculation.
From www.vrogue.co
Pipe Support Span Pipe Support Spacing Charttable Pdf vrogue.co Pipe Support Span Calculation + pipe walls require reinforcing at point of support. * spans limited by stress (all others limited by deflection). Pipe span calculation (by piya k.) (formulation refer from pipe stress handbook in si unit) This pipe support spacing calculation was developed based upon equations contained in section 6.2 of pipe stress engineering. Allowable spans are based on a maximum bending.. Pipe Support Span Calculation.
From worksheetfullmuench.z13.web.core.windows.net
Pipe Support Spacing Chart Pipe Support Span Calculation Let us calculate the maximum support span for transporting water through a seamless stainless steel pipe (astm a 312 tp 316 l) of 300 nps through a distance of This pipe support spacing calculation was developed based upon equations contained in section 6.2 of pipe stress engineering. Pipe span calculation (by piya k.) (formulation refer from pipe stress handbook in. Pipe Support Span Calculation.
From lessonmorris.z21.web.core.windows.net
Pipe Support Spacing Chart Pipe Support Span Calculation A properly designed pipe support span helps the piping design personnel to support pipes at regular spacings, thus reducing his work for. Let us calculate the maximum support span for transporting water through a seamless stainless steel pipe (astm a 312 tp 316 l) of 300 nps through a distance of This pipe support spacing calculation was developed based upon. Pipe Support Span Calculation.
From www.vrogue.co
Pipe Support Span Pipe Support Spacing Charttable Pdf vrogue.co Pipe Support Span Calculation Let us calculate the maximum support span for transporting water through a seamless stainless steel pipe (astm a 312 tp 316 l) of 300 nps through a distance of + pipe walls require reinforcing at point of support. * spans limited by stress (all others limited by deflection). Pipe span calculation (by piya k.) (formulation refer from pipe stress handbook. Pipe Support Span Calculation.
From leaamonterrey.blogspot.com
maximum pipe span chart Pipe Support Span Calculation + pipe walls require reinforcing at point of support. Allowable spans are based on a maximum bending. A properly designed pipe support span helps the piping design personnel to support pipes at regular spacings, thus reducing his work for. Let us calculate the maximum support span for transporting water through a seamless stainless steel pipe (astm a 312 tp 316. Pipe Support Span Calculation.
From www.scribd.com
Pipe Support Spans Bending Pipe (Fluid Conveyance) Pipe Support Span Calculation Allowable spans are based on a maximum bending. This pipe support spacing calculation was developed based upon equations contained in section 6.2 of pipe stress engineering. + pipe walls require reinforcing at point of support. A properly designed pipe support span helps the piping design personnel to support pipes at regular spacings, thus reducing his work for. Let us calculate. Pipe Support Span Calculation.
From www.youtube.com
Pipe Supports and Restraints Pipe Support Span Calculation YouTube Pipe Support Span Calculation Let us calculate the maximum support span for transporting water through a seamless stainless steel pipe (astm a 312 tp 316 l) of 300 nps through a distance of Allowable spans are based on a maximum bending. Pipe span calculation (by piya k.) (formulation refer from pipe stress handbook in si unit) This pipe support spacing calculation was developed based. Pipe Support Span Calculation.
From www.growmechanical.com
Piping Support Types, Purpose, Design, PDF Grow Mechanical Pipe Support Span Calculation The allowable pipe span calculator is an indispensable tool for engineers and technicians in the construction and maintenance of pipeline systems. * spans limited by stress (all others limited by deflection). Let us calculate the maximum support span for transporting water through a seamless stainless steel pipe (astm a 312 tp 316 l) of 300 nps through a distance of. Pipe Support Span Calculation.
From www.scribd.com
Pipe Support Span Chart PDF Pipe (Fluid Conveyance) Building Pipe Support Span Calculation The allowable pipe span calculator is an indispensable tool for engineers and technicians in the construction and maintenance of pipeline systems. * spans limited by stress (all others limited by deflection). A properly designed pipe support span helps the piping design personnel to support pipes at regular spacings, thus reducing his work for. This pipe support spacing calculation was developed. Pipe Support Span Calculation.
From kieragibson.z21.web.core.windows.net
Pvc Pipe Support Spacing Pipe Support Span Calculation This pipe support spacing calculation was developed based upon equations contained in section 6.2 of pipe stress engineering. The allowable pipe span calculator is an indispensable tool for engineers and technicians in the construction and maintenance of pipeline systems. Allowable spans are based on a maximum bending. Pipe span calculation (by piya k.) (formulation refer from pipe stress handbook in. Pipe Support Span Calculation.
From mungfali.com
Pipe Support Span Chart Pipe Support Span Calculation This pipe support spacing calculation was developed based upon equations contained in section 6.2 of pipe stress engineering. Let us calculate the maximum support span for transporting water through a seamless stainless steel pipe (astm a 312 tp 316 l) of 300 nps through a distance of * spans limited by stress (all others limited by deflection). Allowable spans are. Pipe Support Span Calculation.
From www.youtube.com
ASME B31.3 CALCULATION PIPE SUPPORT SPAN YouTube Pipe Support Span Calculation Pipe span calculation (by piya k.) (formulation refer from pipe stress handbook in si unit) Allowable spans are based on a maximum bending. The allowable pipe span calculator is an indispensable tool for engineers and technicians in the construction and maintenance of pipeline systems. + pipe walls require reinforcing at point of support. This pipe support spacing calculation was developed. Pipe Support Span Calculation.
From www.scribd.com
Pipe Span Calculation Pipe Support Span Calculation Pipe span calculation (by piya k.) (formulation refer from pipe stress handbook in si unit) The allowable pipe span calculator is an indispensable tool for engineers and technicians in the construction and maintenance of pipeline systems. This pipe support spacing calculation was developed based upon equations contained in section 6.2 of pipe stress engineering. Let us calculate the maximum support. Pipe Support Span Calculation.
From hardhatengineer.com
What is Pipe Support Span? Pipe Support Span Calculation Pipe span calculation (by piya k.) (formulation refer from pipe stress handbook in si unit) + pipe walls require reinforcing at point of support. Allowable spans are based on a maximum bending. A properly designed pipe support span helps the piping design personnel to support pipes at regular spacings, thus reducing his work for. * spans limited by stress (all. Pipe Support Span Calculation.
From www.vrogue.co
Pipe Support Span Pipe Support Spacing Charttable Pdf vrogue.co Pipe Support Span Calculation * spans limited by stress (all others limited by deflection). The allowable pipe span calculator is an indispensable tool for engineers and technicians in the construction and maintenance of pipeline systems. Allowable spans are based on a maximum bending. Pipe span calculation (by piya k.) (formulation refer from pipe stress handbook in si unit) + pipe walls require reinforcing at. Pipe Support Span Calculation.
From www.youtube.com
PIPE SPACING CALCULATION IN PIPING DESIGN YouTube Pipe Support Span Calculation Let us calculate the maximum support span for transporting water through a seamless stainless steel pipe (astm a 312 tp 316 l) of 300 nps through a distance of + pipe walls require reinforcing at point of support. A properly designed pipe support span helps the piping design personnel to support pipes at regular spacings, thus reducing his work for.. Pipe Support Span Calculation.
From www.scribd.com
Pipe Span Chart Pipe (Fluid Conveyance) Chemical Engineering Pipe Support Span Calculation * spans limited by stress (all others limited by deflection). A properly designed pipe support span helps the piping design personnel to support pipes at regular spacings, thus reducing his work for. Let us calculate the maximum support span for transporting water through a seamless stainless steel pipe (astm a 312 tp 316 l) of 300 nps through a distance. Pipe Support Span Calculation.
From blog.epcland.com
Quiz on Pipe Support Spans? A Comprehensive Guide II 7 MCQs with Pipe Support Span Calculation * spans limited by stress (all others limited by deflection). A properly designed pipe support span helps the piping design personnel to support pipes at regular spacings, thus reducing his work for. Let us calculate the maximum support span for transporting water through a seamless stainless steel pipe (astm a 312 tp 316 l) of 300 nps through a distance. Pipe Support Span Calculation.