Solve Triangle With 3 Sides . This triangle calculator lets you solve a triangle. It calculates the missing measurements of a triangle if you know any one side and any two. Three sides a, b, c, and three angles (α, β, γ). Each triangle has six main characteristics: A triangle has six parts, three sides and three angles. Area of a triangle calculator. Please provide the three sides of the triangle. The calculator solves the triangle specified by three of its properties. Given almost any three of them—three sides, two sides and an angle, or one side and two angles—you can. Learn how to find the missing angles of a triangle when you know three sides using the law of cosines and the law of sines. Triangle calculator and solver calculates all triangle properties from three sides. Use this law of cosines calculator to determine the third side of a triangle knowing two sides and the angle between them or to find the angles given all three sides.
from www.wikihow.com
Triangle calculator and solver calculates all triangle properties from three sides. Three sides a, b, c, and three angles (α, β, γ). Given almost any three of them—three sides, two sides and an angle, or one side and two angles—you can. Please provide the three sides of the triangle. Each triangle has six main characteristics: The calculator solves the triangle specified by three of its properties. It calculates the missing measurements of a triangle if you know any one side and any two. A triangle has six parts, three sides and three angles. Area of a triangle calculator. This triangle calculator lets you solve a triangle.
How to Construct a Triangle when Its Three Sides Are Given (SSS Criterion)
Solve Triangle With 3 Sides Three sides a, b, c, and three angles (α, β, γ). The calculator solves the triangle specified by three of its properties. Triangle calculator and solver calculates all triangle properties from three sides. Learn how to find the missing angles of a triangle when you know three sides using the law of cosines and the law of sines. It calculates the missing measurements of a triangle if you know any one side and any two. Area of a triangle calculator. A triangle has six parts, three sides and three angles. Use this law of cosines calculator to determine the third side of a triangle knowing two sides and the angle between them or to find the angles given all three sides. Three sides a, b, c, and three angles (α, β, γ). Please provide the three sides of the triangle. This triangle calculator lets you solve a triangle. Each triangle has six main characteristics: Given almost any three of them—three sides, two sides and an angle, or one side and two angles—you can.
From www.varsitytutors.com
Solve a Triangle in Which 3 Sides Are Given (SSS) Precalculus Solve Triangle With 3 Sides Learn how to find the missing angles of a triangle when you know three sides using the law of cosines and the law of sines. A triangle has six parts, three sides and three angles. The calculator solves the triangle specified by three of its properties. It calculates the missing measurements of a triangle if you know any one side. Solve Triangle With 3 Sides.
From owlcation.com
How to Calculate the Sides and Angles of Triangles Using Pythagoras Solve Triangle With 3 Sides Each triangle has six main characteristics: Learn how to find the missing angles of a triangle when you know three sides using the law of cosines and the law of sines. A triangle has six parts, three sides and three angles. Three sides a, b, c, and three angles (α, β, γ). Triangle calculator and solver calculates all triangle properties. Solve Triangle With 3 Sides.
From www.wikihow.com
How to Construct a Triangle when Its Three Sides Are Given (SSS Criterion) Solve Triangle With 3 Sides This triangle calculator lets you solve a triangle. Area of a triangle calculator. A triangle has six parts, three sides and three angles. Given almost any three of them—three sides, two sides and an angle, or one side and two angles—you can. Each triangle has six main characteristics: Use this law of cosines calculator to determine the third side of. Solve Triangle With 3 Sides.
From owlcation.com
How to Calculate the Sides and Angles of Triangles Using Pythagoras Solve Triangle With 3 Sides Given almost any three of them—three sides, two sides and an angle, or one side and two angles—you can. Each triangle has six main characteristics: Three sides a, b, c, and three angles (α, β, γ). Use this law of cosines calculator to determine the third side of a triangle knowing two sides and the angle between them or to. Solve Triangle With 3 Sides.
From owlcation.com
How to Calculate the Sides and Angles of Triangles Owlcation Solve Triangle With 3 Sides This triangle calculator lets you solve a triangle. The calculator solves the triangle specified by three of its properties. Learn how to find the missing angles of a triangle when you know three sides using the law of cosines and the law of sines. A triangle has six parts, three sides and three angles. Three sides a, b, c, and. Solve Triangle With 3 Sides.
From www.numerade.com
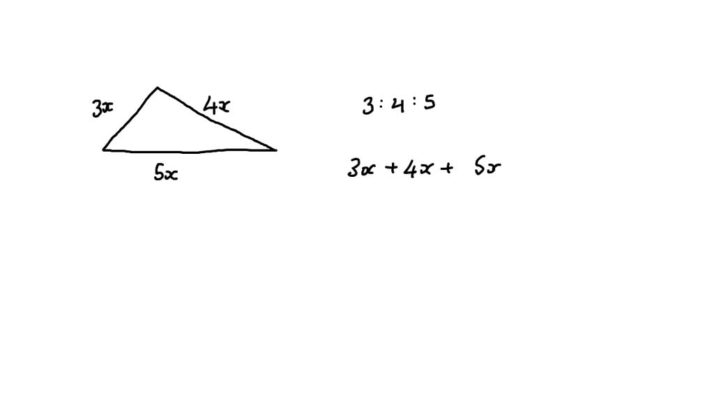
SOLVED three sides of a triangle are in the ratio of 345. if the Solve Triangle With 3 Sides Learn how to find the missing angles of a triangle when you know three sides using the law of cosines and the law of sines. A triangle has six parts, three sides and three angles. The calculator solves the triangle specified by three of its properties. This triangle calculator lets you solve a triangle. Please provide the three sides of. Solve Triangle With 3 Sides.
From www.youtube.com
Solving for a Side in a Right Triangle with Trigonometry YouTube Solve Triangle With 3 Sides Learn how to find the missing angles of a triangle when you know three sides using the law of cosines and the law of sines. Each triangle has six main characteristics: Three sides a, b, c, and three angles (α, β, γ). This triangle calculator lets you solve a triangle. A triangle has six parts, three sides and three angles.. Solve Triangle With 3 Sides.
From owlcation.com
How to Calculate the Sides and Angles of Triangles Using Pythagoras Solve Triangle With 3 Sides Learn how to find the missing angles of a triangle when you know three sides using the law of cosines and the law of sines. A triangle has six parts, three sides and three angles. The calculator solves the triangle specified by three of its properties. Use this law of cosines calculator to determine the third side of a triangle. Solve Triangle With 3 Sides.
From www.youtube.com
Solving Right Triangles How to Find Sides and Angles of a Right Solve Triangle With 3 Sides Learn how to find the missing angles of a triangle when you know three sides using the law of cosines and the law of sines. Area of a triangle calculator. Given almost any three of them—three sides, two sides and an angle, or one side and two angles—you can. Use this law of cosines calculator to determine the third side. Solve Triangle With 3 Sides.
From www.youtube.com
Solving triangles with special angles YouTube Solve Triangle With 3 Sides A triangle has six parts, three sides and three angles. It calculates the missing measurements of a triangle if you know any one side and any two. Each triangle has six main characteristics: Given almost any three of them—three sides, two sides and an angle, or one side and two angles—you can. Three sides a, b, c, and three angles. Solve Triangle With 3 Sides.
From jamesleary.blogspot.com
How To Find The Value Of X In A Triangle Sides Calculator James Leary Solve Triangle With 3 Sides Each triangle has six main characteristics: It calculates the missing measurements of a triangle if you know any one side and any two. Three sides a, b, c, and three angles (α, β, γ). Use this law of cosines calculator to determine the third side of a triangle knowing two sides and the angle between them or to find the. Solve Triangle With 3 Sides.
From ghcimpm2d.weebly.com
6. Solve Right Triangles Harvey C. I.Grade 10 Academic Solve Triangle With 3 Sides It calculates the missing measurements of a triangle if you know any one side and any two. Learn how to find the missing angles of a triangle when you know three sides using the law of cosines and the law of sines. The calculator solves the triangle specified by three of its properties. Area of a triangle calculator. This triangle. Solve Triangle With 3 Sides.
From www.youtube.com
How to Find Third Side of a Triangle Perimeter Word Problems Area Solve Triangle With 3 Sides Learn how to find the missing angles of a triangle when you know three sides using the law of cosines and the law of sines. Three sides a, b, c, and three angles (α, β, γ). Area of a triangle calculator. This triangle calculator lets you solve a triangle. Use this law of cosines calculator to determine the third side. Solve Triangle With 3 Sides.
From calcworkshop.com
Similar Right Triangles (Fully Explained w/ 9 Examples!) Solve Triangle With 3 Sides This triangle calculator lets you solve a triangle. Use this law of cosines calculator to determine the third side of a triangle knowing two sides and the angle between them or to find the angles given all three sides. Each triangle has six main characteristics: Given almost any three of them—three sides, two sides and an angle, or one side. Solve Triangle With 3 Sides.
From www.youtube.com
finding angle when given three sides trigonometry YouTube Solve Triangle With 3 Sides A triangle has six parts, three sides and three angles. Learn how to find the missing angles of a triangle when you know three sides using the law of cosines and the law of sines. Use this law of cosines calculator to determine the third side of a triangle knowing two sides and the angle between them or to find. Solve Triangle With 3 Sides.
From owlcation.com
Triangle Proportionality Theorem (With Proof and Examples) Owlcation Solve Triangle With 3 Sides Please provide the three sides of the triangle. The calculator solves the triangle specified by three of its properties. Each triangle has six main characteristics: A triangle has six parts, three sides and three angles. Triangle calculator and solver calculates all triangle properties from three sides. Three sides a, b, c, and three angles (α, β, γ). Area of a. Solve Triangle With 3 Sides.
From www.youtube.com
Area of a Triangle, Given 3 Sides, Heron's Formula YouTube Solve Triangle With 3 Sides Area of a triangle calculator. It calculates the missing measurements of a triangle if you know any one side and any two. This triangle calculator lets you solve a triangle. Three sides a, b, c, and three angles (α, β, γ). Each triangle has six main characteristics: A triangle has six parts, three sides and three angles. Triangle calculator and. Solve Triangle With 3 Sides.
From owlcation.com
How to Calculate the Sides and Angles of Triangles Using Pythagoras Solve Triangle With 3 Sides It calculates the missing measurements of a triangle if you know any one side and any two. Triangle calculator and solver calculates all triangle properties from three sides. Each triangle has six main characteristics: Three sides a, b, c, and three angles (α, β, γ). The calculator solves the triangle specified by three of its properties. Area of a triangle. Solve Triangle With 3 Sides.
From www.youtube.com
Solving for an Angle in a Right Triangle YouTube Solve Triangle With 3 Sides Area of a triangle calculator. It calculates the missing measurements of a triangle if you know any one side and any two. A triangle has six parts, three sides and three angles. Given almost any three of them—three sides, two sides and an angle, or one side and two angles—you can. Triangle calculator and solver calculates all triangle properties from. Solve Triangle With 3 Sides.
From divinemadnews.blogspot.com
How To Solve A Right Triangle For Abc Right Triangles / Start by Solve Triangle With 3 Sides Three sides a, b, c, and three angles (α, β, γ). A triangle has six parts, three sides and three angles. It calculates the missing measurements of a triangle if you know any one side and any two. The calculator solves the triangle specified by three of its properties. Use this law of cosines calculator to determine the third side. Solve Triangle With 3 Sides.
From allabouttrianglesgeo.netlify.app
Home Solve Triangle With 3 Sides Please provide the three sides of the triangle. A triangle has six parts, three sides and three angles. Triangle calculator and solver calculates all triangle properties from three sides. Use this law of cosines calculator to determine the third side of a triangle knowing two sides and the angle between them or to find the angles given all three sides.. Solve Triangle With 3 Sides.
From www.cuemath.com
Area of Triangle with 3 Sides Formula, Examples, Definition Solve Triangle With 3 Sides Each triangle has six main characteristics: The calculator solves the triangle specified by three of its properties. A triangle has six parts, three sides and three angles. It calculates the missing measurements of a triangle if you know any one side and any two. This triangle calculator lets you solve a triangle. Given almost any three of them—three sides, two. Solve Triangle With 3 Sides.
From thirdspacelearning.com
Angles In A Triangle GCSE Maths Steps, Examples & Worksheet Solve Triangle With 3 Sides Area of a triangle calculator. Each triangle has six main characteristics: The calculator solves the triangle specified by three of its properties. Given almost any three of them—three sides, two sides and an angle, or one side and two angles—you can. Three sides a, b, c, and three angles (α, β, γ). A triangle has six parts, three sides and. Solve Triangle With 3 Sides.
From owlcation.com
How to Calculate the Sides and Angles of Triangles Using Pythagoras Solve Triangle With 3 Sides Please provide the three sides of the triangle. Triangle calculator and solver calculates all triangle properties from three sides. This triangle calculator lets you solve a triangle. Three sides a, b, c, and three angles (α, β, γ). Given almost any three of them—three sides, two sides and an angle, or one side and two angles—you can. Learn how to. Solve Triangle With 3 Sides.
From www.mathswithmum.com
Heron's Formula for the Area of a Triangle with 3 Sides Maths with Mum Solve Triangle With 3 Sides Given almost any three of them—three sides, two sides and an angle, or one side and two angles—you can. Triangle calculator and solver calculates all triangle properties from three sides. A triangle has six parts, three sides and three angles. The calculator solves the triangle specified by three of its properties. Three sides a, b, c, and three angles (α,. Solve Triangle With 3 Sides.
From owlcation.com
How to Calculate the Sides and Angles of Triangles Owlcation Solve Triangle With 3 Sides The calculator solves the triangle specified by three of its properties. Given almost any three of them—three sides, two sides and an angle, or one side and two angles—you can. Triangle calculator and solver calculates all triangle properties from three sides. It calculates the missing measurements of a triangle if you know any one side and any two. Area of. Solve Triangle With 3 Sides.
From zvauaudiyl.blogspot.com
How To Find The Missing Angle Of A Triangle With 3 Sides What is a Solve Triangle With 3 Sides Learn how to find the missing angles of a triangle when you know three sides using the law of cosines and the law of sines. Area of a triangle calculator. Please provide the three sides of the triangle. It calculates the missing measurements of a triangle if you know any one side and any two. This triangle calculator lets you. Solve Triangle With 3 Sides.
From www.teachoo.com
Constructing a Triangle when all 3 sides are known (SSS) Solve Triangle With 3 Sides Triangle calculator and solver calculates all triangle properties from three sides. Each triangle has six main characteristics: Area of a triangle calculator. Learn how to find the missing angles of a triangle when you know three sides using the law of cosines and the law of sines. Use this law of cosines calculator to determine the third side of a. Solve Triangle With 3 Sides.
From www.youtube.com
Use Law of Cosines & Law of Sines to Solve an Oblique Triangle Given Solve Triangle With 3 Sides Use this law of cosines calculator to determine the third side of a triangle knowing two sides and the angle between them or to find the angles given all three sides. Triangle calculator and solver calculates all triangle properties from three sides. Learn how to find the missing angles of a triangle when you know three sides using the law. Solve Triangle With 3 Sides.
From calcworkshop.com
Special Right Triangles (Fully Explained w/ 19 Examples!) Solve Triangle With 3 Sides It calculates the missing measurements of a triangle if you know any one side and any two. Three sides a, b, c, and three angles (α, β, γ). This triangle calculator lets you solve a triangle. A triangle has six parts, three sides and three angles. Area of a triangle calculator. Triangle calculator and solver calculates all triangle properties from. Solve Triangle With 3 Sides.
From owlcation.com
How to Calculate the Sides and Angles of Triangles Owlcation Solve Triangle With 3 Sides Learn how to find the missing angles of a triangle when you know three sides using the law of cosines and the law of sines. Please provide the three sides of the triangle. It calculates the missing measurements of a triangle if you know any one side and any two. Three sides a, b, c, and three angles (α, β,. Solve Triangle With 3 Sides.
From lessonmagiccoaching.z21.web.core.windows.net
How To Solve Right Triangles In Geometry Solve Triangle With 3 Sides The calculator solves the triangle specified by three of its properties. Please provide the three sides of the triangle. Three sides a, b, c, and three angles (α, β, γ). This triangle calculator lets you solve a triangle. It calculates the missing measurements of a triangle if you know any one side and any two. Given almost any three of. Solve Triangle With 3 Sides.
From www.youtube.com
3C Solving a NonRight Triangle Given Three Sides YouTube Solve Triangle With 3 Sides The calculator solves the triangle specified by three of its properties. A triangle has six parts, three sides and three angles. Use this law of cosines calculator to determine the third side of a triangle knowing two sides and the angle between them or to find the angles given all three sides. Please provide the three sides of the triangle.. Solve Triangle With 3 Sides.
From www.youtube.com
Trigonometry 05 Solve Right Triangles YouTube Solve Triangle With 3 Sides A triangle has six parts, three sides and three angles. Area of a triangle calculator. Use this law of cosines calculator to determine the third side of a triangle knowing two sides and the angle between them or to find the angles given all three sides. Please provide the three sides of the triangle. It calculates the missing measurements of. Solve Triangle With 3 Sides.
From www.cuemath.com
How to find the area of a triangle with 3 sides given as a = 4, b = 7 Solve Triangle With 3 Sides The calculator solves the triangle specified by three of its properties. A triangle has six parts, three sides and three angles. This triangle calculator lets you solve a triangle. Use this law of cosines calculator to determine the third side of a triangle knowing two sides and the angle between them or to find the angles given all three sides.. Solve Triangle With 3 Sides.