Tablas De Verdad Filosofia Ejercicios Resueltos . Si quieres práctica adicional, puedes construir tablas de verdad para cualquiera de las oraciones y argumentos en los ejercicios. Luego, resuelve 6 ejercicios como ejemplos para aplicar las. Proporciona las fórmulas lógicas de varios argumentos y pide al lector que determine si son válidos,. Construya la tabla de verdad de las siguientes. En este artículo explicamos qué son y cómo resolver tablas de verdad para dos, tres o cualquier número de proposiciones simples con ejercicios resueltos paso a paso. 30 ejercicios de tablas de verdad de todos los niveles y con sus. En esta página habrá una recopilación de más de 100 ejercicios resueltos de lógica proposicional y de teoría de conjuntos: Ejercicios de tablas de verdad y formalización más tablas de verdad. Ejercicios resueltos de tablas de verdad para lógica de proposiciones. Explica conceptos como tablas de verdad, negación, conjunción, disyunción, condicional y bicondicional. Índice ¿qué son las tablas de verdad lógica? Este documento presenta 10 ejercicios de tablas de verdad y formalización lógica. Presentamos una serie de argumentos y ejercicios lógicos para ser resueltos mediante la aplicación de las tablas. Ejercicios con tablas de verdad.
from es.scribd.com
Índice ¿qué son las tablas de verdad lógica? Ejercicios resueltos de tablas de verdad para lógica de proposiciones. Explica conceptos como tablas de verdad, negación, conjunción, disyunción, condicional y bicondicional. En esta página habrá una recopilación de más de 100 ejercicios resueltos de lógica proposicional y de teoría de conjuntos: 30 ejercicios de tablas de verdad de todos los niveles y con sus. Proporciona las fórmulas lógicas de varios argumentos y pide al lector que determine si son válidos,. Luego, resuelve 6 ejercicios como ejemplos para aplicar las. Ejercicios con tablas de verdad. Este documento presenta 10 ejercicios de tablas de verdad y formalización lógica. Presentamos una serie de argumentos y ejercicios lógicos para ser resueltos mediante la aplicación de las tablas.
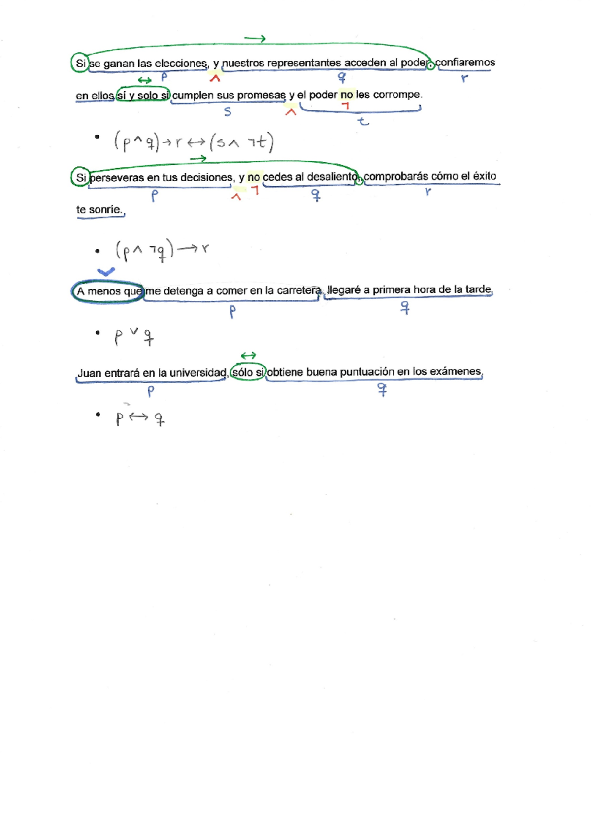
Actividad 1. Unidad 3. Tablas de Verdad
Tablas De Verdad Filosofia Ejercicios Resueltos Ejercicios con tablas de verdad. Índice ¿qué son las tablas de verdad lógica? 30 ejercicios de tablas de verdad de todos los niveles y con sus. Este documento presenta 10 ejercicios de tablas de verdad y formalización lógica. Ejercicios resueltos de tablas de verdad para lógica de proposiciones. Proporciona las fórmulas lógicas de varios argumentos y pide al lector que determine si son válidos,. Si quieres práctica adicional, puedes construir tablas de verdad para cualquiera de las oraciones y argumentos en los ejercicios. En esta página habrá una recopilación de más de 100 ejercicios resueltos de lógica proposicional y de teoría de conjuntos: Ejercicios con tablas de verdad. Construya la tabla de verdad de las siguientes. En este artículo explicamos qué son y cómo resolver tablas de verdad para dos, tres o cualquier número de proposiciones simples con ejercicios resueltos paso a paso. Presentamos una serie de argumentos y ejercicios lógicos para ser resueltos mediante la aplicación de las tablas. Ejercicios de tablas de verdad y formalización más tablas de verdad. Explica conceptos como tablas de verdad, negación, conjunción, disyunción, condicional y bicondicional. Luego, resuelve 6 ejercicios como ejemplos para aplicar las.
From www.docsity.com
Ejercicios resueltos sobre tabla de verdad Docsity Tablas De Verdad Filosofia Ejercicios Resueltos Luego, resuelve 6 ejercicios como ejemplos para aplicar las. Presentamos una serie de argumentos y ejercicios lógicos para ser resueltos mediante la aplicación de las tablas. Ejercicios resueltos de tablas de verdad para lógica de proposiciones. Índice ¿qué son las tablas de verdad lógica? Este documento presenta 10 ejercicios de tablas de verdad y formalización lógica. Proporciona las fórmulas lógicas. Tablas De Verdad Filosofia Ejercicios Resueltos.
From es.scribd.com
Ejercicios Resueltos Tablas de Verdad PDF Interpretación (filosofía Tablas De Verdad Filosofia Ejercicios Resueltos Construya la tabla de verdad de las siguientes. Si quieres práctica adicional, puedes construir tablas de verdad para cualquiera de las oraciones y argumentos en los ejercicios. Este documento presenta 10 ejercicios de tablas de verdad y formalización lógica. Ejercicios con tablas de verdad. 30 ejercicios de tablas de verdad de todos los niveles y con sus. Índice ¿qué son. Tablas De Verdad Filosofia Ejercicios Resueltos.
From matematicasn.blogspot.com
TABLAS DE VERDAD LOGICAS EJERCICIOS PDF Tablas De Verdad Filosofia Ejercicios Resueltos Si quieres práctica adicional, puedes construir tablas de verdad para cualquiera de las oraciones y argumentos en los ejercicios. 30 ejercicios de tablas de verdad de todos los niveles y con sus. Proporciona las fórmulas lógicas de varios argumentos y pide al lector que determine si son válidos,. Este documento presenta 10 ejercicios de tablas de verdad y formalización lógica.. Tablas De Verdad Filosofia Ejercicios Resueltos.
From ejerciciosdeclase.com
Ejercicios De Tablas De Verdad Filosofia 1O Bachillerato Resueltos Pdf Tablas De Verdad Filosofia Ejercicios Resueltos En este artículo explicamos qué son y cómo resolver tablas de verdad para dos, tres o cualquier número de proposiciones simples con ejercicios resueltos paso a paso. En esta página habrá una recopilación de más de 100 ejercicios resueltos de lógica proposicional y de teoría de conjuntos: Explica conceptos como tablas de verdad, negación, conjunción, disyunción, condicional y bicondicional. Ejercicios. Tablas De Verdad Filosofia Ejercicios Resueltos.
From es.scribd.com
Actividad 1. Unidad 3. Tablas de Verdad Tablas De Verdad Filosofia Ejercicios Resueltos Ejercicios con tablas de verdad. En este artículo explicamos qué son y cómo resolver tablas de verdad para dos, tres o cualquier número de proposiciones simples con ejercicios resueltos paso a paso. Construya la tabla de verdad de las siguientes. Ejercicios resueltos de tablas de verdad para lógica de proposiciones. Luego, resuelve 6 ejercicios como ejemplos para aplicar las. En. Tablas De Verdad Filosofia Ejercicios Resueltos.
From matematicasn.blogspot.com
TABLAS DE VERDAD Y CONECTIVOS LÓGICOS EJERCICIOS RESUELTOS PDF Tablas De Verdad Filosofia Ejercicios Resueltos Luego, resuelve 6 ejercicios como ejemplos para aplicar las. Ejercicios resueltos de tablas de verdad para lógica de proposiciones. Proporciona las fórmulas lógicas de varios argumentos y pide al lector que determine si son válidos,. Si quieres práctica adicional, puedes construir tablas de verdad para cualquiera de las oraciones y argumentos en los ejercicios. Índice ¿qué son las tablas de. Tablas De Verdad Filosofia Ejercicios Resueltos.
From es.scribd.com
Ejercicios Resueltos de Tablas de Verdad Expresiones lógicas Verdad Tablas De Verdad Filosofia Ejercicios Resueltos Si quieres práctica adicional, puedes construir tablas de verdad para cualquiera de las oraciones y argumentos en los ejercicios. Ejercicios de tablas de verdad y formalización más tablas de verdad. En esta página habrá una recopilación de más de 100 ejercicios resueltos de lógica proposicional y de teoría de conjuntos: Explica conceptos como tablas de verdad, negación, conjunción, disyunción, condicional. Tablas De Verdad Filosofia Ejercicios Resueltos.
From es.slideshare.net
Ejercicios resueltos de tablas de verdad PDF Tablas De Verdad Filosofia Ejercicios Resueltos Índice ¿qué son las tablas de verdad lógica? Ejercicios resueltos de tablas de verdad para lógica de proposiciones. Ejercicios de tablas de verdad y formalización más tablas de verdad. Explica conceptos como tablas de verdad, negación, conjunción, disyunción, condicional y bicondicional. Este documento presenta 10 ejercicios de tablas de verdad y formalización lógica. Construya la tabla de verdad de las. Tablas De Verdad Filosofia Ejercicios Resueltos.
From ejerciciosresueltoss.com
Tablas De Verdad Ejercicios Resueltos 】 2024 Tablas De Verdad Filosofia Ejercicios Resueltos Ejercicios de tablas de verdad y formalización más tablas de verdad. Luego, resuelve 6 ejercicios como ejemplos para aplicar las. Índice ¿qué son las tablas de verdad lógica? Proporciona las fórmulas lógicas de varios argumentos y pide al lector que determine si son válidos,. Construya la tabla de verdad de las siguientes. En esta página habrá una recopilación de más. Tablas De Verdad Filosofia Ejercicios Resueltos.
From www.vrogue.co
Ejercicios Resueltos Sobre Tabla De Verdad Docsity vrogue.co Tablas De Verdad Filosofia Ejercicios Resueltos Luego, resuelve 6 ejercicios como ejemplos para aplicar las. En esta página habrá una recopilación de más de 100 ejercicios resueltos de lógica proposicional y de teoría de conjuntos: Construya la tabla de verdad de las siguientes. Ejercicios resueltos de tablas de verdad para lógica de proposiciones. Ejercicios con tablas de verdad. Ejercicios de tablas de verdad y formalización más. Tablas De Verdad Filosofia Ejercicios Resueltos.
From es.scribd.com
Ejercicios Resueltos de Tablas de Verdad y Formalización Aula de Tablas De Verdad Filosofia Ejercicios Resueltos Si quieres práctica adicional, puedes construir tablas de verdad para cualquiera de las oraciones y argumentos en los ejercicios. Construya la tabla de verdad de las siguientes. Proporciona las fórmulas lógicas de varios argumentos y pide al lector que determine si son válidos,. Luego, resuelve 6 ejercicios como ejemplos para aplicar las. 30 ejercicios de tablas de verdad de todos. Tablas De Verdad Filosofia Ejercicios Resueltos.
From matematicasn.blogspot.com
TABLAS DE VERDAD PROBLEMAS RESUELTOS EN PDF Tablas De Verdad Filosofia Ejercicios Resueltos 30 ejercicios de tablas de verdad de todos los niveles y con sus. En esta página habrá una recopilación de más de 100 ejercicios resueltos de lógica proposicional y de teoría de conjuntos: Explica conceptos como tablas de verdad, negación, conjunción, disyunción, condicional y bicondicional. Si quieres práctica adicional, puedes construir tablas de verdad para cualquiera de las oraciones y. Tablas De Verdad Filosofia Ejercicios Resueltos.
From matematicasn.blogspot.com
TABLAS DE VERDAD Y CONECTIVOS LÓGICOS EJERCICIOS RESUELTOS PDF Tablas De Verdad Filosofia Ejercicios Resueltos En esta página habrá una recopilación de más de 100 ejercicios resueltos de lógica proposicional y de teoría de conjuntos: 30 ejercicios de tablas de verdad de todos los niveles y con sus. Ejercicios resueltos de tablas de verdad para lógica de proposiciones. Construya la tabla de verdad de las siguientes. Si quieres práctica adicional, puedes construir tablas de verdad. Tablas De Verdad Filosofia Ejercicios Resueltos.
From www.studypool.com
SOLUTION Tablas De Verdad Y Resolución Veritativo Funcional Ejercicios Tablas De Verdad Filosofia Ejercicios Resueltos Explica conceptos como tablas de verdad, negación, conjunción, disyunción, condicional y bicondicional. Ejercicios con tablas de verdad. Proporciona las fórmulas lógicas de varios argumentos y pide al lector que determine si son válidos,. Este documento presenta 10 ejercicios de tablas de verdad y formalización lógica. Luego, resuelve 6 ejercicios como ejemplos para aplicar las. Índice ¿qué son las tablas de. Tablas De Verdad Filosofia Ejercicios Resueltos.
From www.studypool.com
SOLUTION Logica tablas de verdad 100 ejercicios resueltos Studypool Tablas De Verdad Filosofia Ejercicios Resueltos Presentamos una serie de argumentos y ejercicios lógicos para ser resueltos mediante la aplicación de las tablas. 30 ejercicios de tablas de verdad de todos los niveles y con sus. Construya la tabla de verdad de las siguientes. En este artículo explicamos qué son y cómo resolver tablas de verdad para dos, tres o cualquier número de proposiciones simples con. Tablas De Verdad Filosofia Ejercicios Resueltos.
From www.studocu.com
Filosofía. Ejercicios de tablas de verdad y formalización Resueltos Tablas De Verdad Filosofia Ejercicios Resueltos Explica conceptos como tablas de verdad, negación, conjunción, disyunción, condicional y bicondicional. Ejercicios de tablas de verdad y formalización más tablas de verdad. Ejercicios resueltos de tablas de verdad para lógica de proposiciones. Luego, resuelve 6 ejercicios como ejemplos para aplicar las. Presentamos una serie de argumentos y ejercicios lógicos para ser resueltos mediante la aplicación de las tablas. Si. Tablas De Verdad Filosofia Ejercicios Resueltos.
From matematicasn.blogspot.com
TABLAS DE VERDAD PROBLEMAS RESUELTOS EN PDF Tablas De Verdad Filosofia Ejercicios Resueltos Explica conceptos como tablas de verdad, negación, conjunción, disyunción, condicional y bicondicional. Este documento presenta 10 ejercicios de tablas de verdad y formalización lógica. 30 ejercicios de tablas de verdad de todos los niveles y con sus. Ejercicios de tablas de verdad y formalización más tablas de verdad. Índice ¿qué son las tablas de verdad lógica? Ejercicios resueltos de tablas. Tablas De Verdad Filosofia Ejercicios Resueltos.
From matematicasn.blogspot.com
TABLAS DE VERDAD LOGICAS EJERCICIOS PDF Tablas De Verdad Filosofia Ejercicios Resueltos Ejercicios con tablas de verdad. En esta página habrá una recopilación de más de 100 ejercicios resueltos de lógica proposicional y de teoría de conjuntos: Ejercicios resueltos de tablas de verdad para lógica de proposiciones. Índice ¿qué son las tablas de verdad lógica? Presentamos una serie de argumentos y ejercicios lógicos para ser resueltos mediante la aplicación de las tablas.. Tablas De Verdad Filosofia Ejercicios Resueltos.
From matematicasn.blogspot.com
TABLAS DE VERDAD Y CONECTIVOS LÓGICOS EJERCICIOS RESUELTOS PDF Tablas De Verdad Filosofia Ejercicios Resueltos Luego, resuelve 6 ejercicios como ejemplos para aplicar las. En esta página habrá una recopilación de más de 100 ejercicios resueltos de lógica proposicional y de teoría de conjuntos: Construya la tabla de verdad de las siguientes. Explica conceptos como tablas de verdad, negación, conjunción, disyunción, condicional y bicondicional. Proporciona las fórmulas lógicas de varios argumentos y pide al lector. Tablas De Verdad Filosofia Ejercicios Resueltos.
From matematicasn.blogspot.com
TABLAS DE VERDAD Y CONECTIVOS LÓGICOS EJERCICIOS RESUELTOS PDF Tablas De Verdad Filosofia Ejercicios Resueltos 30 ejercicios de tablas de verdad de todos los niveles y con sus. Proporciona las fórmulas lógicas de varios argumentos y pide al lector que determine si son válidos,. Presentamos una serie de argumentos y ejercicios lógicos para ser resueltos mediante la aplicación de las tablas. Este documento presenta 10 ejercicios de tablas de verdad y formalización lógica. Explica conceptos. Tablas De Verdad Filosofia Ejercicios Resueltos.
From matematicasn.blogspot.com
TABLAS DE VERDAD Y CONECTIVOS LÓGICOS EJERCICIOS RESUELTOS PDF Tablas De Verdad Filosofia Ejercicios Resueltos En este artículo explicamos qué son y cómo resolver tablas de verdad para dos, tres o cualquier número de proposiciones simples con ejercicios resueltos paso a paso. Este documento presenta 10 ejercicios de tablas de verdad y formalización lógica. Ejercicios resueltos de tablas de verdad para lógica de proposiciones. Construya la tabla de verdad de las siguientes. Ejercicios de tablas. Tablas De Verdad Filosofia Ejercicios Resueltos.
From matematicasn.blogspot.com
TABLAS DE VERDAD PROBLEMAS RESUELTOS EN PDF Tablas De Verdad Filosofia Ejercicios Resueltos Proporciona las fórmulas lógicas de varios argumentos y pide al lector que determine si son válidos,. Ejercicios resueltos de tablas de verdad para lógica de proposiciones. Explica conceptos como tablas de verdad, negación, conjunción, disyunción, condicional y bicondicional. En esta página habrá una recopilación de más de 100 ejercicios resueltos de lógica proposicional y de teoría de conjuntos: Este documento. Tablas De Verdad Filosofia Ejercicios Resueltos.
From matematicasn.blogspot.com
TABLAS DE VERDAD PROBLEMAS RESUELTOS EN PDF Tablas De Verdad Filosofia Ejercicios Resueltos Luego, resuelve 6 ejercicios como ejemplos para aplicar las. Presentamos una serie de argumentos y ejercicios lógicos para ser resueltos mediante la aplicación de las tablas. Proporciona las fórmulas lógicas de varios argumentos y pide al lector que determine si son válidos,. Ejercicios de tablas de verdad y formalización más tablas de verdad. Este documento presenta 10 ejercicios de tablas. Tablas De Verdad Filosofia Ejercicios Resueltos.
From matematicasn.blogspot.com
TABLAS DE VERDAD Y CONECTIVOS LÓGICOS EJERCICIOS RESUELTOS PDF Tablas De Verdad Filosofia Ejercicios Resueltos 30 ejercicios de tablas de verdad de todos los niveles y con sus. Ejercicios con tablas de verdad. Explica conceptos como tablas de verdad, negación, conjunción, disyunción, condicional y bicondicional. Ejercicios de tablas de verdad y formalización más tablas de verdad. Presentamos una serie de argumentos y ejercicios lógicos para ser resueltos mediante la aplicación de las tablas. Proporciona las. Tablas De Verdad Filosofia Ejercicios Resueltos.
From matematicasn.blogspot.com
TABLAS DE VERDAD PROBLEMAS RESUELTOS EN PDF Tablas De Verdad Filosofia Ejercicios Resueltos 30 ejercicios de tablas de verdad de todos los niveles y con sus. Ejercicios con tablas de verdad. En esta página habrá una recopilación de más de 100 ejercicios resueltos de lógica proposicional y de teoría de conjuntos: Ejercicios de tablas de verdad y formalización más tablas de verdad. Explica conceptos como tablas de verdad, negación, conjunción, disyunción, condicional y. Tablas De Verdad Filosofia Ejercicios Resueltos.
From matematicasn.blogspot.com
TABLAS DE VERDAD PROBLEMAS RESUELTOS EN PDF Tablas De Verdad Filosofia Ejercicios Resueltos Este documento presenta 10 ejercicios de tablas de verdad y formalización lógica. 30 ejercicios de tablas de verdad de todos los niveles y con sus. Explica conceptos como tablas de verdad, negación, conjunción, disyunción, condicional y bicondicional. Si quieres práctica adicional, puedes construir tablas de verdad para cualquiera de las oraciones y argumentos en los ejercicios. Ejercicios de tablas de. Tablas De Verdad Filosofia Ejercicios Resueltos.
From www.youtube.com
Tablas de Verdad Ejercicio Resuelto 4 YouTube Tablas De Verdad Filosofia Ejercicios Resueltos 30 ejercicios de tablas de verdad de todos los niveles y con sus. Si quieres práctica adicional, puedes construir tablas de verdad para cualquiera de las oraciones y argumentos en los ejercicios. Luego, resuelve 6 ejercicios como ejemplos para aplicar las. Ejercicios con tablas de verdad. Este documento presenta 10 ejercicios de tablas de verdad y formalización lógica. Índice ¿qué. Tablas De Verdad Filosofia Ejercicios Resueltos.
From matematicasn.blogspot.com
TABLAS DE VERDAD PROBLEMAS RESUELTOS EN PDF Tablas De Verdad Filosofia Ejercicios Resueltos Ejercicios con tablas de verdad. Explica conceptos como tablas de verdad, negación, conjunción, disyunción, condicional y bicondicional. Ejercicios resueltos de tablas de verdad para lógica de proposiciones. 30 ejercicios de tablas de verdad de todos los niveles y con sus. Presentamos una serie de argumentos y ejercicios lógicos para ser resueltos mediante la aplicación de las tablas. Este documento presenta. Tablas De Verdad Filosofia Ejercicios Resueltos.
From matematicasn.blogspot.com
TABLAS DE VERDAD Y CONECTIVOS LÓGICOS EJERCICIOS RESUELTOS PDF Tablas De Verdad Filosofia Ejercicios Resueltos Luego, resuelve 6 ejercicios como ejemplos para aplicar las. Ejercicios con tablas de verdad. 30 ejercicios de tablas de verdad de todos los niveles y con sus. Construya la tabla de verdad de las siguientes. Índice ¿qué son las tablas de verdad lógica? Si quieres práctica adicional, puedes construir tablas de verdad para cualquiera de las oraciones y argumentos en. Tablas De Verdad Filosofia Ejercicios Resueltos.
From matematicasn.blogspot.com
TABLAS DE VERDAD Y CONECTIVOS LÓGICOS EJERCICIOS RESUELTOS PDF Tablas De Verdad Filosofia Ejercicios Resueltos Luego, resuelve 6 ejercicios como ejemplos para aplicar las. Ejercicios con tablas de verdad. Proporciona las fórmulas lógicas de varios argumentos y pide al lector que determine si son válidos,. En esta página habrá una recopilación de más de 100 ejercicios resueltos de lógica proposicional y de teoría de conjuntos: Presentamos una serie de argumentos y ejercicios lógicos para ser. Tablas De Verdad Filosofia Ejercicios Resueltos.
From es.slideshare.net
Ejercicios resueltos de tablas de verdad Tablas De Verdad Filosofia Ejercicios Resueltos Presentamos una serie de argumentos y ejercicios lógicos para ser resueltos mediante la aplicación de las tablas. Este documento presenta 10 ejercicios de tablas de verdad y formalización lógica. Ejercicios de tablas de verdad y formalización más tablas de verdad. En esta página habrá una recopilación de más de 100 ejercicios resueltos de lógica proposicional y de teoría de conjuntos:. Tablas De Verdad Filosofia Ejercicios Resueltos.
From www.studocu.com
Tablas de verdad ejercicios resueltos Gracias por apoyar la lógica y Tablas De Verdad Filosofia Ejercicios Resueltos Ejercicios de tablas de verdad y formalización más tablas de verdad. Ejercicios resueltos de tablas de verdad para lógica de proposiciones. Índice ¿qué son las tablas de verdad lógica? Este documento presenta 10 ejercicios de tablas de verdad y formalización lógica. Presentamos una serie de argumentos y ejercicios lógicos para ser resueltos mediante la aplicación de las tablas. 30 ejercicios. Tablas De Verdad Filosofia Ejercicios Resueltos.
From es.scribd.com
Ejercicios Resueltos de Tablas de Verdad Lógica Expresiones lógicas Tablas De Verdad Filosofia Ejercicios Resueltos Índice ¿qué son las tablas de verdad lógica? Este documento presenta 10 ejercicios de tablas de verdad y formalización lógica. Proporciona las fórmulas lógicas de varios argumentos y pide al lector que determine si son válidos,. Explica conceptos como tablas de verdad, negación, conjunción, disyunción, condicional y bicondicional. Construya la tabla de verdad de las siguientes. Ejercicios de tablas de. Tablas De Verdad Filosofia Ejercicios Resueltos.
From es.slideshare.net
Ejercicios resueltos de tablas de verdad PDF Tablas De Verdad Filosofia Ejercicios Resueltos Si quieres práctica adicional, puedes construir tablas de verdad para cualquiera de las oraciones y argumentos en los ejercicios. Luego, resuelve 6 ejercicios como ejemplos para aplicar las. Proporciona las fórmulas lógicas de varios argumentos y pide al lector que determine si son válidos,. Ejercicios con tablas de verdad. 30 ejercicios de tablas de verdad de todos los niveles y. Tablas De Verdad Filosofia Ejercicios Resueltos.
From www.vrogue.co
Tablas De Verdad Ejercicios Resueltos Ejercicios Resu vrogue.co Tablas De Verdad Filosofia Ejercicios Resueltos Si quieres práctica adicional, puedes construir tablas de verdad para cualquiera de las oraciones y argumentos en los ejercicios. 30 ejercicios de tablas de verdad de todos los niveles y con sus. Ejercicios con tablas de verdad. Ejercicios de tablas de verdad y formalización más tablas de verdad. Proporciona las fórmulas lógicas de varios argumentos y pide al lector que. Tablas De Verdad Filosofia Ejercicios Resueltos.