Lead Ball Formula . Use the following equation to calculate. View useful formulas & shop online for your power transmission needs. The critical speed is the lowest rational speed that a shaft is in. Speed and maximum speed requirement. Required lead is calculated based on the motor max. Lead screw efficiency is how well the screw transforms torque (rotational force) into linear motion. Check for tension/pressure, buckling and critical speed Design and calculation of a ball screw. Critical speed ball screw and lead screws formulas and calculator: While many factors are involved in the selection of a specific lead screw assembly, lead screw sizing — choosing the right diameter and lead for the application — can be done in. Below is the formula to calculate back drive torque, where: Load analysis, life calculation and tolerances. Roton products is a manufacturer of lead screws, ball screws, & more.
from www.pinterest.com
Critical speed ball screw and lead screws formulas and calculator: Load analysis, life calculation and tolerances. Use the following equation to calculate. While many factors are involved in the selection of a specific lead screw assembly, lead screw sizing — choosing the right diameter and lead for the application — can be done in. View useful formulas & shop online for your power transmission needs. Required lead is calculated based on the motor max. Speed and maximum speed requirement. Design and calculation of a ball screw. Check for tension/pressure, buckling and critical speed Below is the formula to calculate back drive torque, where:
350 Lead Balls/100 Ball, Lead, The 100
Lead Ball Formula Check for tension/pressure, buckling and critical speed The critical speed is the lowest rational speed that a shaft is in. Lead screw efficiency is how well the screw transforms torque (rotational force) into linear motion. Critical speed ball screw and lead screws formulas and calculator: Load analysis, life calculation and tolerances. Design and calculation of a ball screw. Required lead is calculated based on the motor max. Speed and maximum speed requirement. Below is the formula to calculate back drive torque, where: Check for tension/pressure, buckling and critical speed Use the following equation to calculate. While many factors are involved in the selection of a specific lead screw assembly, lead screw sizing — choosing the right diameter and lead for the application — can be done in. View useful formulas & shop online for your power transmission needs. Roton products is a manufacturer of lead screws, ball screws, & more.
From www.coursehero.com
[Solved] 11 The centers of a 10 kg lead ball and a 100 g ball are Lead Ball Formula The critical speed is the lowest rational speed that a shaft is in. Roton products is a manufacturer of lead screws, ball screws, & more. Design and calculation of a ball screw. Lead screw efficiency is how well the screw transforms torque (rotational force) into linear motion. View useful formulas & shop online for your power transmission needs. Load analysis,. Lead Ball Formula.
From www.linearmotiontips.com
How to account for ball and lead screw inertia during system design Lead Ball Formula Check for tension/pressure, buckling and critical speed Speed and maximum speed requirement. Roton products is a manufacturer of lead screws, ball screws, & more. Design and calculation of a ball screw. View useful formulas & shop online for your power transmission needs. Load analysis, life calculation and tolerances. Use the following equation to calculate. The critical speed is the lowest. Lead Ball Formula.
From www.youtube.com
Mechanical Design Free body Diagram of a Lead screw YouTube Lead Ball Formula Design and calculation of a ball screw. View useful formulas & shop online for your power transmission needs. Speed and maximum speed requirement. Use the following equation to calculate. Below is the formula to calculate back drive torque, where: Load analysis, life calculation and tolerances. While many factors are involved in the selection of a specific lead screw assembly, lead. Lead Ball Formula.
From www.pinterest.com
350 Lead Balls/100 Ball, Lead, The 100 Lead Ball Formula Use the following equation to calculate. Roton products is a manufacturer of lead screws, ball screws, & more. Required lead is calculated based on the motor max. While many factors are involved in the selection of a specific lead screw assembly, lead screw sizing — choosing the right diameter and lead for the application — can be done in. Critical. Lead Ball Formula.
From www.gemmermuzzleloadingclub.com
Tip 15 Selecting the Right Lead Balls Gemmer Muzzleloading Gun Club Lead Ball Formula Design and calculation of a ball screw. Required lead is calculated based on the motor max. Roton products is a manufacturer of lead screws, ball screws, & more. Use the following equation to calculate. Check for tension/pressure, buckling and critical speed Load analysis, life calculation and tolerances. Critical speed ball screw and lead screws formulas and calculator: View useful formulas. Lead Ball Formula.
From www.youtube.com
Power Screws (KQ11) YouTube Lead Ball Formula Load analysis, life calculation and tolerances. Check for tension/pressure, buckling and critical speed Roton products is a manufacturer of lead screws, ball screws, & more. While many factors are involved in the selection of a specific lead screw assembly, lead screw sizing — choosing the right diameter and lead for the application — can be done in. Design and calculation. Lead Ball Formula.
From www.motioncontroltips.com
How to Size and Select Ball Screws An Engineer's Guide Lead Ball Formula Roton products is a manufacturer of lead screws, ball screws, & more. Load analysis, life calculation and tolerances. Lead screw efficiency is how well the screw transforms torque (rotational force) into linear motion. Design and calculation of a ball screw. Below is the formula to calculate back drive torque, where: The critical speed is the lowest rational speed that a. Lead Ball Formula.
From lemmonsstore.com.au
Wilson Pre Pack Lead Ball Sinkers Lemmons Store Lead Ball Formula Design and calculation of a ball screw. Critical speed ball screw and lead screws formulas and calculator: Use the following equation to calculate. Load analysis, life calculation and tolerances. Required lead is calculated based on the motor max. Lead screw efficiency is how well the screw transforms torque (rotational force) into linear motion. Speed and maximum speed requirement. The critical. Lead Ball Formula.
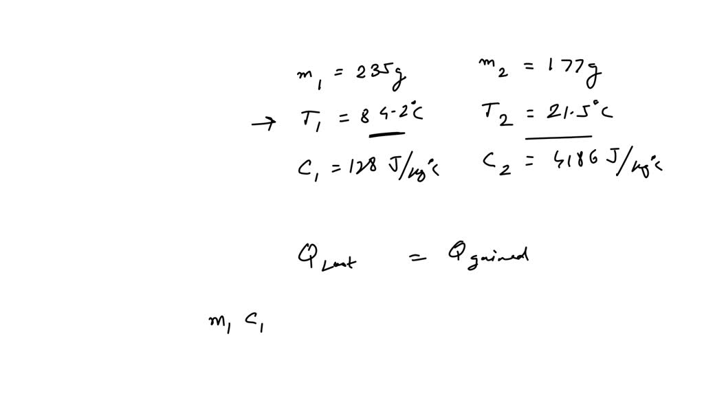
From www.numerade.com
SOLVEDg lead ball at a temperature of 84.2^∘ C is placed in a light Lead Ball Formula View useful formulas & shop online for your power transmission needs. Check for tension/pressure, buckling and critical speed The critical speed is the lowest rational speed that a shaft is in. Load analysis, life calculation and tolerances. Design and calculation of a ball screw. Critical speed ball screw and lead screws formulas and calculator: Below is the formula to calculate. Lead Ball Formula.
From brainly.in
how many lead balls each of radius 4 cm can be made by melting a lead Lead Ball Formula Critical speed ball screw and lead screws formulas and calculator: The critical speed is the lowest rational speed that a shaft is in. Lead screw efficiency is how well the screw transforms torque (rotational force) into linear motion. Roton products is a manufacturer of lead screws, ball screws, & more. Use the following equation to calculate. View useful formulas &. Lead Ball Formula.
From www.slideserve.com
PPT FIBA 2 Person Mechanics PowerPoint Presentation, free download Lead Ball Formula Critical speed ball screw and lead screws formulas and calculator: Below is the formula to calculate back drive torque, where: While many factors are involved in the selection of a specific lead screw assembly, lead screw sizing — choosing the right diameter and lead for the application — can be done in. Required lead is calculated based on the motor. Lead Ball Formula.
From www.researchgate.net
Power losses in nutball screw connection Download Table Lead Ball Formula Roton products is a manufacturer of lead screws, ball screws, & more. Required lead is calculated based on the motor max. Use the following equation to calculate. View useful formulas & shop online for your power transmission needs. Load analysis, life calculation and tolerances. Below is the formula to calculate back drive torque, where: Speed and maximum speed requirement. Design. Lead Ball Formula.
From www.toppr.com
A ball is dropped to the ground from a height of 2m. The coefficient of Lead Ball Formula Check for tension/pressure, buckling and critical speed Use the following equation to calculate. Speed and maximum speed requirement. Below is the formula to calculate back drive torque, where: Lead screw efficiency is how well the screw transforms torque (rotational force) into linear motion. View useful formulas & shop online for your power transmission needs. Required lead is calculated based on. Lead Ball Formula.
From solvedlib.com
A lead ball has a volume of 94.3 cm3 at 19.3°C. Wh… SolvedLib Lead Ball Formula Speed and maximum speed requirement. Load analysis, life calculation and tolerances. Lead screw efficiency is how well the screw transforms torque (rotational force) into linear motion. The critical speed is the lowest rational speed that a shaft is in. Check for tension/pressure, buckling and critical speed While many factors are involved in the selection of a specific lead screw assembly,. Lead Ball Formula.
From www.talarms.co.uk
.375 Lead Balls 100 Lead Ball Formula Critical speed ball screw and lead screws formulas and calculator: View useful formulas & shop online for your power transmission needs. Use the following equation to calculate. Design and calculation of a ball screw. Required lead is calculated based on the motor max. The critical speed is the lowest rational speed that a shaft is in. Below is the formula. Lead Ball Formula.
From www.youtube.com
Power Screws Torque to Force Relationships in Just Over 10 Minutes Lead Ball Formula Critical speed ball screw and lead screws formulas and calculator: Required lead is calculated based on the motor max. The critical speed is the lowest rational speed that a shaft is in. Design and calculation of a ball screw. Lead screw efficiency is how well the screw transforms torque (rotational force) into linear motion. Load analysis, life calculation and tolerances.. Lead Ball Formula.
From saratov.myhistorypark.ru
Z Axis Stepper Motor And Lead Screw Torque Calculation 3D, 50 OFF Lead Ball Formula Required lead is calculated based on the motor max. View useful formulas & shop online for your power transmission needs. Use the following equation to calculate. Check for tension/pressure, buckling and critical speed While many factors are involved in the selection of a specific lead screw assembly, lead screw sizing — choosing the right diameter and lead for the application. Lead Ball Formula.
From www.youtube.com
Ball Lead Screw Properties YouTube Lead Ball Formula Required lead is calculated based on the motor max. Load analysis, life calculation and tolerances. Roton products is a manufacturer of lead screws, ball screws, & more. View useful formulas & shop online for your power transmission needs. Lead screw efficiency is how well the screw transforms torque (rotational force) into linear motion. Critical speed ball screw and lead screws. Lead Ball Formula.
From www.vrogue.co
Volume Of A Sphere Definition Formula Derivation And vrogue.co Lead Ball Formula Below is the formula to calculate back drive torque, where: Use the following equation to calculate. Check for tension/pressure, buckling and critical speed Lead screw efficiency is how well the screw transforms torque (rotational force) into linear motion. The critical speed is the lowest rational speed that a shaft is in. Speed and maximum speed requirement. Critical speed ball screw. Lead Ball Formula.
From www.american-scientific.com
Solid Drilled Lead Ball, 1" American Scientific Lead Ball Formula View useful formulas & shop online for your power transmission needs. Lead screw efficiency is how well the screw transforms torque (rotational force) into linear motion. Roton products is a manufacturer of lead screws, ball screws, & more. Below is the formula to calculate back drive torque, where: Use the following equation to calculate. Speed and maximum speed requirement. Required. Lead Ball Formula.
From algebrabasedphysics.blogspot.com
Physics I, II A ball is dropped from rest from a height H above the Lead Ball Formula Lead screw efficiency is how well the screw transforms torque (rotational force) into linear motion. Roton products is a manufacturer of lead screws, ball screws, & more. Design and calculation of a ball screw. The critical speed is the lowest rational speed that a shaft is in. While many factors are involved in the selection of a specific lead screw. Lead Ball Formula.
From www.youtube.com
Calculating Lead Screw Efficiency and Required Lifting Torque YouTube Lead Ball Formula Load analysis, life calculation and tolerances. Below is the formula to calculate back drive torque, where: While many factors are involved in the selection of a specific lead screw assembly, lead screw sizing — choosing the right diameter and lead for the application — can be done in. Roton products is a manufacturer of lead screws, ball screws, & more.. Lead Ball Formula.
From www.numerade.com
The centers of a 10 kg lead ball and a 100 g lead ball are separated by Lead Ball Formula Load analysis, life calculation and tolerances. The critical speed is the lowest rational speed that a shaft is in. Lead screw efficiency is how well the screw transforms torque (rotational force) into linear motion. View useful formulas & shop online for your power transmission needs. Required lead is calculated based on the motor max. Below is the formula to calculate. Lead Ball Formula.
From www.numerade.com
SOLVED 3. Two lead balls of radius 10 cm and 1 cm are placed with Lead Ball Formula Design and calculation of a ball screw. Roton products is a manufacturer of lead screws, ball screws, & more. While many factors are involved in the selection of a specific lead screw assembly, lead screw sizing — choosing the right diameter and lead for the application — can be done in. Use the following equation to calculate. Required lead is. Lead Ball Formula.
From www.youtube.com
[17] lead balls mould for slingshot ammo YouTube Lead Ball Formula Use the following equation to calculate. Roton products is a manufacturer of lead screws, ball screws, & more. View useful formulas & shop online for your power transmission needs. Below is the formula to calculate back drive torque, where: While many factors are involved in the selection of a specific lead screw assembly, lead screw sizing — choosing the right. Lead Ball Formula.
From www.chegg.com
Solved Find the torque required to accelerate a 200 lb. Lead Ball Formula Critical speed ball screw and lead screws formulas and calculator: Lead screw efficiency is how well the screw transforms torque (rotational force) into linear motion. Use the following equation to calculate. Below is the formula to calculate back drive torque, where: Roton products is a manufacturer of lead screws, ball screws, & more. While many factors are involved in the. Lead Ball Formula.
From blog.engineeringpaper.xyz
Lead Screw Torque and Efficiency Calculations The Official Lead Ball Formula Load analysis, life calculation and tolerances. Roton products is a manufacturer of lead screws, ball screws, & more. Required lead is calculated based on the motor max. Use the following equation to calculate. Design and calculation of a ball screw. Critical speed ball screw and lead screws formulas and calculator: Speed and maximum speed requirement. The critical speed is the. Lead Ball Formula.
From blog.hubspot.es
Qué es lead scoring y cómo calcular un lead score Lead Ball Formula Lead screw efficiency is how well the screw transforms torque (rotational force) into linear motion. Critical speed ball screw and lead screws formulas and calculator: Speed and maximum speed requirement. Use the following equation to calculate. Roton products is a manufacturer of lead screws, ball screws, & more. While many factors are involved in the selection of a specific lead. Lead Ball Formula.
From www.iqsdirectory.com
Ball Screw What Is It? How Does It Work? Lead Ball Formula Required lead is calculated based on the motor max. Critical speed ball screw and lead screws formulas and calculator: The critical speed is the lowest rational speed that a shaft is in. Load analysis, life calculation and tolerances. Below is the formula to calculate back drive torque, where: Lead screw efficiency is how well the screw transforms torque (rotational force). Lead Ball Formula.
From www.mdpi.com
Applied Sciences Free FullText Dynamic Analysis of Ball Screw Feed Lead Ball Formula Roton products is a manufacturer of lead screws, ball screws, & more. Load analysis, life calculation and tolerances. The critical speed is the lowest rational speed that a shaft is in. Use the following equation to calculate. Design and calculation of a ball screw. Lead screw efficiency is how well the screw transforms torque (rotational force) into linear motion. Critical. Lead Ball Formula.
From blackpowderguide.com
How Many Round Balls per Pound of Lead Black Powder Guide Lead Ball Formula The critical speed is the lowest rational speed that a shaft is in. Speed and maximum speed requirement. Roton products is a manufacturer of lead screws, ball screws, & more. Lead screw efficiency is how well the screw transforms torque (rotational force) into linear motion. While many factors are involved in the selection of a specific lead screw assembly, lead. Lead Ball Formula.
From www.numerade.com
SOLVED Suppose Galileo dropped a lead ball (100 kilograms) and a glass Lead Ball Formula Below is the formula to calculate back drive torque, where: Lead screw efficiency is how well the screw transforms torque (rotational force) into linear motion. Speed and maximum speed requirement. The critical speed is the lowest rational speed that a shaft is in. View useful formulas & shop online for your power transmission needs. Design and calculation of a ball. Lead Ball Formula.
From www.chegg.com
Solved Question 1 a)For the lead ball, calculate the average Lead Ball Formula Load analysis, life calculation and tolerances. Use the following equation to calculate. Below is the formula to calculate back drive torque, where: Check for tension/pressure, buckling and critical speed View useful formulas & shop online for your power transmission needs. The critical speed is the lowest rational speed that a shaft is in. Roton products is a manufacturer of lead. Lead Ball Formula.
From www.cuemath.com
Diameter of a Sphere Formula Using Volume Formula, Examples, Definition Lead Ball Formula While many factors are involved in the selection of a specific lead screw assembly, lead screw sizing — choosing the right diameter and lead for the application — can be done in. Roton products is a manufacturer of lead screws, ball screws, & more. Check for tension/pressure, buckling and critical speed Critical speed ball screw and lead screws formulas and. Lead Ball Formula.
From byjus.com
A lead ball moving with velocity v strikes a wall and stops. If 50 Lead Ball Formula Below is the formula to calculate back drive torque, where: Check for tension/pressure, buckling and critical speed Use the following equation to calculate. Critical speed ball screw and lead screws formulas and calculator: Roton products is a manufacturer of lead screws, ball screws, & more. The critical speed is the lowest rational speed that a shaft is in. Design and. Lead Ball Formula.