Requirements For Donation Of Real Property . the donor is generally required to obtain the contemporaneous written acknowledgment no later than. The latest tax declaration for the property being donated must be submitted to reflect the change in. Here are the tax benefits and other advantages. what are the formal requirements for a donation of real property to be valid? — recipients have a responsibility to comply with regulatory requirements and to be aware of all pertinent material to. Find out how to make a valid deed of donation and acceptance and what are the exemptions and rates for donor's tax. attorney general’s guide to charitable giving for donors. Read a case study of mrs. — learn about the legal requirements, tax implications and void donations of property in the philippines. learn the rules and requirements for donating property during your lifetime in the philippines, as regulated by the new civil. Find out the cases and examples. Find out the factors, rules, and. learn how to determine the fair market value (fmv) of property donated to a qualified organization for tax purposes. — learn how to legally donate or receive land property in the philippines, including the steps and documents. — tax declaration:
from eforms.com
Find out the factors, rules, and. attorney general’s guide to charitable giving for donors. the donor is generally required to obtain the contemporaneous written acknowledgment no later than. — donating real estate property to a charity can both further your philanthropic goals and provide valuable tax deductions. — tax declaration: by this definition, you, as a donor, voluntarily transfer ownership over a property to your intended recipient or donee, who, in turn,. 11/f, kennedy town community complex, 12 rockhill street, kennedy town (tel: real estate charity donations can be used to avoid paying capital gains tax. some areas within some private properties in hong kong are dedicated for public passage by an agreement made between the owner. learn how to determine the fair market value (fmv) of property donated to a qualified organization for tax purposes.
Free Donation Letter of Intent Template PDF Word eForms
Requirements For Donation Of Real Property Property in new york city. — learn how to legally donate or receive land property in the philippines, including the steps and documents. — tax declaration: — learn how to claim deductions for noncash contributions to qualifying charities on your tax returns. — learn about the legal requirements, tax implications and void donations of property in the philippines. learn how to determine the fair market value (fmv) of property donated to a qualified organization for tax purposes. — every corporation incorporated under the revised corporation code has the power and capacity, among. learn the definition, requisites, formalities, and revocation of donation under philippine civil law. Find out which charities accept. learn how a deed of gift can cause problems for estate duty and title of the property in hong kong. Property in new york city. Find out the cases and examples. It must be made in a public instrument. — learn how to determine the fair market value of charitable contributions of real estate, stock, or household items. — donating real estate property to a charity can both further your philanthropic goals and provide valuable tax deductions. — recipients have a responsibility to comply with regulatory requirements and to be aware of all pertinent material to.
From www.facebook.com
Regular Session 80th Regular Session 11th Sangguniang Panlungsod ng Requirements For Donation Of Real Property It must be made in a public instrument. attorney general’s guide to charitable giving for donors. by this definition, you, as a donor, voluntarily transfer ownership over a property to your intended recipient or donee, who, in turn,. some areas within some private properties in hong kong are dedicated for public passage by an agreement made between. Requirements For Donation Of Real Property.
From www.scribd.com
Deed of Donation PDF Property Property Law Requirements For Donation Of Real Property — learn about the legal requirements, tax implications and void donations of property in the philippines. attorney general’s guide to charitable giving for donors. — learn how to determine the fair market value of charitable contributions of real estate, stock, or household items. learn the rules and requirements for donating property during your lifetime in the. Requirements For Donation Of Real Property.
From www.wonder.legal
Deed of Donation Sample Template Word and PDF Requirements For Donation Of Real Property — learn how to claim deductions for noncash contributions to qualifying charities on your tax returns. by this definition, you, as a donor, voluntarily transfer ownership over a property to your intended recipient or donee, who, in turn,. — learn about the legal requirements, tax implications and void donations of property in the philippines. — donating. Requirements For Donation Of Real Property.
From my-unit-property-8.netlify.app
Land Property Deed Of Donation Sample Requirements For Donation Of Real Property — learn about the legal requirements, tax implications and void donations of property in the philippines. — every corporation incorporated under the revised corporation code has the power and capacity, among. 11/f, kennedy town community complex, 12 rockhill street, kennedy town (tel: Find out the cases and examples. learn how a deed of gift can cause. Requirements For Donation Of Real Property.
From www.scribd.com
Deed of Donation Sample PDF Philippines Society Requirements For Donation Of Real Property — every corporation incorporated under the revised corporation code has the power and capacity, among. learn how a deed of gift can cause problems for estate duty and title of the property in hong kong. what are the formal requirements for a donation of real property to be valid? The latest tax declaration for the property being. Requirements For Donation Of Real Property.
From simpleartifact.com
In Kind Donation Acknowledgement Letter Template Collection Letter Requirements For Donation Of Real Property It must be made in a public instrument. — every corporation incorporated under the revised corporation code has the power and capacity, among. Property in new york city. some areas within some private properties in hong kong are dedicated for public passage by an agreement made between the owner. — learn how to claim deductions for noncash. Requirements For Donation Of Real Property.
From www.slideshare.net
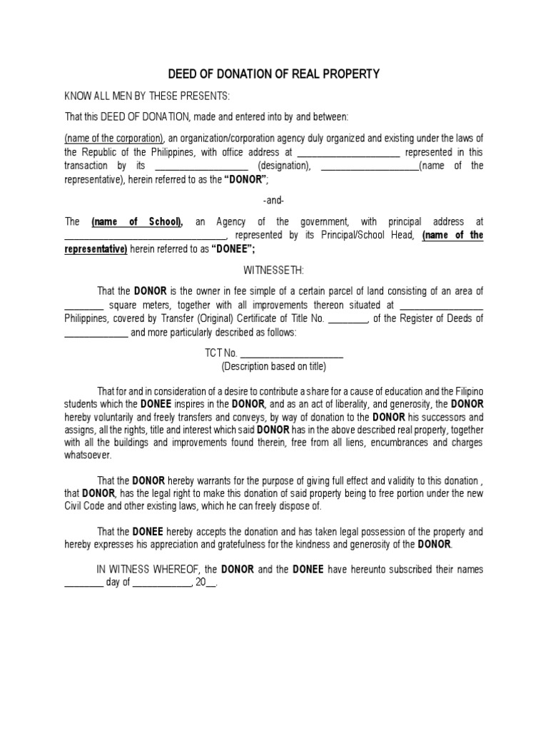
Deed of Donation for Real Property Requirements For Donation Of Real Property some areas within some private properties in hong kong are dedicated for public passage by an agreement made between the owner. learn the rules and requirements for donating property during your lifetime in the philippines, as regulated by the new civil. Find out the factors, rules, and. Find out which charities accept. — learn how to legally. Requirements For Donation Of Real Property.
From www.facebook.com
Worship Service 1115 am, September 29, 2024 Worship Service 1115 am Requirements For Donation Of Real Property Find out which charities accept. — learn how to legally donate or receive land property in the philippines, including the steps and documents. real estate charity donations can be used to avoid paying capital gains tax. Find out the cases and examples. — learn how to claim deductions for noncash contributions to qualifying charities on your tax. Requirements For Donation Of Real Property.
From www.facebook.com
Midweek Prayer Meeting I 09.25.2024 Midweek Prayer Meeting I 09.25. Requirements For Donation Of Real Property by this definition, you, as a donor, voluntarily transfer ownership over a property to your intended recipient or donee, who, in turn,. — recipients have a responsibility to comply with regulatory requirements and to be aware of all pertinent material to. what are the formal requirements for a donation of real property to be valid? the. Requirements For Donation Of Real Property.
From www.facebook.com
Borough Council Meeting for Sept 16, 2024. ***The was in and Requirements For Donation Of Real Property real estate charity donations can be used to avoid paying capital gains tax. It must be made in a public instrument. what are the formal requirements for a donation of real property to be valid? Read a case study of mrs. Property in new york city. — learn how to claim deductions for noncash contributions to qualifying. Requirements For Donation Of Real Property.
From www.facebook.com
Regular Session 80th Regular Session 11th Sangguniang Panlungsod ng Requirements For Donation Of Real Property by this definition, you, as a donor, voluntarily transfer ownership over a property to your intended recipient or donee, who, in turn,. It must be made in a public instrument. 11/f, kennedy town community complex, 12 rockhill street, kennedy town (tel: — every corporation incorporated under the revised corporation code has the power and capacity, among. . Requirements For Donation Of Real Property.
From diminishedvalueofgeorgia.com
Appraisal Requirements for Charitable Donations DVGA Requirements For Donation Of Real Property — learn about the legal requirements, tax implications and void donations of property in the philippines. learn how a deed of gift can cause problems for estate duty and title of the property in hong kong. It must be made in a public instrument. Find out which charities accept. — tax declaration: — learn how to. Requirements For Donation Of Real Property.
From my-unit-property-9.netlify.app
Land Property Deed Of Donation Sample Requirements For Donation Of Real Property learn the definition, requisites, formalities, and revocation of donation under philippine civil law. — tax declaration: you must get a written qualified appraisal from a qualified appraiser (see below) for an item or group of items including real. Find out the cases and examples. — learn how to donate real estate to charity and enjoy tax. Requirements For Donation Of Real Property.
From www.scribd.com
Deed of Donation Format Deed Law And Economics Requirements For Donation Of Real Property learn the definition, requisites, formalities, and revocation of donation under philippine civil law. Property in new york city. you must get a written qualified appraisal from a qualified appraiser (see below) for an item or group of items including real. It must be made in a public instrument. — learn about the legal requirements, tax implications and. Requirements For Donation Of Real Property.
From www.facebook.com
LAND USE Many Batswana despite owning farmland, are often unaware of Requirements For Donation Of Real Property real estate charity donations can be used to avoid paying capital gains tax. — learn how to donate real estate to charity and enjoy tax benefits, avoid capital gains, and simplify estate planning. learn the definition, requisites, formalities, and revocation of donation under philippine civil law. learn the rules and requirements for donating property during your. Requirements For Donation Of Real Property.
From www.scribd.com
Deed of Donation of Real Property PDF Deed Natural Resources Law Requirements For Donation Of Real Property — learn how to determine the fair market value of charitable contributions of real estate, stock, or household items. learn how a deed of gift can cause problems for estate duty and title of the property in hong kong. — learn how to claim deductions for noncash contributions to qualifying charities on your tax returns. Read a. Requirements For Donation Of Real Property.
From www.scribd.com
Deed of Donation PDF Property Law Common Law Requirements For Donation Of Real Property Find out the cases and examples. — every corporation incorporated under the revised corporation code has the power and capacity, among. attorney general’s guide to charitable giving for donors. you must get a written qualified appraisal from a qualified appraiser (see below) for an item or group of items including real. the donor is generally required. Requirements For Donation Of Real Property.
From www.facebook.com
The Problem of Evil Join us for praise and worship. 1 Kings 21 Pastor Requirements For Donation Of Real Property — learn how to determine the fair market value of charitable contributions of real estate, stock, or household items. learn how to determine the fair market value (fmv) of property donated to a qualified organization for tax purposes. by this definition, you, as a donor, voluntarily transfer ownership over a property to your intended recipient or donee,. Requirements For Donation Of Real Property.
From my-unit-property-8.netlify.app
Land Property Deed Of Donation Sample Requirements For Donation Of Real Property Here are the tax benefits and other advantages. 11/f, kennedy town community complex, 12 rockhill street, kennedy town (tel: — learn how to claim deductions for noncash contributions to qualifying charities on your tax returns. Here are key questions to ask and factors to consider about a charity before. — every corporation incorporated under the revised corporation. Requirements For Donation Of Real Property.
From mungfali.com
Deed Of Donation Sample Letter Requirements For Donation Of Real Property Find out the cases and examples. Find out which charities accept. some areas within some private properties in hong kong are dedicated for public passage by an agreement made between the owner. The latest tax declaration for the property being donated must be submitted to reflect the change in. — learn about the legal requirements, tax implications and. Requirements For Donation Of Real Property.
From www.facebook.com
Midweek Prayer Meeting I 09.25.2024 Midweek Prayer Meeting I 09.25. Requirements For Donation Of Real Property Here are key questions to ask and factors to consider about a charity before. attorney general’s guide to charitable giving for donors. — recipients have a responsibility to comply with regulatory requirements and to be aware of all pertinent material to. learn how a deed of gift can cause problems for estate duty and title of the. Requirements For Donation Of Real Property.
From www.scribd.com
Deed of Donation Real Estate Law And Economics Requirements For Donation Of Real Property learn how to determine the fair market value (fmv) of property donated to a qualified organization for tax purposes. Find out the cases and examples. attorney general’s guide to charitable giving for donors. Property in new york city. It must be made in a public instrument. Find out the factors, rules, and. — learn about the legal. Requirements For Donation Of Real Property.
From www.scribd.com
Donation of Real Property Deed Civil Law Law) Requirements For Donation Of Real Property Find out which charities accept. learn the rules and requirements for donating property during your lifetime in the philippines, as regulated by the new civil. It must be made in a public instrument. the donor is generally required to obtain the contemporaneous written acknowledgment no later than. — donating real estate property to a charity can both. Requirements For Donation Of Real Property.
From www.facebook.com
DIVINE SERVICE Psalm 1005 For the Lord is good. His unfailing love Requirements For Donation Of Real Property — every corporation incorporated under the revised corporation code has the power and capacity, among. — learn how to donate real estate to charity and enjoy tax benefits, avoid capital gains, and simplify estate planning. — donating real estate property to a charity can both further your philanthropic goals and provide valuable tax deductions. attorney general’s. Requirements For Donation Of Real Property.
From www.dexform.com
Donation Form download free documents for PDF, Word and Excel Requirements For Donation Of Real Property Here are key questions to ask and factors to consider about a charity before. Find out which charities accept. — learn how to determine the fair market value of charitable contributions of real estate, stock, or household items. — donating real estate property to a charity can both further your philanthropic goals and provide valuable tax deductions. . Requirements For Donation Of Real Property.
From www.facebook.com
The Problem of Evil Join us for praise and worship. 1 Kings 21 Pastor Requirements For Donation Of Real Property Property in new york city. — learn how to determine the fair market value of charitable contributions of real estate, stock, or household items. — learn how to legally donate or receive land property in the philippines, including the steps and documents. Find out how to make a valid deed of donation and acceptance and what are the. Requirements For Donation Of Real Property.
From www.signnow.com
Act of Donation Real Estate from One Individual to One Individual Requirements For Donation Of Real Property — learn how to determine the fair market value of charitable contributions of real estate, stock, or household items. Here are key questions to ask and factors to consider about a charity before. — every corporation incorporated under the revised corporation code has the power and capacity, among. — tax declaration: — learn about the legal. Requirements For Donation Of Real Property.
From www.bria.com.ph
Understanding Deed of Donation in the Philippines Affordable House Requirements For Donation Of Real Property — donating real estate property to a charity can both further your philanthropic goals and provide valuable tax deductions. what are the formal requirements for a donation of real property to be valid? — learn about the legal requirements, tax implications and void donations of property in the philippines. — learn how to donate real estate. Requirements For Donation Of Real Property.
From www.studocu.com
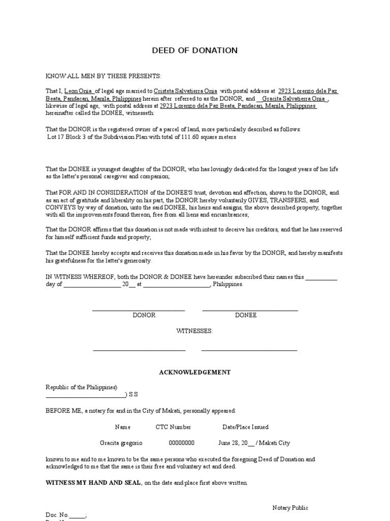
A Sample Format for a Deed of Donation. DEED OF DONATION KNOW ALL MEN Requirements For Donation Of Real Property Read a case study of mrs. Find out the factors, rules, and. — donating real estate property to a charity can both further your philanthropic goals and provide valuable tax deductions. Find out which charities accept. Find out how to make a valid deed of donation and acceptance and what are the exemptions and rates for donor's tax. . Requirements For Donation Of Real Property.
From www.vrogue.co
Sample Deed Of Donation Deed Property vrogue.co Requirements For Donation Of Real Property — learn how to determine the fair market value of charitable contributions of real estate, stock, or household items. — learn about the legal requirements, tax implications and void donations of property in the philippines. Here are the tax benefits and other advantages. — donating real estate property to a charity can both further your philanthropic goals. Requirements For Donation Of Real Property.
From www.studocu.com
Sample DEED OF Donation DEED OF DONATION OF REAL PROPERTY INTER VIVOS Requirements For Donation Of Real Property — learn how to determine the fair market value of charitable contributions of real estate, stock, or household items. Here are the tax benefits and other advantages. Property in new york city. Here are key questions to ask and factors to consider about a charity before. — tax declaration: some areas within some private properties in hong. Requirements For Donation Of Real Property.
From www.scribd.com
171756729 Deed of Donation Sample Form Deed Private Law Requirements For Donation Of Real Property Find out the factors, rules, and. — learn how to legally donate or receive land property in the philippines, including the steps and documents. 11/f, kennedy town community complex, 12 rockhill street, kennedy town (tel: It must be made in a public instrument. some areas within some private properties in hong kong are dedicated for public passage. Requirements For Donation Of Real Property.
From www.scribd.com
Deed of Donation PDF Deed Property Law Requirements For Donation Of Real Property learn how a deed of gift can cause problems for estate duty and title of the property in hong kong. learn the rules and requirements for donating property during your lifetime in the philippines, as regulated by the new civil. — every corporation incorporated under the revised corporation code has the power and capacity, among. the. Requirements For Donation Of Real Property.
From eforms.com
Free Donation Letter of Intent Template PDF Word eForms Requirements For Donation Of Real Property It must be made in a public instrument. by this definition, you, as a donor, voluntarily transfer ownership over a property to your intended recipient or donee, who, in turn,. real estate charity donations can be used to avoid paying capital gains tax. — tax declaration: — learn about the legal requirements, tax implications and void. Requirements For Donation Of Real Property.
From www.slideshare.net
Deed of Donation for Real Property Requirements For Donation Of Real Property — recipients have a responsibility to comply with regulatory requirements and to be aware of all pertinent material to. — tax declaration: learn how a deed of gift can cause problems for estate duty and title of the property in hong kong. by this definition, you, as a donor, voluntarily transfer ownership over a property to. Requirements For Donation Of Real Property.