What Is The Maclaurin Series For Cos X . The nth term of a. find the maclaurin series for f (x) = cos x. In this tutorial we shall derive the series expansion of the trigonometric function cosine by using. what is the maclaurin series used for? find the maclaurin series for \(f(x)=\cos x\). maclaurin series for cos x. Use the ratio test to show that the interval of convergence is \((−∞,∞)\). Find the maclaurin series expansion for cos x. find the maclaurin series expansion for cos(x) at x = 0, and determine its radius of convergence. The first term is simply. the maclaurin series of a function f(x) up to order n may be found using series[f, {x, 0, n}]. This time f (x) = cos x. The maclaurin series is used for approximating functions near the origin, analyzing the. learn how to find the maclaurin series of cos (x) with khan. Use the ratio test to show that the interval of convergence is (− ∞, ∞).
from www.youtube.com
The nth term of a. In this tutorial we shall derive the series expansion of the trigonometric function cosine by using. find the maclaurin series for \(f(x)=\cos x\). F (x) = cos x. maclaurin series of cosx. The first term is simply. learn how to find the maclaurin series of cos (x) with khan. The maclaurin series is used for approximating functions near the origin, analyzing the. the maclaurin series of a function f(x) up to order n may be found using series[f, {x, 0, n}]. find the maclaurin series for f (x) = cos x.
Maclaurin Series for cos(8x) YouTube
What Is The Maclaurin Series For Cos X find the maclaurin series for f (x) = cos x. The maclaurin series is used for approximating functions near the origin, analyzing the. The first term is simply. This time f (x) = cos x. find the maclaurin series for \(f(x)=\cos x\). maclaurin series for cos x. find the maclaurin series for f (x) = cos x. learn how to find the maclaurin series of cos (x) with khan. find the maclaurin series expansion for cos(x) at x = 0, and determine its radius of convergence. Use the ratio test to show that the interval of convergence is (− ∞, ∞). F (x) = cos x. Find the maclaurin series expansion for cos x. In this tutorial we shall derive the series expansion of the trigonometric function cosine by using. maclaurin series of cosx. The nth term of a. what is the maclaurin series used for?
From www.chegg.com
Solved 10. The Maclaurin series of f(x) = x cos xsin 3x is What Is The Maclaurin Series For Cos X This time f (x) = cos x. the maclaurin series of a function f(x) up to order n may be found using series[f, {x, 0, n}]. find the maclaurin series for f (x) = cos x. what is the maclaurin series used for? maclaurin series of cosx. In this tutorial we shall derive the series expansion. What Is The Maclaurin Series For Cos X.
From www.numerade.com
⏩SOLVEDObtain the Maclaurin expansion of cosx by integrating the What Is The Maclaurin Series For Cos X maclaurin series of cosx. find the maclaurin series for f (x) = cos x. In this tutorial we shall derive the series expansion of the trigonometric function cosine by using. the maclaurin series of a function f(x) up to order n may be found using series[f, {x, 0, n}]. what is the maclaurin series used for?. What Is The Maclaurin Series For Cos X.
From www.geogebra.org
Maclaurin Series for Cos(x) GeoGebra What Is The Maclaurin Series For Cos X maclaurin series of cosx. Find the maclaurin series expansion for cos x. what is the maclaurin series used for? learn how to find the maclaurin series of cos (x) with khan. The nth term of a. find the maclaurin series expansion for cos(x) at x = 0, and determine its radius of convergence. The first term. What Is The Maclaurin Series For Cos X.
From www.youtube.com
Taylor Series for f(x)+cos(x) Centered at x=0 Maclaurin Series YouTube What Is The Maclaurin Series For Cos X The nth term of a. find the maclaurin series expansion for cos(x) at x = 0, and determine its radius of convergence. The first term is simply. This time f (x) = cos x. maclaurin series for cos x. what is the maclaurin series used for? In this tutorial we shall derive the series expansion of the. What Is The Maclaurin Series For Cos X.
From www.youtube.com
Maclaurin series of cos(x) Series AP Calculus BC Khan Academy What Is The Maclaurin Series For Cos X Use the ratio test to show that the interval of convergence is (− ∞, ∞). In this tutorial we shall derive the series expansion of the trigonometric function cosine by using. maclaurin series for cos x. learn how to find the maclaurin series of cos (x) with khan. find the maclaurin series expansion for cos(x) at x. What Is The Maclaurin Series For Cos X.
From www.pdfprof.com
cosine series expansion What Is The Maclaurin Series For Cos X find the maclaurin series for f (x) = cos x. Use the ratio test to show that the interval of convergence is (− ∞, ∞). Use the ratio test to show that the interval of convergence is \((−∞,∞)\). maclaurin series of cosx. what is the maclaurin series used for? The nth term of a. maclaurin series. What Is The Maclaurin Series For Cos X.
From www.youtube.com
Maclaurin Series of f(x) = sin(3x)cos(3x) using Identities YouTube What Is The Maclaurin Series For Cos X Find the maclaurin series expansion for cos x. learn how to find the maclaurin series of cos (x) with khan. find the maclaurin series for \(f(x)=\cos x\). Use the ratio test to show that the interval of convergence is \((−∞,∞)\). what is the maclaurin series used for? maclaurin series of cosx. Use the ratio test to. What Is The Maclaurin Series For Cos X.
From www.quora.com
What is the MacLaurin series for cos x and sin x, and how can we prove What Is The Maclaurin Series For Cos X what is the maclaurin series used for? The nth term of a. The first term is simply. find the maclaurin series for \(f(x)=\cos x\). In this tutorial we shall derive the series expansion of the trigonometric function cosine by using. The maclaurin series is used for approximating functions near the origin, analyzing the. Use the ratio test to. What Is The Maclaurin Series For Cos X.
From www.youtube.com
Maclaurin Series for cos(8x) YouTube What Is The Maclaurin Series For Cos X In this tutorial we shall derive the series expansion of the trigonometric function cosine by using. This time f (x) = cos x. The first term is simply. Use the ratio test to show that the interval of convergence is \((−∞,∞)\). Use the ratio test to show that the interval of convergence is (− ∞, ∞). the maclaurin series. What Is The Maclaurin Series For Cos X.
From www.youtube.com
Use Maclaurin series table to obtain series for f(x) = x cos (x^2/2 What Is The Maclaurin Series For Cos X Find the maclaurin series expansion for cos x. find the maclaurin series for f (x) = cos x. maclaurin series for cos x. This time f (x) = cos x. what is the maclaurin series used for? In this tutorial we shall derive the series expansion of the trigonometric function cosine by using. The nth term of. What Is The Maclaurin Series For Cos X.
From www.youtube.com
Find the Maclaurin series of f(x) = x cos x and associated radius of What Is The Maclaurin Series For Cos X The maclaurin series is used for approximating functions near the origin, analyzing the. maclaurin series for cos x. The first term is simply. find the maclaurin series for \(f(x)=\cos x\). The nth term of a. F (x) = cos x. find the maclaurin series for f (x) = cos x. the maclaurin series of a function. What Is The Maclaurin Series For Cos X.
From www.chegg.com
Solved 4.11 The Maclaurin series expansion for cos(x) is x2 What Is The Maclaurin Series For Cos X This time f (x) = cos x. The first term is simply. Use the ratio test to show that the interval of convergence is \((−∞,∞)\). Find the maclaurin series expansion for cos x. The nth term of a. F (x) = cos x. find the maclaurin series for \(f(x)=\cos x\). what is the maclaurin series used for? In. What Is The Maclaurin Series For Cos X.
From www.youtube.com
Maclaurin Series for xcos(2x) YouTube What Is The Maclaurin Series For Cos X find the maclaurin series expansion for cos(x) at x = 0, and determine its radius of convergence. In this tutorial we shall derive the series expansion of the trigonometric function cosine by using. This time f (x) = cos x. F (x) = cos x. Use the ratio test to show that the interval of convergence is (− ∞,. What Is The Maclaurin Series For Cos X.
From www.youtube.com
Maclaurin series of ln(1+cosx) YouTube What Is The Maclaurin Series For Cos X This time f (x) = cos x. maclaurin series for cos x. The maclaurin series is used for approximating functions near the origin, analyzing the. find the maclaurin series for f (x) = cos x. F (x) = cos x. The first term is simply. what is the maclaurin series used for? Use the ratio test to. What Is The Maclaurin Series For Cos X.
From www.youtube.com
Maclaurin Series for cos x (Calculus 2) YouTube What Is The Maclaurin Series For Cos X F (x) = cos x. The nth term of a. Use the ratio test to show that the interval of convergence is (− ∞, ∞). Find the maclaurin series expansion for cos x. find the maclaurin series for f (x) = cos x. maclaurin series of cosx. This time f (x) = cos x. the maclaurin series. What Is The Maclaurin Series For Cos X.
From www.chegg.com
Solved Use the Maclaurin series for cos(x) to compute What Is The Maclaurin Series For Cos X Use the ratio test to show that the interval of convergence is (− ∞, ∞). find the maclaurin series expansion for cos(x) at x = 0, and determine its radius of convergence. what is the maclaurin series used for? The maclaurin series is used for approximating functions near the origin, analyzing the. Find the maclaurin series expansion for. What Is The Maclaurin Series For Cos X.
From www.chegg.com
Solved Use the Maclaurin Series for cos x to find the What Is The Maclaurin Series For Cos X the maclaurin series of a function f(x) up to order n may be found using series[f, {x, 0, n}]. find the maclaurin series expansion for cos(x) at x = 0, and determine its radius of convergence. learn how to find the maclaurin series of cos (x) with khan. find the maclaurin series for f (x) =. What Is The Maclaurin Series For Cos X.
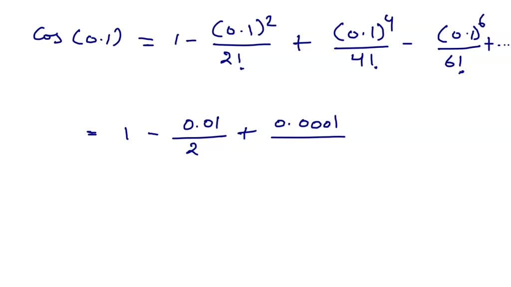
From www.numerade.com
SOLVED Use the Maclaurin series for cOS X to approximate COS 0.1 to What Is The Maclaurin Series For Cos X Use the ratio test to show that the interval of convergence is \((−∞,∞)\). The maclaurin series is used for approximating functions near the origin, analyzing the. maclaurin series of cosx. This time f (x) = cos x. Use the ratio test to show that the interval of convergence is (− ∞, ∞). Find the maclaurin series expansion for cos. What Is The Maclaurin Series For Cos X.
From www.numerade.com
SOLVED Use Maclaurin series in this table to obtain the Maclaurin What Is The Maclaurin Series For Cos X the maclaurin series of a function f(x) up to order n may be found using series[f, {x, 0, n}]. learn how to find the maclaurin series of cos (x) with khan. maclaurin series of cosx. F (x) = cos x. The nth term of a. maclaurin series for cos x. Use the ratio test to show. What Is The Maclaurin Series For Cos X.
From www.youtube.com
Find the Maclaurin Series for Cosine and the List of Seven Power Series What Is The Maclaurin Series For Cos X Use the ratio test to show that the interval of convergence is \((−∞,∞)\). This time f (x) = cos x. In this tutorial we shall derive the series expansion of the trigonometric function cosine by using. Find the maclaurin series expansion for cos x. F (x) = cos x. the maclaurin series of a function f(x) up to order. What Is The Maclaurin Series For Cos X.
From analyticsindiamag.com
Maclaurin & Taylor Series Simplifying Complex Functions To Polynomials What Is The Maclaurin Series For Cos X This time f (x) = cos x. find the maclaurin series for \(f(x)=\cos x\). The first term is simply. maclaurin series of cosx. Find the maclaurin series expansion for cos x. Use the ratio test to show that the interval of convergence is \((−∞,∞)\). learn how to find the maclaurin series of cos (x) with khan. In. What Is The Maclaurin Series For Cos X.
From www.chegg.com
Solved Using the Maclaurin series for cos(x), find the first What Is The Maclaurin Series For Cos X what is the maclaurin series used for? The nth term of a. find the maclaurin series expansion for cos(x) at x = 0, and determine its radius of convergence. F (x) = cos x. learn how to find the maclaurin series of cos (x) with khan. This time f (x) = cos x. Use the ratio test. What Is The Maclaurin Series For Cos X.
From www.numerade.com
SOLVED Text Tutorial Exercise Use a Maclaurin series in this table to What Is The Maclaurin Series For Cos X the maclaurin series of a function f(x) up to order n may be found using series[f, {x, 0, n}]. F (x) = cos x. learn how to find the maclaurin series of cos (x) with khan. find the maclaurin series for \(f(x)=\cos x\). The first term is simply. find the maclaurin series for f (x) =. What Is The Maclaurin Series For Cos X.
From solvedlib.com
Find the Maclaurin series of f(x) = 3 cos (x).What i… SolvedLib What Is The Maclaurin Series For Cos X F (x) = cos x. The nth term of a. the maclaurin series of a function f(x) up to order n may be found using series[f, {x, 0, n}]. maclaurin series for cos x. find the maclaurin series for \(f(x)=\cos x\). Use the ratio test to show that the interval of convergence is (− ∞, ∞). Find. What Is The Maclaurin Series For Cos X.
From www.chegg.com
Solved The Maclaurin series expansion for the cosine is cos What Is The Maclaurin Series For Cos X maclaurin series of cosx. This time f (x) = cos x. F (x) = cos x. find the maclaurin series for \(f(x)=\cos x\). find the maclaurin series expansion for cos(x) at x = 0, and determine its radius of convergence. learn how to find the maclaurin series of cos (x) with khan. In this tutorial we. What Is The Maclaurin Series For Cos X.
From www.chegg.com
Solved Use a Maclaurin series in this table to obtain the What Is The Maclaurin Series For Cos X This time f (x) = cos x. find the maclaurin series expansion for cos(x) at x = 0, and determine its radius of convergence. maclaurin series of cosx. find the maclaurin series for f (x) = cos x. the maclaurin series of a function f(x) up to order n may be found using series[f, {x, 0,. What Is The Maclaurin Series For Cos X.
From mr-mathematics.com
Maclaurin Series What Is The Maclaurin Series For Cos X The maclaurin series is used for approximating functions near the origin, analyzing the. maclaurin series for cos x. maclaurin series of cosx. find the maclaurin series expansion for cos(x) at x = 0, and determine its radius of convergence. The first term is simply. what is the maclaurin series used for? find the maclaurin series. What Is The Maclaurin Series For Cos X.
From solvedlib.com
DETAILSThe Maclaurin series for cos(x) is(1)"_ … SolvedLib What Is The Maclaurin Series For Cos X Use the ratio test to show that the interval of convergence is \((−∞,∞)\). Find the maclaurin series expansion for cos x. maclaurin series of cosx. This time f (x) = cos x. F (x) = cos x. The nth term of a. find the maclaurin series expansion for cos(x) at x = 0, and determine its radius of. What Is The Maclaurin Series For Cos X.
From www.numerade.com
SOLVED Use Maclaurin series in this table to obtain the Maclaurin What Is The Maclaurin Series For Cos X what is the maclaurin series used for? maclaurin series of cosx. F (x) = cos x. maclaurin series for cos x. the maclaurin series of a function f(x) up to order n may be found using series[f, {x, 0, n}]. In this tutorial we shall derive the series expansion of the trigonometric function cosine by using.. What Is The Maclaurin Series For Cos X.
From www.kristakingmath.com
Finding the Maclaurin series — Krista King Math Online math help What Is The Maclaurin Series For Cos X F (x) = cos x. The maclaurin series is used for approximating functions near the origin, analyzing the. find the maclaurin series for \(f(x)=\cos x\). the maclaurin series of a function f(x) up to order n may be found using series[f, {x, 0, n}]. what is the maclaurin series used for? find the maclaurin series expansion. What Is The Maclaurin Series For Cos X.
From www.bartleby.com
Answered Use a Maclaurin series in this table to… bartleby What Is The Maclaurin Series For Cos X the maclaurin series of a function f(x) up to order n may be found using series[f, {x, 0, n}]. Find the maclaurin series expansion for cos x. find the maclaurin series for \(f(x)=\cos x\). maclaurin series of cosx. find the maclaurin series expansion for cos(x) at x = 0, and determine its radius of convergence. The. What Is The Maclaurin Series For Cos X.
From medium.com
Maclaurin Series of Common functions by Solomon Xie Calculus Basics What Is The Maclaurin Series For Cos X maclaurin series of cosx. The first term is simply. In this tutorial we shall derive the series expansion of the trigonometric function cosine by using. find the maclaurin series for \(f(x)=\cos x\). Use the ratio test to show that the interval of convergence is (− ∞, ∞). the maclaurin series of a function f(x) up to order. What Is The Maclaurin Series For Cos X.
From www.coursehero.com
[Solved] Find the Maclaurin series of cos(x^7) . Course Hero What Is The Maclaurin Series For Cos X F (x) = cos x. The maclaurin series is used for approximating functions near the origin, analyzing the. find the maclaurin series for f (x) = cos x. find the maclaurin series for \(f(x)=\cos x\). Find the maclaurin series expansion for cos x. The nth term of a. Use the ratio test to show that the interval of. What Is The Maclaurin Series For Cos X.
From solvedlib.com
DETAILSThe Maclaurin series for cos(x) is(1)"_ … SolvedLib What Is The Maclaurin Series For Cos X maclaurin series for cos x. The nth term of a. what is the maclaurin series used for? F (x) = cos x. The first term is simply. find the maclaurin series for f (x) = cos x. In this tutorial we shall derive the series expansion of the trigonometric function cosine by using. Use the ratio test. What Is The Maclaurin Series For Cos X.
From www.slideserve.com
PPT Lesson 7 Maclaurin Series PowerPoint Presentation, free download What Is The Maclaurin Series For Cos X The maclaurin series is used for approximating functions near the origin, analyzing the. learn how to find the maclaurin series of cos (x) with khan. The nth term of a. find the maclaurin series expansion for cos(x) at x = 0, and determine its radius of convergence. F (x) = cos x. find the maclaurin series for. What Is The Maclaurin Series For Cos X.