How To Solve Quadratic Equation Using Kapek Calculator . Solves by factoring, square root, quadratic formula methods. This calculator solves quadratic equations using three different methods: Uses the quadratic formula to solve a. This quadratic equation calculator lets you calculate the roots or solutions for a quadratic equation. The quadratic formula method, completing the square, and the. Y = x² + 2x − 3 and its solution. Calculate the solutions of the the quadratic equation below by using the quadratic formula : Calculator solution will show work for real and complex roots. Enter the equation you want to solve using the quadratic formula. If you need to solve an equation of the form ax² + bx + c = 0, this quadratic formula calculator is here to help you. With just a few clicks, you will be able to solve even the. The calculator will tell you not only. Solve quadratic equations using a quadratic formula calculator. The quadratic formula calculator finds solutions to quadratic.
from www.tessshebaylo.com
The calculator will tell you not only. The quadratic formula method, completing the square, and the. If you need to solve an equation of the form ax² + bx + c = 0, this quadratic formula calculator is here to help you. Enter the equation you want to solve using the quadratic formula. This quadratic equation calculator lets you calculate the roots or solutions for a quadratic equation. This calculator solves quadratic equations using three different methods: Uses the quadratic formula to solve a. Calculate the solutions of the the quadratic equation below by using the quadratic formula : Solve quadratic equations using a quadratic formula calculator. With just a few clicks, you will be able to solve even the.
How To Solve Quadratic Equations On A Graphing Calculator Tessshebaylo
How To Solve Quadratic Equation Using Kapek Calculator The calculator will tell you not only. The calculator will tell you not only. Calculate the solutions of the the quadratic equation below by using the quadratic formula : Calculator solution will show work for real and complex roots. With just a few clicks, you will be able to solve even the. The quadratic formula calculator finds solutions to quadratic. Solve quadratic equations using a quadratic formula calculator. The quadratic formula method, completing the square, and the. Solves by factoring, square root, quadratic formula methods. This quadratic equation calculator lets you calculate the roots or solutions for a quadratic equation. This calculator solves quadratic equations using three different methods: Y = x² + 2x − 3 and its solution. If you need to solve an equation of the form ax² + bx + c = 0, this quadratic formula calculator is here to help you. Uses the quadratic formula to solve a. Enter the equation you want to solve using the quadratic formula.
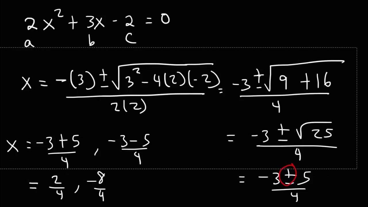
From thirdspacelearning.com
Quadratic Equation GCSE Maths Steps, Examples & Worksheet How To Solve Quadratic Equation Using Kapek Calculator Uses the quadratic formula to solve a. Solve quadratic equations using a quadratic formula calculator. If you need to solve an equation of the form ax² + bx + c = 0, this quadratic formula calculator is here to help you. Calculate the solutions of the the quadratic equation below by using the quadratic formula : The quadratic formula calculator. How To Solve Quadratic Equation Using Kapek Calculator.
From www.tessshebaylo.com
How To Solve Quadratic Equations On A Graphing Calculator Tessshebaylo How To Solve Quadratic Equation Using Kapek Calculator Solve quadratic equations using a quadratic formula calculator. Y = x² + 2x − 3 and its solution. Calculator solution will show work for real and complex roots. Solves by factoring, square root, quadratic formula methods. Calculate the solutions of the the quadratic equation below by using the quadratic formula : This calculator solves quadratic equations using three different methods:. How To Solve Quadratic Equation Using Kapek Calculator.
From www.youtube.com
How to Solve Quadratic Equations that Have 2 Terms StepbyStep How To Solve Quadratic Equation Using Kapek Calculator If you need to solve an equation of the form ax² + bx + c = 0, this quadratic formula calculator is here to help you. This quadratic equation calculator lets you calculate the roots or solutions for a quadratic equation. Solve quadratic equations using a quadratic formula calculator. Calculator solution will show work for real and complex roots. The. How To Solve Quadratic Equation Using Kapek Calculator.
From www.wikihow.com
3 Ways to Solve Quadratic Equations wikiHow How To Solve Quadratic Equation Using Kapek Calculator Y = x² + 2x − 3 and its solution. With just a few clicks, you will be able to solve even the. The quadratic formula calculator finds solutions to quadratic. Solve quadratic equations using a quadratic formula calculator. Calculate the solutions of the the quadratic equation below by using the quadratic formula : Enter the equation you want to. How To Solve Quadratic Equation Using Kapek Calculator.
From learningzoneandranjizd.z14.web.core.windows.net
Systems Of Quadratic Equations Calculator How To Solve Quadratic Equation Using Kapek Calculator With just a few clicks, you will be able to solve even the. Enter the equation you want to solve using the quadratic formula. Y = x² + 2x − 3 and its solution. Uses the quadratic formula to solve a. Solve quadratic equations using a quadratic formula calculator. Solves by factoring, square root, quadratic formula methods. If you need. How To Solve Quadratic Equation Using Kapek Calculator.
From www.youtube.com
How to Solve a Quadratic Equation Using the Quadratic Formula A Quick How To Solve Quadratic Equation Using Kapek Calculator With just a few clicks, you will be able to solve even the. Y = x² + 2x − 3 and its solution. The quadratic formula method, completing the square, and the. The calculator will tell you not only. This calculator solves quadratic equations using three different methods: Calculator solution will show work for real and complex roots. Uses the. How To Solve Quadratic Equation Using Kapek Calculator.
From education.casio.co.uk
Quadratic Equations Solving Numerically Casio Calculators How To Solve Quadratic Equation Using Kapek Calculator The quadratic formula method, completing the square, and the. If you need to solve an equation of the form ax² + bx + c = 0, this quadratic formula calculator is here to help you. Y = x² + 2x − 3 and its solution. Enter the equation you want to solve using the quadratic formula. Solves by factoring, square. How To Solve Quadratic Equation Using Kapek Calculator.
From www.youtube.com
How to solve Quadratic Equation directly using Scientific Calculator How To Solve Quadratic Equation Using Kapek Calculator Enter the equation you want to solve using the quadratic formula. If you need to solve an equation of the form ax² + bx + c = 0, this quadratic formula calculator is here to help you. Calculate the solutions of the the quadratic equation below by using the quadratic formula : The quadratic formula method, completing the square, and. How To Solve Quadratic Equation Using Kapek Calculator.
From www.wikihow.com
How to Solve Quadratic Equations in 3 Quick & Easy Methods How To Solve Quadratic Equation Using Kapek Calculator Uses the quadratic formula to solve a. This calculator solves quadratic equations using three different methods: The calculator will tell you not only. Solves by factoring, square root, quadratic formula methods. Enter the equation you want to solve using the quadratic formula. Calculator solution will show work for real and complex roots. This quadratic equation calculator lets you calculate the. How To Solve Quadratic Equation Using Kapek Calculator.
From www.youtube.com
How To Solve Quadratic Equations Using The Quadratic Formula YouTube How To Solve Quadratic Equation Using Kapek Calculator The quadratic formula calculator finds solutions to quadratic. Uses the quadratic formula to solve a. If you need to solve an equation of the form ax² + bx + c = 0, this quadratic formula calculator is here to help you. Calculate the solutions of the the quadratic equation below by using the quadratic formula : Calculator solution will show. How To Solve Quadratic Equation Using Kapek Calculator.
From www.youtube.com
How to Solve Quadratic Equations in SECONDS Quick & Easy Trick YouTube How To Solve Quadratic Equation Using Kapek Calculator If you need to solve an equation of the form ax² + bx + c = 0, this quadratic formula calculator is here to help you. Calculator solution will show work for real and complex roots. This quadratic equation calculator lets you calculate the roots or solutions for a quadratic equation. This calculator solves quadratic equations using three different methods:. How To Solve Quadratic Equation Using Kapek Calculator.
From www.youtube.com
How to Solve Quadratic Equations using the Quadratic Formula YouTube How To Solve Quadratic Equation Using Kapek Calculator Solve quadratic equations using a quadratic formula calculator. Solves by factoring, square root, quadratic formula methods. With just a few clicks, you will be able to solve even the. Uses the quadratic formula to solve a. The calculator will tell you not only. Enter the equation you want to solve using the quadratic formula. This calculator solves quadratic equations using. How To Solve Quadratic Equation Using Kapek Calculator.
From pdfprof.com
roots of quadratic equation calculator with steps How To Solve Quadratic Equation Using Kapek Calculator The calculator will tell you not only. Uses the quadratic formula to solve a. Calculate the solutions of the the quadratic equation below by using the quadratic formula : Enter the equation you want to solve using the quadratic formula. Calculator solution will show work for real and complex roots. This quadratic equation calculator lets you calculate the roots or. How To Solve Quadratic Equation Using Kapek Calculator.
From ihsanpedia.com
How To Solve Quadratic Equations IHSANPEDIA How To Solve Quadratic Equation Using Kapek Calculator Solves by factoring, square root, quadratic formula methods. Uses the quadratic formula to solve a. Enter the equation you want to solve using the quadratic formula. Calculator solution will show work for real and complex roots. If you need to solve an equation of the form ax² + bx + c = 0, this quadratic formula calculator is here to. How To Solve Quadratic Equation Using Kapek Calculator.
From www.tessshebaylo.com
How Do You Solve Quadratic Equations On A Calculator Tessshebaylo How To Solve Quadratic Equation Using Kapek Calculator Enter the equation you want to solve using the quadratic formula. Uses the quadratic formula to solve a. With just a few clicks, you will be able to solve even the. If you need to solve an equation of the form ax² + bx + c = 0, this quadratic formula calculator is here to help you. The calculator will. How To Solve Quadratic Equation Using Kapek Calculator.
From mathsathome.com
How to Solve Quadratic Equations How To Solve Quadratic Equation Using Kapek Calculator Calculator solution will show work for real and complex roots. The quadratic formula method, completing the square, and the. The calculator will tell you not only. This calculator solves quadratic equations using three different methods: Solves by factoring, square root, quadratic formula methods. Enter the equation you want to solve using the quadratic formula. If you need to solve an. How To Solve Quadratic Equation Using Kapek Calculator.
From www.youtube.com
How To Solve Quadratic Equations Using The Quadratic Formular How To Solve Quadratic Equation Using Kapek Calculator The quadratic formula method, completing the square, and the. The quadratic formula calculator finds solutions to quadratic. The calculator will tell you not only. If you need to solve an equation of the form ax² + bx + c = 0, this quadratic formula calculator is here to help you. Enter the equation you want to solve using the quadratic. How To Solve Quadratic Equation Using Kapek Calculator.
From www.tessshebaylo.com
How To Solve Quadratic Equations Using Scientific Calculator Casio Fx How To Solve Quadratic Equation Using Kapek Calculator If you need to solve an equation of the form ax² + bx + c = 0, this quadratic formula calculator is here to help you. This quadratic equation calculator lets you calculate the roots or solutions for a quadratic equation. The calculator will tell you not only. The quadratic formula method, completing the square, and the. Solves by factoring,. How To Solve Quadratic Equation Using Kapek Calculator.
From lessonschoolquartzy.z5.web.core.windows.net
Factoring To Solve Quadratic Equations Practice How To Solve Quadratic Equation Using Kapek Calculator Calculate the solutions of the the quadratic equation below by using the quadratic formula : The calculator will tell you not only. This calculator solves quadratic equations using three different methods: If you need to solve an equation of the form ax² + bx + c = 0, this quadratic formula calculator is here to help you. With just a. How To Solve Quadratic Equation Using Kapek Calculator.
From www.youtube.com
How To Solve Quadratic Equations Using The Quadratic Formula YouTube How To Solve Quadratic Equation Using Kapek Calculator The quadratic formula calculator finds solutions to quadratic. Enter the equation you want to solve using the quadratic formula. Calculate the solutions of the the quadratic equation below by using the quadratic formula : The calculator will tell you not only. The quadratic formula method, completing the square, and the. This calculator solves quadratic equations using three different methods: If. How To Solve Quadratic Equation Using Kapek Calculator.
From www.inchcalculator.com
Quadratic Formula Calculator (with Steps) Inch Calculator How To Solve Quadratic Equation Using Kapek Calculator The quadratic formula calculator finds solutions to quadratic. Uses the quadratic formula to solve a. Calculator solution will show work for real and complex roots. Enter the equation you want to solve using the quadratic formula. The calculator will tell you not only. With just a few clicks, you will be able to solve even the. Solves by factoring, square. How To Solve Quadratic Equation Using Kapek Calculator.
From ihsanpedia.com
How To Solve Quadratic Equations IHSANPEDIA How To Solve Quadratic Equation Using Kapek Calculator Solve quadratic equations using a quadratic formula calculator. With just a few clicks, you will be able to solve even the. Calculator solution will show work for real and complex roots. The calculator will tell you not only. The quadratic formula calculator finds solutions to quadratic. Calculate the solutions of the the quadratic equation below by using the quadratic formula. How To Solve Quadratic Equation Using Kapek Calculator.
From intomath.org
The Quadratic Formula. Its Origin and Application IntoMath How To Solve Quadratic Equation Using Kapek Calculator Y = x² + 2x − 3 and its solution. Uses the quadratic formula to solve a. Calculator solution will show work for real and complex roots. Enter the equation you want to solve using the quadratic formula. If you need to solve an equation of the form ax² + bx + c = 0, this quadratic formula calculator is. How To Solve Quadratic Equation Using Kapek Calculator.
From www.youtube.com
How to use the Quadratic Formula to Solve Quadratic Equations YouTube How To Solve Quadratic Equation Using Kapek Calculator The calculator will tell you not only. This quadratic equation calculator lets you calculate the roots or solutions for a quadratic equation. Solve quadratic equations using a quadratic formula calculator. Calculator solution will show work for real and complex roots. This calculator solves quadratic equations using three different methods: Solves by factoring, square root, quadratic formula methods. The quadratic formula. How To Solve Quadratic Equation Using Kapek Calculator.
From gineersnow.com
How to Solve Quadratic Equations (Ultimate Guide) GineersNow How To Solve Quadratic Equation Using Kapek Calculator This calculator solves quadratic equations using three different methods: With just a few clicks, you will be able to solve even the. The quadratic formula calculator finds solutions to quadratic. Enter the equation you want to solve using the quadratic formula. This quadratic equation calculator lets you calculate the roots or solutions for a quadratic equation. The calculator will tell. How To Solve Quadratic Equation Using Kapek Calculator.
From www.youtube.com
How to Solve This Quadratic Equation Step by Step… YouTube How To Solve Quadratic Equation Using Kapek Calculator The calculator will tell you not only. Solves by factoring, square root, quadratic formula methods. This quadratic equation calculator lets you calculate the roots or solutions for a quadratic equation. Calculate the solutions of the the quadratic equation below by using the quadratic formula : Uses the quadratic formula to solve a. Enter the equation you want to solve using. How To Solve Quadratic Equation Using Kapek Calculator.
From www.tessshebaylo.com
How To Solve Quadratic Equations By Using The Formula Calculator How To Solve Quadratic Equation Using Kapek Calculator Calculate the solutions of the the quadratic equation below by using the quadratic formula : The calculator will tell you not only. Solve quadratic equations using a quadratic formula calculator. With just a few clicks, you will be able to solve even the. Enter the equation you want to solve using the quadratic formula. If you need to solve an. How To Solve Quadratic Equation Using Kapek Calculator.
From www.youtube.com
How To Solve Quadratic Equations By Factoring Quick & Simple How To Solve Quadratic Equation Using Kapek Calculator Calculate the solutions of the the quadratic equation below by using the quadratic formula : Enter the equation you want to solve using the quadratic formula. Y = x² + 2x − 3 and its solution. The quadratic formula method, completing the square, and the. The quadratic formula calculator finds solutions to quadratic. The calculator will tell you not only.. How To Solve Quadratic Equation Using Kapek Calculator.
From www.youtube.com
Choose the best method for solving a quadratic equation YouTube How To Solve Quadratic Equation Using Kapek Calculator The calculator will tell you not only. Calculate the solutions of the the quadratic equation below by using the quadratic formula : Calculator solution will show work for real and complex roots. Enter the equation you want to solve using the quadratic formula. The quadratic formula calculator finds solutions to quadratic. This calculator solves quadratic equations using three different methods:. How To Solve Quadratic Equation Using Kapek Calculator.
From www.youtube.com
Solve algebraic equation in MATLAB solve quadratic equation in MATLAB How To Solve Quadratic Equation Using Kapek Calculator The quadratic formula method, completing the square, and the. The calculator will tell you not only. Calculate the solutions of the the quadratic equation below by using the quadratic formula : Calculator solution will show work for real and complex roots. Uses the quadratic formula to solve a. This calculator solves quadratic equations using three different methods: Enter the equation. How To Solve Quadratic Equation Using Kapek Calculator.
From www.tessshebaylo.com
Solving Quadratic Equations Tessshebaylo How To Solve Quadratic Equation Using Kapek Calculator Solve quadratic equations using a quadratic formula calculator. If you need to solve an equation of the form ax² + bx + c = 0, this quadratic formula calculator is here to help you. Uses the quadratic formula to solve a. This quadratic equation calculator lets you calculate the roots or solutions for a quadratic equation. With just a few. How To Solve Quadratic Equation Using Kapek Calculator.
From www.pinterest.com
Using the Numeric Solver to Solve Equations in Quadratic Form (TI84 How To Solve Quadratic Equation Using Kapek Calculator The quadratic formula method, completing the square, and the. Calculate the solutions of the the quadratic equation below by using the quadratic formula : Solve quadratic equations using a quadratic formula calculator. The quadratic formula calculator finds solutions to quadratic. If you need to solve an equation of the form ax² + bx + c = 0, this quadratic formula. How To Solve Quadratic Equation Using Kapek Calculator.
From www.onlinemathcalculator.com
Quadratic Equation Solver with Graph How To Solve Quadratic Equation Using Kapek Calculator Calculator solution will show work for real and complex roots. Uses the quadratic formula to solve a. This quadratic equation calculator lets you calculate the roots or solutions for a quadratic equation. The quadratic formula calculator finds solutions to quadratic. Enter the equation you want to solve using the quadratic formula. Solve quadratic equations using a quadratic formula calculator. The. How To Solve Quadratic Equation Using Kapek Calculator.
From www.youtube.com
5 How to Solve Quadratic Equations Using the Quadratic Formula Step by How To Solve Quadratic Equation Using Kapek Calculator Enter the equation you want to solve using the quadratic formula. Solve quadratic equations using a quadratic formula calculator. Calculate the solutions of the the quadratic equation below by using the quadratic formula : With just a few clicks, you will be able to solve even the. The calculator will tell you not only. Calculator solution will show work for. How To Solve Quadratic Equation Using Kapek Calculator.
From crystalclearmaths.com
How to Factorise Quadratic Expressions and Solve Quadratic Equations How To Solve Quadratic Equation Using Kapek Calculator The calculator will tell you not only. The quadratic formula calculator finds solutions to quadratic. Y = x² + 2x − 3 and its solution. Enter the equation you want to solve using the quadratic formula. If you need to solve an equation of the form ax² + bx + c = 0, this quadratic formula calculator is here to. How To Solve Quadratic Equation Using Kapek Calculator.