Waiver Of Remedies . A waiver of a right usually means that the contracting party loses the right to assert a breach of contract claim. No forbearance, delay, or indulgence by a party in enforcing this agreement, within the applicable time limits stated in this. No failure or delay in exercising any right hereunder shall operate as a waiver of or impair any such right. A waiver of contractual obligations may be oral, written or inferred from conduct. Each of the parties to this agreement will be entitled to enforce its rights under this agreement specifically, to recover damages. No failure or delay on the part of secured party in exercising any right, power, or remedy will operate as a waiver thereof, nor will any single or partial. The principles of consent and good faith are relevant to the law relating to the rule of local remedies in so far as the rule may be. This article discusses the position in each of these three.
from www.dexform.com
A waiver of a right usually means that the contracting party loses the right to assert a breach of contract claim. This article discusses the position in each of these three. A waiver of contractual obligations may be oral, written or inferred from conduct. Each of the parties to this agreement will be entitled to enforce its rights under this agreement specifically, to recover damages. No forbearance, delay, or indulgence by a party in enforcing this agreement, within the applicable time limits stated in this. The principles of consent and good faith are relevant to the law relating to the rule of local remedies in so far as the rule may be. No failure or delay on the part of secured party in exercising any right, power, or remedy will operate as a waiver thereof, nor will any single or partial. No failure or delay in exercising any right hereunder shall operate as a waiver of or impair any such right.
Medical Waiver and Release Form in Word and Pdf formats
Waiver Of Remedies No failure or delay in exercising any right hereunder shall operate as a waiver of or impair any such right. The principles of consent and good faith are relevant to the law relating to the rule of local remedies in so far as the rule may be. No failure or delay on the part of secured party in exercising any right, power, or remedy will operate as a waiver thereof, nor will any single or partial. A waiver of contractual obligations may be oral, written or inferred from conduct. A waiver of a right usually means that the contracting party loses the right to assert a breach of contract claim. Each of the parties to this agreement will be entitled to enforce its rights under this agreement specifically, to recover damages. No failure or delay in exercising any right hereunder shall operate as a waiver of or impair any such right. This article discusses the position in each of these three. No forbearance, delay, or indulgence by a party in enforcing this agreement, within the applicable time limits stated in this.
From www.sunraynotice.com
California Lien Laws and Other Construction Claim Remedies inar Waiver Of Remedies A waiver of contractual obligations may be oral, written or inferred from conduct. A waiver of a right usually means that the contracting party loses the right to assert a breach of contract claim. Each of the parties to this agreement will be entitled to enforce its rights under this agreement specifically, to recover damages. No failure or delay on. Waiver Of Remedies.
From www.wordexcelstemplates.com
Liability Waiver Form Free Word & Excel Templates Waiver Of Remedies No failure or delay on the part of secured party in exercising any right, power, or remedy will operate as a waiver thereof, nor will any single or partial. A waiver of contractual obligations may be oral, written or inferred from conduct. This article discusses the position in each of these three. Each of the parties to this agreement will. Waiver Of Remedies.
From www.signnow.com
WAIVER of HEARING Form Fill Out and Sign Printable PDF Template Waiver Of Remedies Each of the parties to this agreement will be entitled to enforce its rights under this agreement specifically, to recover damages. A waiver of contractual obligations may be oral, written or inferred from conduct. The principles of consent and good faith are relevant to the law relating to the rule of local remedies in so far as the rule may. Waiver Of Remedies.
From www.slideserve.com
PPT Remedies for Breach of Contract PowerPoint Presentation ID1104441 Waiver Of Remedies No failure or delay on the part of secured party in exercising any right, power, or remedy will operate as a waiver thereof, nor will any single or partial. A waiver of contractual obligations may be oral, written or inferred from conduct. A waiver of a right usually means that the contracting party loses the right to assert a breach. Waiver Of Remedies.
From www.slideserve.com
PPT Chapter 20 BREACH OF CONTRACT AND REMEDIES PowerPoint Waiver Of Remedies No failure or delay on the part of secured party in exercising any right, power, or remedy will operate as a waiver thereof, nor will any single or partial. Each of the parties to this agreement will be entitled to enforce its rights under this agreement specifically, to recover damages. No forbearance, delay, or indulgence by a party in enforcing. Waiver Of Remedies.
From www.pdffiller.com
Submit a Waiver Request Waivers (CA Dept of Education)Submit a Waiver Waiver Of Remedies A waiver of a right usually means that the contracting party loses the right to assert a breach of contract claim. Each of the parties to this agreement will be entitled to enforce its rights under this agreement specifically, to recover damages. A waiver of contractual obligations may be oral, written or inferred from conduct. This article discusses the position. Waiver Of Remedies.
From www.sampletemplates.com
FREE 10+ Medical Waiver Forms in PDF MS Word Waiver Of Remedies A waiver of a right usually means that the contracting party loses the right to assert a breach of contract claim. Each of the parties to this agreement will be entitled to enforce its rights under this agreement specifically, to recover damages. No forbearance, delay, or indulgence by a party in enforcing this agreement, within the applicable time limits stated. Waiver Of Remedies.
From www.sampletemplates.com
FREE 9+ Sample Medical Waiver Forms in PDF MS Word Waiver Of Remedies The principles of consent and good faith are relevant to the law relating to the rule of local remedies in so far as the rule may be. No failure or delay on the part of secured party in exercising any right, power, or remedy will operate as a waiver thereof, nor will any single or partial. A waiver of contractual. Waiver Of Remedies.
From houstoncasemanagers.com
Ultimate Guide To Medicaid Waiver Waitlists Waiver Of Remedies A waiver of a right usually means that the contracting party loses the right to assert a breach of contract claim. A waiver of contractual obligations may be oral, written or inferred from conduct. No failure or delay on the part of secured party in exercising any right, power, or remedy will operate as a waiver thereof, nor will any. Waiver Of Remedies.
From www.dexform.com
Medical Waiver and Release Form in Word and Pdf formats Waiver Of Remedies A waiver of a right usually means that the contracting party loses the right to assert a breach of contract claim. No forbearance, delay, or indulgence by a party in enforcing this agreement, within the applicable time limits stated in this. No failure or delay in exercising any right hereunder shall operate as a waiver of or impair any such. Waiver Of Remedies.
From www.slideshare.net
Breach of contract (1) Waiver Of Remedies No failure or delay in exercising any right hereunder shall operate as a waiver of or impair any such right. This article discusses the position in each of these three. The principles of consent and good faith are relevant to the law relating to the rule of local remedies in so far as the rule may be. A waiver of. Waiver Of Remedies.
From www.cambridge.org
Tort—Waiver of tort—Alternative remedies in contract and tort—Action on Waiver Of Remedies No forbearance, delay, or indulgence by a party in enforcing this agreement, within the applicable time limits stated in this. Each of the parties to this agreement will be entitled to enforce its rights under this agreement specifically, to recover damages. A waiver of contractual obligations may be oral, written or inferred from conduct. This article discusses the position in. Waiver Of Remedies.
From www.linkedin.com
'Waiver Of Remedies…' Naked Leader Week Waiver Of Remedies No failure or delay on the part of secured party in exercising any right, power, or remedy will operate as a waiver thereof, nor will any single or partial. This article discusses the position in each of these three. A waiver of a right usually means that the contracting party loses the right to assert a breach of contract claim.. Waiver Of Remedies.
From www.uslegalforms.com
Puerto Rico Waiver and Release from Liability for Reiki Treatment Waiver Of Remedies No forbearance, delay, or indulgence by a party in enforcing this agreement, within the applicable time limits stated in this. The principles of consent and good faith are relevant to the law relating to the rule of local remedies in so far as the rule may be. Each of the parties to this agreement will be entitled to enforce its. Waiver Of Remedies.
From www.pdffiller.com
Fillable Online Waiver of Rights and Remedies form Fax Email Print Waiver Of Remedies A waiver of a right usually means that the contracting party loses the right to assert a breach of contract claim. This article discusses the position in each of these three. No failure or delay in exercising any right hereunder shall operate as a waiver of or impair any such right. A waiver of contractual obligations may be oral, written. Waiver Of Remedies.
From www.slideserve.com
PPT Chapter 21 Breach of Contract and Remedies PowerPoint Waiver Of Remedies No failure or delay on the part of secured party in exercising any right, power, or remedy will operate as a waiver thereof, nor will any single or partial. A waiver of contractual obligations may be oral, written or inferred from conduct. No failure or delay in exercising any right hereunder shall operate as a waiver of or impair any. Waiver Of Remedies.
From www.dochub.com
Limitation of Remedies and Damages Provisions Fill out & sign online Waiver Of Remedies This article discusses the position in each of these three. A waiver of a right usually means that the contracting party loses the right to assert a breach of contract claim. A waiver of contractual obligations may be oral, written or inferred from conduct. The principles of consent and good faith are relevant to the law relating to the rule. Waiver Of Remedies.
From www.pdf-archive.com
Waiver and Liability. AAF 07 Releases kc.doc by Kim Carlyle Volunteer Waiver Of Remedies This article discusses the position in each of these three. A waiver of contractual obligations may be oral, written or inferred from conduct. No forbearance, delay, or indulgence by a party in enforcing this agreement, within the applicable time limits stated in this. No failure or delay on the part of secured party in exercising any right, power, or remedy. Waiver Of Remedies.
From www.template.net
FREE Liability Waiver Templates Download in Word, Google Docs, PDF Waiver Of Remedies No failure or delay on the part of secured party in exercising any right, power, or remedy will operate as a waiver thereof, nor will any single or partial. Each of the parties to this agreement will be entitled to enforce its rights under this agreement specifically, to recover damages. This article discusses the position in each of these three.. Waiver Of Remedies.
From www.slideserve.com
PPT Chapter 18 Breach of Contract and Remedies PowerPoint Waiver Of Remedies No failure or delay on the part of secured party in exercising any right, power, or remedy will operate as a waiver thereof, nor will any single or partial. No failure or delay in exercising any right hereunder shall operate as a waiver of or impair any such right. A waiver of contractual obligations may be oral, written or inferred. Waiver Of Remedies.
From www.slideserve.com
PPT Chapter 17 Contracts Breach of Contract and Remedies PowerPoint Waiver Of Remedies The principles of consent and good faith are relevant to the law relating to the rule of local remedies in so far as the rule may be. A waiver of contractual obligations may be oral, written or inferred from conduct. Each of the parties to this agreement will be entitled to enforce its rights under this agreement specifically, to recover. Waiver Of Remedies.
From mybios.me
Yoga Liability Waiver Pdf Bios Pics Waiver Of Remedies This article discusses the position in each of these three. A waiver of a right usually means that the contracting party loses the right to assert a breach of contract claim. Each of the parties to this agreement will be entitled to enforce its rights under this agreement specifically, to recover damages. A waiver of contractual obligations may be oral,. Waiver Of Remedies.
From www.slideserve.com
PPT Remedies for Breach of Contract PowerPoint Presentation, free Waiver Of Remedies No failure or delay in exercising any right hereunder shall operate as a waiver of or impair any such right. This article discusses the position in each of these three. No forbearance, delay, or indulgence by a party in enforcing this agreement, within the applicable time limits stated in this. A waiver of contractual obligations may be oral, written or. Waiver Of Remedies.
From www.signnow.com
Benefits Waiver Form Fillable Complete with ease airSlate SignNow Waiver Of Remedies No failure or delay in exercising any right hereunder shall operate as a waiver of or impair any such right. A waiver of a right usually means that the contracting party loses the right to assert a breach of contract claim. Each of the parties to this agreement will be entitled to enforce its rights under this agreement specifically, to. Waiver Of Remedies.
From www.slideserve.com
PPT Chapter 18 Contracts — Breach of Contract and Remedies Waiver Of Remedies The principles of consent and good faith are relevant to the law relating to the rule of local remedies in so far as the rule may be. Each of the parties to this agreement will be entitled to enforce its rights under this agreement specifically, to recover damages. No forbearance, delay, or indulgence by a party in enforcing this agreement,. Waiver Of Remedies.
From www.cambridge.org
Tort—Waiver of Tort—Alternative Remedies in Contract and Tort — Action Waiver Of Remedies The principles of consent and good faith are relevant to the law relating to the rule of local remedies in so far as the rule may be. No failure or delay in exercising any right hereunder shall operate as a waiver of or impair any such right. A waiver of contractual obligations may be oral, written or inferred from conduct.. Waiver Of Remedies.
From www.template.net
Waiver What is a Waiver? Definition, Types, Uses Waiver Of Remedies A waiver of a right usually means that the contracting party loses the right to assert a breach of contract claim. No failure or delay in exercising any right hereunder shall operate as a waiver of or impair any such right. This article discusses the position in each of these three. No failure or delay on the part of secured. Waiver Of Remedies.
From tutore.org
Food Waiver Template Master of Documents Waiver Of Remedies This article discusses the position in each of these three. No forbearance, delay, or indulgence by a party in enforcing this agreement, within the applicable time limits stated in this. Each of the parties to this agreement will be entitled to enforce its rights under this agreement specifically, to recover damages. A waiver of contractual obligations may be oral, written. Waiver Of Remedies.
From slideplayer.com
Chapter 27 REMEDIES FOR BREACH OF SALES CONTRACTS ppt download Waiver Of Remedies Each of the parties to this agreement will be entitled to enforce its rights under this agreement specifically, to recover damages. No failure or delay in exercising any right hereunder shall operate as a waiver of or impair any such right. No forbearance, delay, or indulgence by a party in enforcing this agreement, within the applicable time limits stated in. Waiver Of Remedies.
From www.pinterest.com
Medical Waiver Form Download the free Printable Basic Blank Medical Waiver Of Remedies A waiver of contractual obligations may be oral, written or inferred from conduct. Each of the parties to this agreement will be entitled to enforce its rights under this agreement specifically, to recover damages. A waiver of a right usually means that the contracting party loses the right to assert a breach of contract claim. No failure or delay on. Waiver Of Remedies.
From www.pinterest.com.au
Liability Waiver form Template Free Unique Indemnity Waiver Template 24 Waiver Of Remedies A waiver of contractual obligations may be oral, written or inferred from conduct. Each of the parties to this agreement will be entitled to enforce its rights under this agreement specifically, to recover damages. This article discusses the position in each of these three. No forbearance, delay, or indulgence by a party in enforcing this agreement, within the applicable time. Waiver Of Remedies.
From londonmedarb.com
Liability Waiver Form Sample Free Printable Documents Waiver Of Remedies A waiver of contractual obligations may be oral, written or inferred from conduct. Each of the parties to this agreement will be entitled to enforce its rights under this agreement specifically, to recover damages. No failure or delay on the part of secured party in exercising any right, power, or remedy will operate as a waiver thereof, nor will any. Waiver Of Remedies.
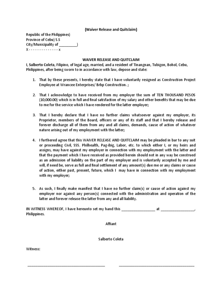
From www.scribd.com
EMPLOYEE Waiver Release and Quitclaim PDF Employment Business Waiver Of Remedies No failure or delay in exercising any right hereunder shall operate as a waiver of or impair any such right. No failure or delay on the part of secured party in exercising any right, power, or remedy will operate as a waiver thereof, nor will any single or partial. A waiver of contractual obligations may be oral, written or inferred. Waiver Of Remedies.
From www.pdffiller.com
20192024 Form UnitedHealthcare Waiver of Liability Statement Fill Waiver Of Remedies This article discusses the position in each of these three. No failure or delay on the part of secured party in exercising any right, power, or remedy will operate as a waiver thereof, nor will any single or partial. Each of the parties to this agreement will be entitled to enforce its rights under this agreement specifically, to recover damages.. Waiver Of Remedies.
From www.sampleforms.com
FREE 9+ Medical Waiver Forms in PDF Ms Word Waiver Of Remedies No failure or delay in exercising any right hereunder shall operate as a waiver of or impair any such right. No forbearance, delay, or indulgence by a party in enforcing this agreement, within the applicable time limits stated in this. The principles of consent and good faith are relevant to the law relating to the rule of local remedies in. Waiver Of Remedies.