Differentials Error Approximation . Write the linearization of a given function. Calculate the relative error and percentage error in using a differential. Write the linearization of a given function. Describe the linear approximation to a function at a point. Draw a graph that illustrates the use of differentials to approximate the change in a. Here you will learn what is differentials errors and approximations with examples. Draw a graph that illustrates the use of. Draw a graph that illustrates the use of differentials to approximate the change in a quantity; Example 1 linear approximation of the square root. Let $f(x) = x^{1/2}.$ find the linear approximation of $f$ near $x = 4$ (at the point $(4, f(4)) = (4, 2)$ on the graph), and use it to. Write the linearization of a given function. Compute the volume of the cube if the side length is (i) 4.9. Draw a graph that illustrates the use of differentials to approximate the change in a. Describe the linear approximation to a function at a point. Write the linearization of a given function.
from www.slideserve.com
Write the linearization of a given function. Write the linearization of a given function. Draw a graph that illustrates the use of differentials to approximate the change in a. Calculate the relative error and percentage error in using a differential. Example 1 linear approximation of the square root. Describe the linear approximation to a function at a point. Describe the linear approximation to a function at a point. Draw a graph that illustrates the use of differentials to approximate the change in a quantity; Draw a graph that illustrates the use of differentials to approximate the change in a. Describe the linear approximation to a function at a point.
PPT 3020 Differentials and Linear Approximation PowerPoint
Differentials Error Approximation Describe the linear approximation to a function at a point. Draw a graph that illustrates the use of differentials to approximate the change in a quantity; Describe the linear approximation to a function at a point. Use differentials to estimate the error in the computed volume of the cube. Draw a graph that illustrates the use of. Example 1 linear approximation of the square root. Draw a graph that illustrates the use of differentials to approximate the change in a. Here you will learn what is differentials errors and approximations with examples. Describe the linear approximation to a function at a point. Describe the linear approximation to a function at a point. Draw a graph that illustrates the use of differentials to approximate the change in a. Draw a graph that illustrates the use of. Describe the linear approximation to a function at a point. Write the linearization of a given function. Write the linearization of a given function. Compute the volume of the cube if the side length is (i) 4.9.
From www.slideserve.com
PPT 3020 Differentials and Linear Approximation PowerPoint Differentials Error Approximation Draw a graph that illustrates the use of differentials to approximate the change in a. Calculate the relative error and percentage error in using a differential. Use differentials to estimate the error in the computed volume of the cube. Example 1 linear approximation of the square root. Write the linearization of a given function. Draw a graph that illustrates the. Differentials Error Approximation.
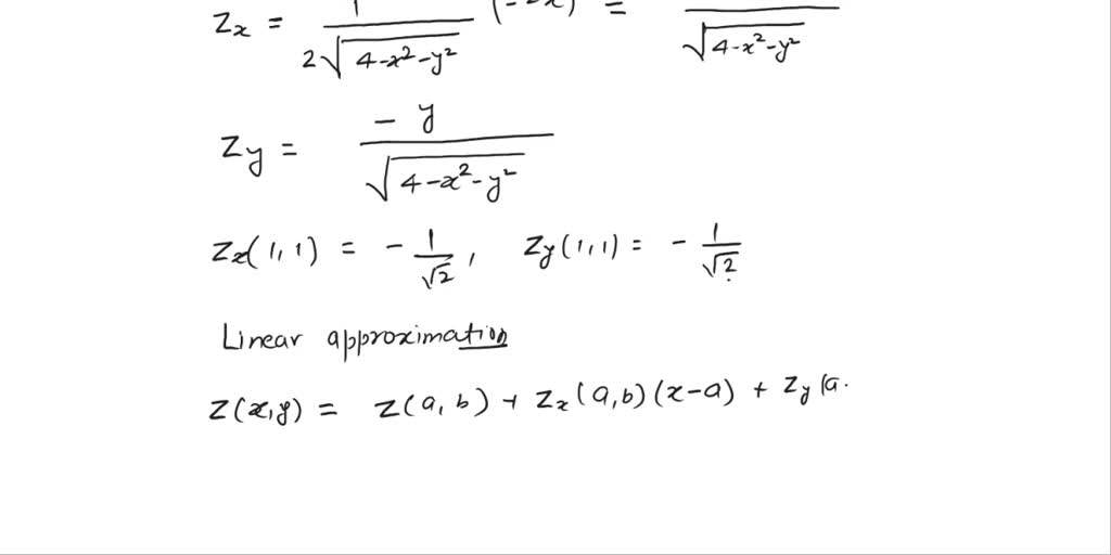
From www.coursehero.com
[Solved] Use a linear approximation (or differentials) to estimate the Differentials Error Approximation Describe the linear approximation to a function at a point. Draw a graph that illustrates the use of differentials to approximate the change in a. Example 1 linear approximation of the square root. Write the linearization of a given function. Draw a graph that illustrates the use of differentials to approximate the change in a quantity; Draw a graph that. Differentials Error Approximation.
From www.youtube.com
Applications of Differentiation Error Approximation YouTube Differentials Error Approximation Draw a graph that illustrates the use of. Write the linearization of a given function. Here you will learn what is differentials errors and approximations with examples. Compute the volume of the cube if the side length is (i) 4.9. Describe the linear approximation to a function at a point. Describe the linear approximation to a function at a point.. Differentials Error Approximation.
From www.youtube.com
APPROXIMATE ERROR USING DIFFERENTIALS How to use the differential dy Differentials Error Approximation Describe the linear approximation to a function at a point. Draw a graph that illustrates the use of. Draw a graph that illustrates the use of differentials to approximate the change in a. Draw a graph that illustrates the use of differentials to approximate the change in a. Describe the linear approximation to a function at a point. Describe the. Differentials Error Approximation.
From www.slideserve.com
PPT 3020 Differentials and Linear Approximation PowerPoint Differentials Error Approximation Describe the linear approximation to a function at a point. Let $f(x) = x^{1/2}.$ find the linear approximation of $f$ near $x = 4$ (at the point $(4, f(4)) = (4, 2)$ on the graph), and use it to. Draw a graph that illustrates the use of. Write the linearization of a given function. Write the linearization of a given. Differentials Error Approximation.
From www.youtube.com
Approximation Using Differentials YouTube Differentials Error Approximation Example 1 linear approximation of the square root. Draw a graph that illustrates the use of differentials to approximate the change in a. Describe the linear approximation to a function at a point. Write the linearization of a given function. Here you will learn what is differentials errors and approximations with examples. Let $f(x) = x^{1/2}.$ find the linear approximation. Differentials Error Approximation.
From studylib.net
Differentials and Error Propagation Differentials Error Approximation Describe the linear approximation to a function at a point. Example 1 linear approximation of the square root. Draw a graph that illustrates the use of differentials to approximate the change in a. Write the linearization of a given function. Write the linearization of a given function. Draw a graph that illustrates the use of. Use differentials to estimate the. Differentials Error Approximation.
From www.numerade.com
SOLVED a) Use differentials to approximate the change in z = 14 x Differentials Error Approximation Calculate the relative error and percentage error in using a differential. Draw a graph that illustrates the use of. Use differentials to estimate the error in the computed volume of the cube. Write the linearization of a given function. Describe the linear approximation to a function at a point. Write the linearization of a given function. Let $f(x) = x^{1/2}.$. Differentials Error Approximation.
From www.slideserve.com
PPT 3020 Differentials and Linear Approximation PowerPoint Differentials Error Approximation Write the linearization of a given function. Draw a graph that illustrates the use of. Describe the linear approximation to a function at a point. Describe the linear approximation to a function at a point. Describe the linear approximation to a function at a point. Write the linearization of a given function. Use differentials to estimate the error in the. Differentials Error Approximation.
From slideplayer.com
Linear Approximation and Differentials ppt download Differentials Error Approximation Calculate the relative error and percentage error in using a differential. Use differentials to estimate the error in the computed volume of the cube. Write the linearization of a given function. Write the linearization of a given function. Describe the linear approximation to a function at a point. Draw a graph that illustrates the use of differentials to approximate the. Differentials Error Approximation.
From www.youtube.com
Differentials Application Percent Error YouTube Differentials Error Approximation Describe the linear approximation to a function at a point. Draw a graph that illustrates the use of differentials to approximate the change in a quantity; Draw a graph that illustrates the use of. Here you will learn what is differentials errors and approximations with examples. Use differentials to estimate the error in the computed volume of the cube. Example. Differentials Error Approximation.
From www.youtube.com
Differentials and Relative Error YouTube Differentials Error Approximation Write the linearization of a given function. Describe the linear approximation to a function at a point. Use differentials to estimate the error in the computed volume of the cube. Draw a graph that illustrates the use of differentials to approximate the change in a. Draw a graph that illustrates the use of differentials to approximate the change in a.. Differentials Error Approximation.
From www.slideshare.net
Lesson 12 Linear Approximation and Differentials (Section 41 slides) Differentials Error Approximation Let $f(x) = x^{1/2}.$ find the linear approximation of $f$ near $x = 4$ (at the point $(4, f(4)) = (4, 2)$ on the graph), and use it to. Here you will learn what is differentials errors and approximations with examples. Describe the linear approximation to a function at a point. Compute the volume of the cube if the side. Differentials Error Approximation.
From peakd.com
Linear Approximation Differentials Notation Example PeakD Differentials Error Approximation Compute the volume of the cube if the side length is (i) 4.9. Calculate the relative error and percentage error in using a differential. Describe the linear approximation to a function at a point. Example 1 linear approximation of the square root. Use differentials to estimate the error in the computed volume of the cube. Write the linearization of a. Differentials Error Approximation.
From www.slideserve.com
PPT 3020 Differentials and Linear Approximation PowerPoint Differentials Error Approximation Describe the linear approximation to a function at a point. Compute the volume of the cube if the side length is (i) 4.9. Write the linearization of a given function. Describe the linear approximation to a function at a point. Use differentials to estimate the error in the computed volume of the cube. Let $f(x) = x^{1/2}.$ find the linear. Differentials Error Approximation.
From www.slideshare.net
Lesson 12 Linear Approximation and Differentials Differentials Error Approximation Write the linearization of a given function. Use differentials to estimate the error in the computed volume of the cube. Draw a graph that illustrates the use of. Draw a graph that illustrates the use of differentials to approximate the change in a. Write the linearization of a given function. Describe the linear approximation to a function at a point.. Differentials Error Approximation.
From byjus.com
RD Sharma Class 12 Solutions Updated for 202324 Chapter 14 Differentials Error Approximation Describe the linear approximation to a function at a point. Write the linearization of a given function. Draw a graph that illustrates the use of differentials to approximate the change in a quantity; Let $f(x) = x^{1/2}.$ find the linear approximation of $f$ near $x = 4$ (at the point $(4, f(4)) = (4, 2)$ on the graph), and use. Differentials Error Approximation.
From dmpeli.math.mcmaster.ca
Errors of the difference approximations for derivatives Differentials Error Approximation Let $f(x) = x^{1/2}.$ find the linear approximation of $f$ near $x = 4$ (at the point $(4, f(4)) = (4, 2)$ on the graph), and use it to. Describe the linear approximation to a function at a point. Calculate the relative error and percentage error in using a differential. Write the linearization of a given function. Draw a graph. Differentials Error Approximation.
From slideplayer.com
Linear Approximation and Differentials ppt download Differentials Error Approximation Describe the linear approximation to a function at a point. Here you will learn what is differentials errors and approximations with examples. Draw a graph that illustrates the use of differentials to approximate the change in a. Let $f(x) = x^{1/2}.$ find the linear approximation of $f$ near $x = 4$ (at the point $(4, f(4)) = (4, 2)$ on. Differentials Error Approximation.
From www.slideserve.com
PPT Linear Approximation and Differentials PowerPoint Presentation Differentials Error Approximation Here you will learn what is differentials errors and approximations with examples. Let $f(x) = x^{1/2}.$ find the linear approximation of $f$ near $x = 4$ (at the point $(4, f(4)) = (4, 2)$ on the graph), and use it to. Example 1 linear approximation of the square root. Use differentials to estimate the error in the computed volume of. Differentials Error Approximation.
From www.slideserve.com
PPT Linear Approximation and Differentials PowerPoint Presentation Differentials Error Approximation Describe the linear approximation to a function at a point. Draw a graph that illustrates the use of. Write the linearization of a given function. Draw a graph that illustrates the use of differentials to approximate the change in a quantity; Use differentials to estimate the error in the computed volume of the cube. Draw a graph that illustrates the. Differentials Error Approximation.
From www.teachoo.com
Question 9 Use differential to approximate (25)1/3 Examples Differentials Error Approximation Draw a graph that illustrates the use of differentials to approximate the change in a. Draw a graph that illustrates the use of differentials to approximate the change in a quantity; Compute the volume of the cube if the side length is (i) 4.9. Describe the linear approximation to a function at a point. Write the linearization of a given. Differentials Error Approximation.
From www.youtube.com
Calculus II, Lecture 14, V3 Error of Approximation YouTube Differentials Error Approximation Draw a graph that illustrates the use of differentials to approximate the change in a. Use differentials to estimate the error in the computed volume of the cube. Draw a graph that illustrates the use of differentials to approximate the change in a. Draw a graph that illustrates the use of. Write the linearization of a given function. Write the. Differentials Error Approximation.
From byjus.com
RD Sharma Class 12 Solutions Updated for 202324 Chapter 14 Differentials Error Approximation Draw a graph that illustrates the use of. Write the linearization of a given function. Example 1 linear approximation of the square root. Draw a graph that illustrates the use of differentials to approximate the change in a. Describe the linear approximation to a function at a point. Write the linearization of a given function. Draw a graph that illustrates. Differentials Error Approximation.
From www.youtube.com
Differentials and Maximum Error YouTube Differentials Error Approximation Let $f(x) = x^{1/2}.$ find the linear approximation of $f$ near $x = 4$ (at the point $(4, f(4)) = (4, 2)$ on the graph), and use it to. Draw a graph that illustrates the use of. Write the linearization of a given function. Describe the linear approximation to a function at a point. Describe the linear approximation to a. Differentials Error Approximation.
From www.youtube.com
Calculus… Linear and Differentials Approximation Error Applications Differentials Error Approximation Example 1 linear approximation of the square root. Draw a graph that illustrates the use of. Here you will learn what is differentials errors and approximations with examples. Let $f(x) = x^{1/2}.$ find the linear approximation of $f$ near $x = 4$ (at the point $(4, f(4)) = (4, 2)$ on the graph), and use it to. Describe the linear. Differentials Error Approximation.
From owlcation.com
Linear Approximation and Differentials in Calculus Owlcation Differentials Error Approximation Describe the linear approximation to a function at a point. Draw a graph that illustrates the use of differentials to approximate the change in a quantity; Describe the linear approximation to a function at a point. Write the linearization of a given function. Draw a graph that illustrates the use of. Calculate the relative error and percentage error in using. Differentials Error Approximation.
From www.slideshare.net
Lesson 12 Linear Approximation and Differentials Differentials Error Approximation Let $f(x) = x^{1/2}.$ find the linear approximation of $f$ near $x = 4$ (at the point $(4, f(4)) = (4, 2)$ on the graph), and use it to. Example 1 linear approximation of the square root. Draw a graph that illustrates the use of. Draw a graph that illustrates the use of. Draw a graph that illustrates the use. Differentials Error Approximation.
From www.youtube.com
Ex Use Differentials to Approximate Possible Error Finding the Surface Differentials Error Approximation Write the linearization of a given function. Calculate the relative error and percentage error in using a differential. Describe the linear approximation to a function at a point. Describe the linear approximation to a function at a point. Draw a graph that illustrates the use of differentials to approximate the change in a. Compute the volume of the cube if. Differentials Error Approximation.
From www.learncbse.in
RD Sharma Class 12 Solutions Chapter 14 Differentials Errors and Differentials Error Approximation Describe the linear approximation to a function at a point. Write the linearization of a given function. Draw a graph that illustrates the use of. Describe the linear approximation to a function at a point. Compute the volume of the cube if the side length is (i) 4.9. Draw a graph that illustrates the use of differentials to approximate the. Differentials Error Approximation.
From byjus.com
RD Sharma Class 12 Solutions Updated for 202324 Chapter 14 Differentials Error Approximation Write the linearization of a given function. Describe the linear approximation to a function at a point. Describe the linear approximation to a function at a point. Draw a graph that illustrates the use of. Let $f(x) = x^{1/2}.$ find the linear approximation of $f$ near $x = 4$ (at the point $(4, f(4)) = (4, 2)$ on the graph),. Differentials Error Approximation.
From www.youtube.com
Errors Approximations Using Differentials YouTube Differentials Error Approximation Draw a graph that illustrates the use of differentials to approximate the change in a. Write the linearization of a given function. Here you will learn what is differentials errors and approximations with examples. Describe the linear approximation to a function at a point. Describe the linear approximation to a function at a point. Use differentials to estimate the error. Differentials Error Approximation.
From www.youtube.com
Ex Differentials to Approximate Propagated Error and Relative Error Differentials Error Approximation Describe the linear approximation to a function at a point. Compute the volume of the cube if the side length is (i) 4.9. Write the linearization of a given function. Draw a graph that illustrates the use of differentials to approximate the change in a. Describe the linear approximation to a function at a point. Draw a graph that illustrates. Differentials Error Approximation.
From www.physicsforums.com
Finding maximum percentage error using differentials? Differentials Error Approximation Draw a graph that illustrates the use of. Calculate the relative error and percentage error in using a differential. Write the linearization of a given function. Compute the volume of the cube if the side length is (i) 4.9. Use differentials to estimate the error in the computed volume of the cube. Draw a graph that illustrates the use of.. Differentials Error Approximation.
From mathhints.com
Differentials, Linear Approximation, and Error Propagation Math Hints Differentials Error Approximation Draw a graph that illustrates the use of differentials to approximate the change in a. Example 1 linear approximation of the square root. Write the linearization of a given function. Draw a graph that illustrates the use of differentials to approximate the change in a quantity; Let $f(x) = x^{1/2}.$ find the linear approximation of $f$ near $x = 4$. Differentials Error Approximation.