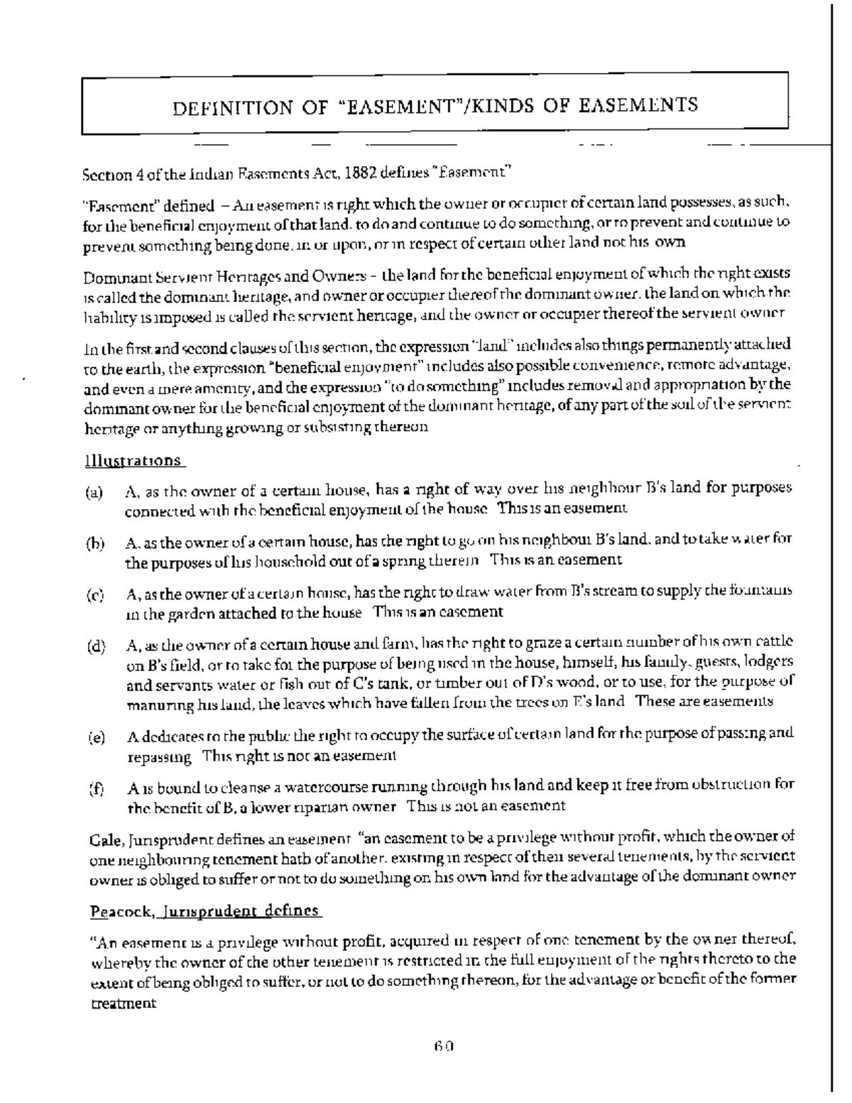
Oklahoma Easement Laws . First are burdens or servitudes upon land which may be. The easements can be used for power lines, pipelines, roadways, communication lines and other linear capabilities. New easements are usually issued for a maximum term of 20 years. In oklahoma, the prescriptive period is 15 years. Do easements expire after a set period of time? Oklahoma law statutorily recognizes two historically distinct types of easements. Limited property use by someone who does not actually own the property can be made possible in oklahoma through an easement, as our tulsa property law blog explains. The following land burdens or servitudes upon land, may be attached to other land as incidents or appurtenances, and are then called easements:. Oklahoma property owners face unique challenges when it comes to understanding and navigating eminent domain and easement laws. An experienced real estate attorney at jones property law can help you ensure an easement is created in your favor, or better yet, prepare a.
from www.uslegalforms.com
An experienced real estate attorney at jones property law can help you ensure an easement is created in your favor, or better yet, prepare a. In oklahoma, the prescriptive period is 15 years. Limited property use by someone who does not actually own the property can be made possible in oklahoma through an easement, as our tulsa property law blog explains. Oklahoma law statutorily recognizes two historically distinct types of easements. The easements can be used for power lines, pipelines, roadways, communication lines and other linear capabilities. The following land burdens or servitudes upon land, may be attached to other land as incidents or appurtenances, and are then called easements:. Do easements expire after a set period of time? First are burdens or servitudes upon land which may be. New easements are usually issued for a maximum term of 20 years. Oklahoma property owners face unique challenges when it comes to understanding and navigating eminent domain and easement laws.
Colorado Reciprocal Easement Agreement Reciprocal Easement Agreement
Oklahoma Easement Laws The following land burdens or servitudes upon land, may be attached to other land as incidents or appurtenances, and are then called easements:. Limited property use by someone who does not actually own the property can be made possible in oklahoma through an easement, as our tulsa property law blog explains. The following land burdens or servitudes upon land, may be attached to other land as incidents or appurtenances, and are then called easements:. Do easements expire after a set period of time? The easements can be used for power lines, pipelines, roadways, communication lines and other linear capabilities. Oklahoma law statutorily recognizes two historically distinct types of easements. Oklahoma property owners face unique challenges when it comes to understanding and navigating eminent domain and easement laws. New easements are usually issued for a maximum term of 20 years. An experienced real estate attorney at jones property law can help you ensure an easement is created in your favor, or better yet, prepare a. In oklahoma, the prescriptive period is 15 years. First are burdens or servitudes upon land which may be.
From www.uslegalforms.com
Amendment to Easement and RightofWay Templet For Amendment Of Row Oklahoma Easement Laws In oklahoma, the prescriptive period is 15 years. First are burdens or servitudes upon land which may be. Oklahoma law statutorily recognizes two historically distinct types of easements. New easements are usually issued for a maximum term of 20 years. Oklahoma property owners face unique challenges when it comes to understanding and navigating eminent domain and easement laws. An experienced. Oklahoma Easement Laws.
From www.bundrenlaw.com
Understanding Oklahoma's Easement Laws Oklahoma Easement Laws Do easements expire after a set period of time? In oklahoma, the prescriptive period is 15 years. Oklahoma law statutorily recognizes two historically distinct types of easements. First are burdens or servitudes upon land which may be. An experienced real estate attorney at jones property law can help you ensure an easement is created in your favor, or better yet,. Oklahoma Easement Laws.
From www.studocu.com
Land Law (Easements and Profits) Land Law Easements and Pro昀椀ts Oklahoma Easement Laws An experienced real estate attorney at jones property law can help you ensure an easement is created in your favor, or better yet, prepare a. New easements are usually issued for a maximum term of 20 years. First are burdens or servitudes upon land which may be. The easements can be used for power lines, pipelines, roadways, communication lines and. Oklahoma Easement Laws.
From forms.deeds.com
Oklahoma Termination of EasementN Deeds Oklahoma Easement Laws In oklahoma, the prescriptive period is 15 years. Oklahoma law statutorily recognizes two historically distinct types of easements. Limited property use by someone who does not actually own the property can be made possible in oklahoma through an easement, as our tulsa property law blog explains. The following land burdens or servitudes upon land, may be attached to other land. Oklahoma Easement Laws.
From www.youtube.com
The Law of Easements YouTube Oklahoma Easement Laws An experienced real estate attorney at jones property law can help you ensure an easement is created in your favor, or better yet, prepare a. Oklahoma law statutorily recognizes two historically distinct types of easements. New easements are usually issued for a maximum term of 20 years. Oklahoma property owners face unique challenges when it comes to understanding and navigating. Oklahoma Easement Laws.
From www.uslegalforms.com
Colorado Reciprocal Easement Agreement Reciprocal Easement Agreement Oklahoma Easement Laws The easements can be used for power lines, pipelines, roadways, communication lines and other linear capabilities. Oklahoma law statutorily recognizes two historically distinct types of easements. An experienced real estate attorney at jones property law can help you ensure an easement is created in your favor, or better yet, prepare a. First are burdens or servitudes upon land which may. Oklahoma Easement Laws.
From www.studocu.com
8) Easements.Case Law NA. Topic Eight Easements What is an Oklahoma Easement Laws Oklahoma law statutorily recognizes two historically distinct types of easements. The easements can be used for power lines, pipelines, roadways, communication lines and other linear capabilities. The following land burdens or servitudes upon land, may be attached to other land as incidents or appurtenances, and are then called easements:. In oklahoma, the prescriptive period is 15 years. First are burdens. Oklahoma Easement Laws.
From www.studocu.com
4. Easements 20192020 Land Law Seminar 4 Easements Gray & Gray Oklahoma Easement Laws Limited property use by someone who does not actually own the property can be made possible in oklahoma through an easement, as our tulsa property law blog explains. In oklahoma, the prescriptive period is 15 years. New easements are usually issued for a maximum term of 20 years. The following land burdens or servitudes upon land, may be attached to. Oklahoma Easement Laws.
From www.uslegalforms.com
Oklahoma Easement Agreement (Pipeline for Gas and other Substances Oklahoma Easement Laws The following land burdens or servitudes upon land, may be attached to other land as incidents or appurtenances, and are then called easements:. First are burdens or servitudes upon land which may be. Oklahoma property owners face unique challenges when it comes to understanding and navigating eminent domain and easement laws. Limited property use by someone who does not actually. Oklahoma Easement Laws.
From www.studocu.com
Overview of Law on Easements Overview of Law on Easements Definition Oklahoma Easement Laws Limited property use by someone who does not actually own the property can be made possible in oklahoma through an easement, as our tulsa property law blog explains. Oklahoma law statutorily recognizes two historically distinct types of easements. First are burdens or servitudes upon land which may be. Oklahoma property owners face unique challenges when it comes to understanding and. Oklahoma Easement Laws.
From www.uslegalforms.com
OKEAS1 Fill and Sign Printable Template Online US Legal Forms Oklahoma Easement Laws First are burdens or servitudes upon land which may be. The easements can be used for power lines, pipelines, roadways, communication lines and other linear capabilities. In oklahoma, the prescriptive period is 15 years. Do easements expire after a set period of time? New easements are usually issued for a maximum term of 20 years. Oklahoma law statutorily recognizes two. Oklahoma Easement Laws.
From www.hml-law.net
Easements & Property Rights in Ohio HML Law Oklahoma Easement Laws The following land burdens or servitudes upon land, may be attached to other land as incidents or appurtenances, and are then called easements:. Do easements expire after a set period of time? The easements can be used for power lines, pipelines, roadways, communication lines and other linear capabilities. In oklahoma, the prescriptive period is 15 years. New easements are usually. Oklahoma Easement Laws.
From www.studocu.com
Definition and Kinds of Easement Law Of Property And Easement Studocu Oklahoma Easement Laws An experienced real estate attorney at jones property law can help you ensure an easement is created in your favor, or better yet, prepare a. The following land burdens or servitudes upon land, may be attached to other land as incidents or appurtenances, and are then called easements:. Oklahoma property owners face unique challenges when it comes to understanding and. Oklahoma Easement Laws.
From www.uslegalforms.com
Pedestrian Access Easement Pedestrian Access Easement US Legal Forms Oklahoma Easement Laws An experienced real estate attorney at jones property law can help you ensure an easement is created in your favor, or better yet, prepare a. Limited property use by someone who does not actually own the property can be made possible in oklahoma through an easement, as our tulsa property law blog explains. New easements are usually issued for a. Oklahoma Easement Laws.
From www.lorman.com
Easements and RightsofWay in Oklahoma — Report Lorman Education Oklahoma Easement Laws In oklahoma, the prescriptive period is 15 years. New easements are usually issued for a maximum term of 20 years. Oklahoma law statutorily recognizes two historically distinct types of easements. Oklahoma property owners face unique challenges when it comes to understanding and navigating eminent domain and easement laws. An experienced real estate attorney at jones property law can help you. Oklahoma Easement Laws.
From www.uslegalforms.com
Oklahoma Easement Form US Legal Forms Oklahoma Easement Laws In oklahoma, the prescriptive period is 15 years. The following land burdens or servitudes upon land, may be attached to other land as incidents or appurtenances, and are then called easements:. New easements are usually issued for a maximum term of 20 years. Limited property use by someone who does not actually own the property can be made possible in. Oklahoma Easement Laws.
From www.uslegalforms.com
Oklahoma Temporary Construction Easement Corporate or Partnership Oklahoma Easement Laws In oklahoma, the prescriptive period is 15 years. New easements are usually issued for a maximum term of 20 years. The easements can be used for power lines, pipelines, roadways, communication lines and other linear capabilities. An experienced real estate attorney at jones property law can help you ensure an easement is created in your favor, or better yet, prepare. Oklahoma Easement Laws.
From fairwaystables.com
Oklahoma Equine Laws Oklahoma Easement Laws First are burdens or servitudes upon land which may be. Do easements expire after a set period of time? An experienced real estate attorney at jones property law can help you ensure an easement is created in your favor, or better yet, prepare a. Oklahoma property owners face unique challenges when it comes to understanding and navigating eminent domain and. Oklahoma Easement Laws.
From www.uslegalforms.com
Right Of Way Easement For Ingress And Egress US Legal Forms Oklahoma Easement Laws The easements can be used for power lines, pipelines, roadways, communication lines and other linear capabilities. Do easements expire after a set period of time? New easements are usually issued for a maximum term of 20 years. First are burdens or servitudes upon land which may be. In oklahoma, the prescriptive period is 15 years. Oklahoma property owners face unique. Oklahoma Easement Laws.
From clarkelandconservation.org
Our Easement Map Oklahoma Easement Laws The easements can be used for power lines, pipelines, roadways, communication lines and other linear capabilities. New easements are usually issued for a maximum term of 20 years. An experienced real estate attorney at jones property law can help you ensure an easement is created in your favor, or better yet, prepare a. Do easements expire after a set period. Oklahoma Easement Laws.
From www.uslegalforms.com
Easement In Land Law Meaning US Legal Forms Oklahoma Easement Laws An experienced real estate attorney at jones property law can help you ensure an easement is created in your favor, or better yet, prepare a. Limited property use by someone who does not actually own the property can be made possible in oklahoma through an easement, as our tulsa property law blog explains. Do easements expire after a set period. Oklahoma Easement Laws.
From www.signnow.com
Ok Easement Complete with ease airSlate SignNow Oklahoma Easement Laws An experienced real estate attorney at jones property law can help you ensure an easement is created in your favor, or better yet, prepare a. First are burdens or servitudes upon land which may be. The easements can be used for power lines, pipelines, roadways, communication lines and other linear capabilities. In oklahoma, the prescriptive period is 15 years. Limited. Oklahoma Easement Laws.
From www.scribd.com
OK 2. OK 3. OK But No Explanation 4. OK 5. OK 6. OK 7. 8. 9. OK 10. 11 Oklahoma Easement Laws In oklahoma, the prescriptive period is 15 years. The following land burdens or servitudes upon land, may be attached to other land as incidents or appurtenances, and are then called easements:. An experienced real estate attorney at jones property law can help you ensure an easement is created in your favor, or better yet, prepare a. Limited property use by. Oklahoma Easement Laws.
From www.signnow.com
Oklahoma Easement Complete with ease airSlate SignNow Oklahoma Easement Laws Limited property use by someone who does not actually own the property can be made possible in oklahoma through an easement, as our tulsa property law blog explains. Oklahoma law statutorily recognizes two historically distinct types of easements. First are burdens or servitudes upon land which may be. New easements are usually issued for a maximum term of 20 years.. Oklahoma Easement Laws.
From midwestmoa.com
Easements Midwest Mitigation Oversight Association Oklahoma Easement Laws Oklahoma law statutorily recognizes two historically distinct types of easements. First are burdens or servitudes upon land which may be. Oklahoma property owners face unique challenges when it comes to understanding and navigating eminent domain and easement laws. The following land burdens or servitudes upon land, may be attached to other land as incidents or appurtenances, and are then called. Oklahoma Easement Laws.
From www.deeds.com
Oklahoma Oklahoma Easement Laws Oklahoma law statutorily recognizes two historically distinct types of easements. First are burdens or servitudes upon land which may be. New easements are usually issued for a maximum term of 20 years. The easements can be used for power lines, pipelines, roadways, communication lines and other linear capabilities. An experienced real estate attorney at jones property law can help you. Oklahoma Easement Laws.
From www.uslegalforms.com
Oklahoma Temporary Grading Easement US Legal Forms Oklahoma Easement Laws New easements are usually issued for a maximum term of 20 years. The easements can be used for power lines, pipelines, roadways, communication lines and other linear capabilities. Limited property use by someone who does not actually own the property can be made possible in oklahoma through an easement, as our tulsa property law blog explains. First are burdens or. Oklahoma Easement Laws.
From www.dochub.com
Easement laws in oklahoma Fill out & sign online DocHub Oklahoma Easement Laws The easements can be used for power lines, pipelines, roadways, communication lines and other linear capabilities. Oklahoma property owners face unique challenges when it comes to understanding and navigating eminent domain and easement laws. First are burdens or servitudes upon land which may be. The following land burdens or servitudes upon land, may be attached to other land as incidents. Oklahoma Easement Laws.
From winbladlaw.com
Bluestem Pipeline, LLC Firm Fights for Landowner Rights Pipeline Oklahoma Easement Laws Limited property use by someone who does not actually own the property can be made possible in oklahoma through an easement, as our tulsa property law blog explains. New easements are usually issued for a maximum term of 20 years. Do easements expire after a set period of time? Oklahoma property owners face unique challenges when it comes to understanding. Oklahoma Easement Laws.
From www.pdffiller.com
Fillable Online Oklahoma Easement 497323259 Form Prebuilt template Oklahoma Easement Laws Do easements expire after a set period of time? The following land burdens or servitudes upon land, may be attached to other land as incidents or appurtenances, and are then called easements:. Oklahoma property owners face unique challenges when it comes to understanding and navigating eminent domain and easement laws. Limited property use by someone who does not actually own. Oklahoma Easement Laws.
From www.deeds.com
Oklahoma Termination of Easement Forms Oklahoma Easement Laws In oklahoma, the prescriptive period is 15 years. Oklahoma law statutorily recognizes two historically distinct types of easements. First are burdens or servitudes upon land which may be. An experienced real estate attorney at jones property law can help you ensure an easement is created in your favor, or better yet, prepare a. New easements are usually issued for a. Oklahoma Easement Laws.
From www.uslegalforms.com
Easement or Right of Way for Access to Property Right Of Way Oklahoma Easement Laws The easements can be used for power lines, pipelines, roadways, communication lines and other linear capabilities. Oklahoma property owners face unique challenges when it comes to understanding and navigating eminent domain and easement laws. An experienced real estate attorney at jones property law can help you ensure an easement is created in your favor, or better yet, prepare a. Oklahoma. Oklahoma Easement Laws.
From www.uslegalforms.com
Oklahoma Utility Easement Oklahoma Utility Easement Laws US Legal Forms Oklahoma Easement Laws Do easements expire after a set period of time? Oklahoma law statutorily recognizes two historically distinct types of easements. The following land burdens or servitudes upon land, may be attached to other land as incidents or appurtenances, and are then called easements:. Limited property use by someone who does not actually own the property can be made possible in oklahoma. Oklahoma Easement Laws.
From www.uslegalforms.com
Declaration of Easement for Common Private Drive Among Several Oklahoma Easement Laws Oklahoma law statutorily recognizes two historically distinct types of easements. Do easements expire after a set period of time? Limited property use by someone who does not actually own the property can be made possible in oklahoma through an easement, as our tulsa property law blog explains. The following land burdens or servitudes upon land, may be attached to other. Oklahoma Easement Laws.
From slideplayer.com
One Leadership Square , 15th Floor ppt download Oklahoma Easement Laws Oklahoma law statutorily recognizes two historically distinct types of easements. Limited property use by someone who does not actually own the property can be made possible in oklahoma through an easement, as our tulsa property law blog explains. An experienced real estate attorney at jones property law can help you ensure an easement is created in your favor, or better. Oklahoma Easement Laws.