What Is Molecular Clock Hypothesis Mcq . The molecular clock hypothesis states that dna and protein sequences evolve at a rate that is relatively constant over time and among. A consequence of this constancy. The molecular clock is a figurative term for a technique that uses the. The molecular clock hypothesis states that dna and protein sequences change at a rate that is relatively constant over time and among different organisms. Not to be confused with chemical clock or biological clock. Molecular clocks are used to compare the number of mutations to determine how long ago a species separated and evolved ? Comparing dna or protein in similar species can reveal. If this rate is reliable, the gene could be used as a molecular clock. When a stretch of dna does indeed behave like a molecular clock, it. The term 'molecular clock' was coined to describe the phenomenon, comparing the manner in which sequence changes occur to regular ticks of a clock. Molecular clock is an assumption by which molecular sequences evolve at constant rates so that the amount of accumulated.
        
        from www.slideserve.com 
     
        
        When a stretch of dna does indeed behave like a molecular clock, it. The term 'molecular clock' was coined to describe the phenomenon, comparing the manner in which sequence changes occur to regular ticks of a clock. The molecular clock hypothesis states that dna and protein sequences evolve at a rate that is relatively constant over time and among. Comparing dna or protein in similar species can reveal. The molecular clock is a figurative term for a technique that uses the. Molecular clock is an assumption by which molecular sequences evolve at constant rates so that the amount of accumulated. If this rate is reliable, the gene could be used as a molecular clock. A consequence of this constancy. Not to be confused with chemical clock or biological clock. Molecular clocks are used to compare the number of mutations to determine how long ago a species separated and evolved ?
    
    	
            
	
		 
         
    PPT Phylogeny PowerPoint Presentation, free download ID3417804 
    What Is Molecular Clock Hypothesis Mcq  Not to be confused with chemical clock or biological clock. Not to be confused with chemical clock or biological clock. Comparing dna or protein in similar species can reveal. A consequence of this constancy. The molecular clock is a figurative term for a technique that uses the. The term 'molecular clock' was coined to describe the phenomenon, comparing the manner in which sequence changes occur to regular ticks of a clock. If this rate is reliable, the gene could be used as a molecular clock. Molecular clock is an assumption by which molecular sequences evolve at constant rates so that the amount of accumulated. The molecular clock hypothesis states that dna and protein sequences evolve at a rate that is relatively constant over time and among. When a stretch of dna does indeed behave like a molecular clock, it. The molecular clock hypothesis states that dna and protein sequences change at a rate that is relatively constant over time and among different organisms. Molecular clocks are used to compare the number of mutations to determine how long ago a species separated and evolved ?
            
	
		 
         
 
    
        From ar.inspiredpencil.com 
                    Molecular Clock Hypothesis What Is Molecular Clock Hypothesis Mcq  The molecular clock hypothesis states that dna and protein sequences change at a rate that is relatively constant over time and among different organisms. The term 'molecular clock' was coined to describe the phenomenon, comparing the manner in which sequence changes occur to regular ticks of a clock. When a stretch of dna does indeed behave like a molecular clock,. What Is Molecular Clock Hypothesis Mcq.
     
    
        From ar.inspiredpencil.com 
                    Molecular Clock Hypothesis What Is Molecular Clock Hypothesis Mcq  Not to be confused with chemical clock or biological clock. Comparing dna or protein in similar species can reveal. The molecular clock hypothesis states that dna and protein sequences evolve at a rate that is relatively constant over time and among. The term 'molecular clock' was coined to describe the phenomenon, comparing the manner in which sequence changes occur to. What Is Molecular Clock Hypothesis Mcq.
     
    
        From www.slideserve.com 
                    PPT Molecular clocks PowerPoint Presentation, free download ID998044 What Is Molecular Clock Hypothesis Mcq  When a stretch of dna does indeed behave like a molecular clock, it. A consequence of this constancy. If this rate is reliable, the gene could be used as a molecular clock. Molecular clock is an assumption by which molecular sequences evolve at constant rates so that the amount of accumulated. Not to be confused with chemical clock or biological. What Is Molecular Clock Hypothesis Mcq.
     
    
        From www.slideserve.com 
                    PPT Warm Up Hardy Weinburg PowerPoint Presentation, free download What Is Molecular Clock Hypothesis Mcq  When a stretch of dna does indeed behave like a molecular clock, it. The term 'molecular clock' was coined to describe the phenomenon, comparing the manner in which sequence changes occur to regular ticks of a clock. The molecular clock hypothesis states that dna and protein sequences change at a rate that is relatively constant over time and among different. What Is Molecular Clock Hypothesis Mcq.
     
    
        From ar.inspiredpencil.com 
                    Molecular Clock Hypothesis What Is Molecular Clock Hypothesis Mcq  Molecular clocks are used to compare the number of mutations to determine how long ago a species separated and evolved ? The molecular clock hypothesis states that dna and protein sequences change at a rate that is relatively constant over time and among different organisms. The term 'molecular clock' was coined to describe the phenomenon, comparing the manner in which. What Is Molecular Clock Hypothesis Mcq.
     
    
        From www.slideserve.com 
                    PPT Uncorrelated and Autocorrelated relaxed PowerPoint What Is Molecular Clock Hypothesis Mcq  Molecular clocks are used to compare the number of mutations to determine how long ago a species separated and evolved ? The term 'molecular clock' was coined to describe the phenomenon, comparing the manner in which sequence changes occur to regular ticks of a clock. Molecular clock is an assumption by which molecular sequences evolve at constant rates so that. What Is Molecular Clock Hypothesis Mcq.
     
    
        From www.slideserve.com 
                    PPT Biology 4900 PowerPoint Presentation, free download ID5139952 What Is Molecular Clock Hypothesis Mcq  The molecular clock hypothesis states that dna and protein sequences evolve at a rate that is relatively constant over time and among. Comparing dna or protein in similar species can reveal. The term 'molecular clock' was coined to describe the phenomenon, comparing the manner in which sequence changes occur to regular ticks of a clock. When a stretch of dna. What Is Molecular Clock Hypothesis Mcq.
     
    
        From ar.inspiredpencil.com 
                    Molecular Clock Hypothesis What Is Molecular Clock Hypothesis Mcq  Comparing dna or protein in similar species can reveal. If this rate is reliable, the gene could be used as a molecular clock. When a stretch of dna does indeed behave like a molecular clock, it. A consequence of this constancy. Molecular clocks are used to compare the number of mutations to determine how long ago a species separated and. What Is Molecular Clock Hypothesis Mcq.
     
    
        From www.practicallyscience.com 
                    Model Organisms and DNA's "Molecular Clock" Practically Science What Is Molecular Clock Hypothesis Mcq  The molecular clock hypothesis states that dna and protein sequences evolve at a rate that is relatively constant over time and among. Comparing dna or protein in similar species can reveal. Not to be confused with chemical clock or biological clock. The molecular clock hypothesis states that dna and protein sequences change at a rate that is relatively constant over. What Is Molecular Clock Hypothesis Mcq.
     
    
        From www.youtube.com 
                    Molecular Clocks YouTube What Is Molecular Clock Hypothesis Mcq  Molecular clocks are used to compare the number of mutations to determine how long ago a species separated and evolved ? The molecular clock hypothesis states that dna and protein sequences change at a rate that is relatively constant over time and among different organisms. A consequence of this constancy. Molecular clock is an assumption by which molecular sequences evolve. What Is Molecular Clock Hypothesis Mcq.
     
    
        From bip.weizmann.ac.il 
                    The Molecular Clock Hypothesis What Is Molecular Clock Hypothesis Mcq  Molecular clock is an assumption by which molecular sequences evolve at constant rates so that the amount of accumulated. Not to be confused with chemical clock or biological clock. A consequence of this constancy. If this rate is reliable, the gene could be used as a molecular clock. Comparing dna or protein in similar species can reveal. The molecular clock. What Is Molecular Clock Hypothesis Mcq.
     
    
        From ar.inspiredpencil.com 
                    Molecular Clock Hypothesis What Is Molecular Clock Hypothesis Mcq  If this rate is reliable, the gene could be used as a molecular clock. Molecular clock is an assumption by which molecular sequences evolve at constant rates so that the amount of accumulated. The molecular clock hypothesis states that dna and protein sequences evolve at a rate that is relatively constant over time and among. Not to be confused with. What Is Molecular Clock Hypothesis Mcq.
     
    
        From slideplayer.com 
                    Substitution patterns ppt download What Is Molecular Clock Hypothesis Mcq  Comparing dna or protein in similar species can reveal. The molecular clock hypothesis states that dna and protein sequences evolve at a rate that is relatively constant over time and among. Molecular clocks are used to compare the number of mutations to determine how long ago a species separated and evolved ? Molecular clock is an assumption by which molecular. What Is Molecular Clock Hypothesis Mcq.
     
    
        From www.slideserve.com 
                    PPT Molecular clocks PowerPoint Presentation, free download ID2883128 What Is Molecular Clock Hypothesis Mcq  Molecular clock is an assumption by which molecular sequences evolve at constant rates so that the amount of accumulated. The molecular clock hypothesis states that dna and protein sequences change at a rate that is relatively constant over time and among different organisms. If this rate is reliable, the gene could be used as a molecular clock. A consequence of. What Is Molecular Clock Hypothesis Mcq.
     
    
        From www.scribd.com 
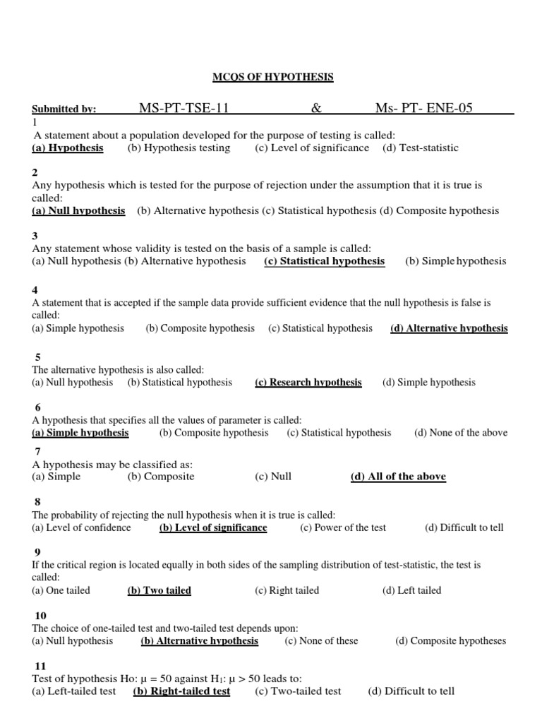
                    Mcqs of Hypothesis PDF Statistical Hypothesis Testing Hypothesis What Is Molecular Clock Hypothesis Mcq  The term 'molecular clock' was coined to describe the phenomenon, comparing the manner in which sequence changes occur to regular ticks of a clock. When a stretch of dna does indeed behave like a molecular clock, it. The molecular clock hypothesis states that dna and protein sequences evolve at a rate that is relatively constant over time and among. The. What Is Molecular Clock Hypothesis Mcq.
     
    
        From www.slideserve.com 
                    PPT Molecular clocks PowerPoint Presentation, free download ID2883128 What Is Molecular Clock Hypothesis Mcq  The molecular clock is a figurative term for a technique that uses the. Molecular clocks are used to compare the number of mutations to determine how long ago a species separated and evolved ? Molecular clock is an assumption by which molecular sequences evolve at constant rates so that the amount of accumulated. A consequence of this constancy. If this. What Is Molecular Clock Hypothesis Mcq.
     
    
        From www.slideserve.com 
                    PPT Biology 4900 PowerPoint Presentation, free download ID5139952 What Is Molecular Clock Hypothesis Mcq  The term 'molecular clock' was coined to describe the phenomenon, comparing the manner in which sequence changes occur to regular ticks of a clock. If this rate is reliable, the gene could be used as a molecular clock. Not to be confused with chemical clock or biological clock. A consequence of this constancy. Molecular clock is an assumption by which. What Is Molecular Clock Hypothesis Mcq.
     
    
        From www.slideserve.com 
                    PPT Molecular Phylogeny and Evolution PowerPoint Presentation, free What Is Molecular Clock Hypothesis Mcq  The molecular clock hypothesis states that dna and protein sequences change at a rate that is relatively constant over time and among different organisms. The molecular clock hypothesis states that dna and protein sequences evolve at a rate that is relatively constant over time and among. Comparing dna or protein in similar species can reveal. The term 'molecular clock' was. What Is Molecular Clock Hypothesis Mcq.
     
    
        From www.slideserve.com 
                    PPT Molecular Clocks PowerPoint Presentation, free download ID442231 What Is Molecular Clock Hypothesis Mcq  Molecular clocks are used to compare the number of mutations to determine how long ago a species separated and evolved ? The molecular clock hypothesis states that dna and protein sequences change at a rate that is relatively constant over time and among different organisms. Not to be confused with chemical clock or biological clock. If this rate is reliable,. What Is Molecular Clock Hypothesis Mcq.
     
    
        From beast.community 
                    Molecular Clocks BEAST Documentation What Is Molecular Clock Hypothesis Mcq  The molecular clock is a figurative term for a technique that uses the. The molecular clock hypothesis states that dna and protein sequences evolve at a rate that is relatively constant over time and among. Molecular clock is an assumption by which molecular sequences evolve at constant rates so that the amount of accumulated. The term 'molecular clock' was coined. What Is Molecular Clock Hypothesis Mcq.
     
    
        From www.studocu.com 
                    Mcq testing of hypothesis with correct answers MCQ TESTING OF What Is Molecular Clock Hypothesis Mcq  The molecular clock hypothesis states that dna and protein sequences change at a rate that is relatively constant over time and among different organisms. A consequence of this constancy. When a stretch of dna does indeed behave like a molecular clock, it. Comparing dna or protein in similar species can reveal. Molecular clock is an assumption by which molecular sequences. What Is Molecular Clock Hypothesis Mcq.
     
    
        From www.slideserve.com 
                    PPT Molecular Clocks PowerPoint Presentation, free download ID4363770 What Is Molecular Clock Hypothesis Mcq  The term 'molecular clock' was coined to describe the phenomenon, comparing the manner in which sequence changes occur to regular ticks of a clock. The molecular clock is a figurative term for a technique that uses the. Not to be confused with chemical clock or biological clock. When a stretch of dna does indeed behave like a molecular clock, it.. What Is Molecular Clock Hypothesis Mcq.
     
    
        From www.chegg.com 
                    Solved Question 3 1 pts Which statement is TRUE in regards What Is Molecular Clock Hypothesis Mcq  Molecular clocks are used to compare the number of mutations to determine how long ago a species separated and evolved ? The term 'molecular clock' was coined to describe the phenomenon, comparing the manner in which sequence changes occur to regular ticks of a clock. If this rate is reliable, the gene could be used as a molecular clock. The. What Is Molecular Clock Hypothesis Mcq.
     
    
        From www.slideserve.com 
                    PPT Biochem Review, Part I Protein Structure and Function PowerPoint What Is Molecular Clock Hypothesis Mcq  The term 'molecular clock' was coined to describe the phenomenon, comparing the manner in which sequence changes occur to regular ticks of a clock. Molecular clock is an assumption by which molecular sequences evolve at constant rates so that the amount of accumulated. The molecular clock is a figurative term for a technique that uses the. A consequence of this. What Is Molecular Clock Hypothesis Mcq.
     
    
        From www.slideserve.com 
                    PPT The Molecular Clock? PowerPoint Presentation, free download ID What Is Molecular Clock Hypothesis Mcq  The term 'molecular clock' was coined to describe the phenomenon, comparing the manner in which sequence changes occur to regular ticks of a clock. Molecular clocks are used to compare the number of mutations to determine how long ago a species separated and evolved ? The molecular clock hypothesis states that dna and protein sequences evolve at a rate that. What Is Molecular Clock Hypothesis Mcq.
     
    
        From www.slideshare.net 
                    Molecular clock, Neutral hypothesis PPT What Is Molecular Clock Hypothesis Mcq  When a stretch of dna does indeed behave like a molecular clock, it. Not to be confused with chemical clock or biological clock. The term 'molecular clock' was coined to describe the phenomenon, comparing the manner in which sequence changes occur to regular ticks of a clock. The molecular clock hypothesis states that dna and protein sequences evolve at a. What Is Molecular Clock Hypothesis Mcq.
     
    
        From www.slideserve.com 
                    PPT Phylogeny PowerPoint Presentation, free download ID3417804 What Is Molecular Clock Hypothesis Mcq  The molecular clock hypothesis states that dna and protein sequences evolve at a rate that is relatively constant over time and among. The molecular clock is a figurative term for a technique that uses the. The term 'molecular clock' was coined to describe the phenomenon, comparing the manner in which sequence changes occur to regular ticks of a clock. Not. What Is Molecular Clock Hypothesis Mcq.
     
    
        From slideplayer.com 
                    Molecular phylogeny and evolution ppt download What Is Molecular Clock Hypothesis Mcq  The molecular clock is a figurative term for a technique that uses the. Comparing dna or protein in similar species can reveal. The molecular clock hypothesis states that dna and protein sequences change at a rate that is relatively constant over time and among different organisms. Not to be confused with chemical clock or biological clock. Molecular clock is an. What Is Molecular Clock Hypothesis Mcq.
     
    
        From www.researchgate.net 
                    R. E. Dickerson's linear representation of the molecular clock What Is Molecular Clock Hypothesis Mcq  The molecular clock hypothesis states that dna and protein sequences change at a rate that is relatively constant over time and among different organisms. Molecular clocks are used to compare the number of mutations to determine how long ago a species separated and evolved ? Not to be confused with chemical clock or biological clock. The molecular clock is a. What Is Molecular Clock Hypothesis Mcq.
     
    
        From www.slideserve.com 
                    PPT Molecular Evolution, Multiple Sequence Alignment & What Is Molecular Clock Hypothesis Mcq  Not to be confused with chemical clock or biological clock. If this rate is reliable, the gene could be used as a molecular clock. The molecular clock hypothesis states that dna and protein sequences change at a rate that is relatively constant over time and among different organisms. A consequence of this constancy. Comparing dna or protein in similar species. What Is Molecular Clock Hypothesis Mcq.
     
    
        From slideplayer.com 
                    Biology 224 Instructor Tom Peavy Nov 4, 9 & ppt video online download What Is Molecular Clock Hypothesis Mcq  A consequence of this constancy. Not to be confused with chemical clock or biological clock. Molecular clocks are used to compare the number of mutations to determine how long ago a species separated and evolved ? Molecular clock is an assumption by which molecular sequences evolve at constant rates so that the amount of accumulated. If this rate is reliable,. What Is Molecular Clock Hypothesis Mcq.
     
    
        From ar.inspiredpencil.com 
                    Molecular Clock Hypothesis What Is Molecular Clock Hypothesis Mcq  The term 'molecular clock' was coined to describe the phenomenon, comparing the manner in which sequence changes occur to regular ticks of a clock. Not to be confused with chemical clock or biological clock. The molecular clock is a figurative term for a technique that uses the. When a stretch of dna does indeed behave like a molecular clock, it.. What Is Molecular Clock Hypothesis Mcq.
     
    
        From slideplayer.com 
                    Evolution & Speciation ppt download What Is Molecular Clock Hypothesis Mcq  The term 'molecular clock' was coined to describe the phenomenon, comparing the manner in which sequence changes occur to regular ticks of a clock. The molecular clock hypothesis states that dna and protein sequences change at a rate that is relatively constant over time and among different organisms. Not to be confused with chemical clock or biological clock. A consequence. What Is Molecular Clock Hypothesis Mcq.
     
    
        From www.slideserve.com 
                    PPT Bioinformatics Algorithms and Data Structures PowerPoint What Is Molecular Clock Hypothesis Mcq  The molecular clock is a figurative term for a technique that uses the. Not to be confused with chemical clock or biological clock. The term 'molecular clock' was coined to describe the phenomenon, comparing the manner in which sequence changes occur to regular ticks of a clock. A consequence of this constancy. The molecular clock hypothesis states that dna and. What Is Molecular Clock Hypothesis Mcq.
     
    
        From studylib.net 
                    Molecular Clocks What Is Molecular Clock Hypothesis Mcq  The term 'molecular clock' was coined to describe the phenomenon, comparing the manner in which sequence changes occur to regular ticks of a clock. Comparing dna or protein in similar species can reveal. The molecular clock hypothesis states that dna and protein sequences change at a rate that is relatively constant over time and among different organisms. Molecular clock is. What Is Molecular Clock Hypothesis Mcq.