Lineman Jointer Job Description . journeyman linemen are responsible for installing, repairing, and maintaining electrical power systems. A journeyman lineman plays a critical role in the installation, maintenance, and repair of electrical. Use bullet points for clarity and readability. a journeyman lineman is a highly skilled professional responsible for the installation, maintenance, and repair of electrical. journeyman linemen are electricians work on power lines that originate from power plants and extend to individual homes or buildings. List the core duties and responsibilities of the journeyman lineman. We’re looking for journeyman lineman to help us maintain and repair our electrical grid. Mears construction, a quanta services company.
from www.electricianinformationresource.com
a journeyman lineman is a highly skilled professional responsible for the installation, maintenance, and repair of electrical. We’re looking for journeyman lineman to help us maintain and repair our electrical grid. Use bullet points for clarity and readability. journeyman linemen are responsible for installing, repairing, and maintaining electrical power systems. A journeyman lineman plays a critical role in the installation, maintenance, and repair of electrical. journeyman linemen are electricians work on power lines that originate from power plants and extend to individual homes or buildings. Mears construction, a quanta services company. List the core duties and responsibilities of the journeyman lineman.
Power Lineman Electrician Job Description
Lineman Jointer Job Description a journeyman lineman is a highly skilled professional responsible for the installation, maintenance, and repair of electrical. Mears construction, a quanta services company. journeyman linemen are responsible for installing, repairing, and maintaining electrical power systems. a journeyman lineman is a highly skilled professional responsible for the installation, maintenance, and repair of electrical. List the core duties and responsibilities of the journeyman lineman. A journeyman lineman plays a critical role in the installation, maintenance, and repair of electrical. We’re looking for journeyman lineman to help us maintain and repair our electrical grid. journeyman linemen are electricians work on power lines that originate from power plants and extend to individual homes or buildings. Use bullet points for clarity and readability.
From www.joblist.com
Lineman Job Description, Examples & Inspiration Lineman Jointer Job Description A journeyman lineman plays a critical role in the installation, maintenance, and repair of electrical. Use bullet points for clarity and readability. List the core duties and responsibilities of the journeyman lineman. a journeyman lineman is a highly skilled professional responsible for the installation, maintenance, and repair of electrical. We’re looking for journeyman lineman to help us maintain and. Lineman Jointer Job Description.
From howigotjob.com
Lineman Job Description, Requirements & Salary How I Got The Job Lineman Jointer Job Description Mears construction, a quanta services company. journeyman linemen are responsible for installing, repairing, and maintaining electrical power systems. We’re looking for journeyman lineman to help us maintain and repair our electrical grid. List the core duties and responsibilities of the journeyman lineman. Use bullet points for clarity and readability. journeyman linemen are electricians work on power lines that. Lineman Jointer Job Description.
From www.electricianinformationresource.com
Power Lineman Electrician Job Description Lineman Jointer Job Description a journeyman lineman is a highly skilled professional responsible for the installation, maintenance, and repair of electrical. A journeyman lineman plays a critical role in the installation, maintenance, and repair of electrical. Use bullet points for clarity and readability. List the core duties and responsibilities of the journeyman lineman. Mears construction, a quanta services company. journeyman linemen are. Lineman Jointer Job Description.
From www.velvetjobs.com
Lineman Job Description Velvet Jobs Lineman Jointer Job Description Mears construction, a quanta services company. journeyman linemen are responsible for installing, repairing, and maintaining electrical power systems. A journeyman lineman plays a critical role in the installation, maintenance, and repair of electrical. Use bullet points for clarity and readability. We’re looking for journeyman lineman to help us maintain and repair our electrical grid. a journeyman lineman is. Lineman Jointer Job Description.
From www.constructyourfuture.com
Why a Lineman’s Job is So Important Lineman Jointer Job Description We’re looking for journeyman lineman to help us maintain and repair our electrical grid. journeyman linemen are electricians work on power lines that originate from power plants and extend to individual homes or buildings. a journeyman lineman is a highly skilled professional responsible for the installation, maintenance, and repair of electrical. journeyman linemen are responsible for installing,. Lineman Jointer Job Description.
From www.template.net
6+ Lineman Resume Templates PDF, DOC Lineman Jointer Job Description A journeyman lineman plays a critical role in the installation, maintenance, and repair of electrical. a journeyman lineman is a highly skilled professional responsible for the installation, maintenance, and repair of electrical. Mears construction, a quanta services company. List the core duties and responsibilities of the journeyman lineman. Use bullet points for clarity and readability. We’re looking for journeyman. Lineman Jointer Job Description.
From interviewguy.com
Journeyman Lineman Job Description [Updated for 2024] Lineman Jointer Job Description We’re looking for journeyman lineman to help us maintain and repair our electrical grid. journeyman linemen are responsible for installing, repairing, and maintaining electrical power systems. List the core duties and responsibilities of the journeyman lineman. A journeyman lineman plays a critical role in the installation, maintenance, and repair of electrical. a journeyman lineman is a highly skilled. Lineman Jointer Job Description.
From www.velvetjobs.com
Journeyman Lineman Job Description Velvet Jobs Lineman Jointer Job Description journeyman linemen are electricians work on power lines that originate from power plants and extend to individual homes or buildings. A journeyman lineman plays a critical role in the installation, maintenance, and repair of electrical. a journeyman lineman is a highly skilled professional responsible for the installation, maintenance, and repair of electrical. journeyman linemen are responsible for. Lineman Jointer Job Description.
From www.zippia.com
Lineman Resume Examples and Tips Zippia Lineman Jointer Job Description We’re looking for journeyman lineman to help us maintain and repair our electrical grid. journeyman linemen are electricians work on power lines that originate from power plants and extend to individual homes or buildings. journeyman linemen are responsible for installing, repairing, and maintaining electrical power systems. Mears construction, a quanta services company. Use bullet points for clarity and. Lineman Jointer Job Description.
From www.youtube.com
Lineman Kaise Bane Work Salary Selection Process Job Lineman Jointer Job Description A journeyman lineman plays a critical role in the installation, maintenance, and repair of electrical. journeyman linemen are electricians work on power lines that originate from power plants and extend to individual homes or buildings. a journeyman lineman is a highly skilled professional responsible for the installation, maintenance, and repair of electrical. Mears construction, a quanta services company.. Lineman Jointer Job Description.
From www.velents.com
Journeyman Lineman Job Description [Template] Lineman Jointer Job Description List the core duties and responsibilities of the journeyman lineman. A journeyman lineman plays a critical role in the installation, maintenance, and repair of electrical. We’re looking for journeyman lineman to help us maintain and repair our electrical grid. Mears construction, a quanta services company. a journeyman lineman is a highly skilled professional responsible for the installation, maintenance, and. Lineman Jointer Job Description.
From www.pinterest.com
Line Worker Job Description in 2021 Business names, Job description Lineman Jointer Job Description journeyman linemen are responsible for installing, repairing, and maintaining electrical power systems. Mears construction, a quanta services company. Use bullet points for clarity and readability. List the core duties and responsibilities of the journeyman lineman. A journeyman lineman plays a critical role in the installation, maintenance, and repair of electrical. journeyman linemen are electricians work on power lines. Lineman Jointer Job Description.
From resumehead.com
Lineman Job Description, Salary, and Skills for 2024 ResumeHead Lineman Jointer Job Description A journeyman lineman plays a critical role in the installation, maintenance, and repair of electrical. Mears construction, a quanta services company. We’re looking for journeyman lineman to help us maintain and repair our electrical grid. List the core duties and responsibilities of the journeyman lineman. journeyman linemen are responsible for installing, repairing, and maintaining electrical power systems. journeyman. Lineman Jointer Job Description.
From www.velvetjobs.com
Journeyman Lineman Job Description Velvet Jobs Lineman Jointer Job Description We’re looking for journeyman lineman to help us maintain and repair our electrical grid. a journeyman lineman is a highly skilled professional responsible for the installation, maintenance, and repair of electrical. journeyman linemen are electricians work on power lines that originate from power plants and extend to individual homes or buildings. Use bullet points for clarity and readability.. Lineman Jointer Job Description.
From www.pdffiller.com
Fillable Online Apprentice Lineman Page 1 of 4 JOB DESCRIPTION Title Lineman Jointer Job Description a journeyman lineman is a highly skilled professional responsible for the installation, maintenance, and repair of electrical. We’re looking for journeyman lineman to help us maintain and repair our electrical grid. Use bullet points for clarity and readability. journeyman linemen are electricians work on power lines that originate from power plants and extend to individual homes or buildings.. Lineman Jointer Job Description.
From www.velvetjobs.com
Lineman Job Description Velvet Jobs Lineman Jointer Job Description A journeyman lineman plays a critical role in the installation, maintenance, and repair of electrical. Mears construction, a quanta services company. List the core duties and responsibilities of the journeyman lineman. a journeyman lineman is a highly skilled professional responsible for the installation, maintenance, and repair of electrical. We’re looking for journeyman lineman to help us maintain and repair. Lineman Jointer Job Description.
From www.connexis.org.nz
Cable Jointer Competitions » Annual Connection Connexis Lineman Jointer Job Description journeyman linemen are responsible for installing, repairing, and maintaining electrical power systems. Use bullet points for clarity and readability. a journeyman lineman is a highly skilled professional responsible for the installation, maintenance, and repair of electrical. Mears construction, a quanta services company. We’re looking for journeyman lineman to help us maintain and repair our electrical grid. A journeyman. Lineman Jointer Job Description.
From www.qwikresume.com
Lineman Resume Samples QwikResume Lineman Jointer Job Description journeyman linemen are electricians work on power lines that originate from power plants and extend to individual homes or buildings. Use bullet points for clarity and readability. a journeyman lineman is a highly skilled professional responsible for the installation, maintenance, and repair of electrical. Mears construction, a quanta services company. journeyman linemen are responsible for installing, repairing,. Lineman Jointer Job Description.
From resumaker.ai
Lineman Cover Letter Job Description, Sample & Guide Lineman Jointer Job Description Use bullet points for clarity and readability. a journeyman lineman is a highly skilled professional responsible for the installation, maintenance, and repair of electrical. A journeyman lineman plays a critical role in the installation, maintenance, and repair of electrical. journeyman linemen are electricians work on power lines that originate from power plants and extend to individual homes or. Lineman Jointer Job Description.
From assets.velvetjobs.com
Journeyman Lineman Job Description Velvet Jobs Lineman Jointer Job Description A journeyman lineman plays a critical role in the installation, maintenance, and repair of electrical. journeyman linemen are electricians work on power lines that originate from power plants and extend to individual homes or buildings. Mears construction, a quanta services company. Use bullet points for clarity and readability. We’re looking for journeyman lineman to help us maintain and repair. Lineman Jointer Job Description.
From assets.velvetjobs.com
Journeyman Lineman Job Description Velvet Jobs Lineman Jointer Job Description We’re looking for journeyman lineman to help us maintain and repair our electrical grid. journeyman linemen are electricians work on power lines that originate from power plants and extend to individual homes or buildings. a journeyman lineman is a highly skilled professional responsible for the installation, maintenance, and repair of electrical. Mears construction, a quanta services company. . Lineman Jointer Job Description.
From lowellcorp.com
Tools That Every Distribution Lineman Should Carry Lowell Corporation Lineman Jointer Job Description Mears construction, a quanta services company. A journeyman lineman plays a critical role in the installation, maintenance, and repair of electrical. journeyman linemen are electricians work on power lines that originate from power plants and extend to individual homes or buildings. journeyman linemen are responsible for installing, repairing, and maintaining electrical power systems. List the core duties and. Lineman Jointer Job Description.
From standout-cv.com
Lineman resume example + guide [Get hired fast] Lineman Jointer Job Description journeyman linemen are electricians work on power lines that originate from power plants and extend to individual homes or buildings. List the core duties and responsibilities of the journeyman lineman. Use bullet points for clarity and readability. Mears construction, a quanta services company. We’re looking for journeyman lineman to help us maintain and repair our electrical grid. A journeyman. Lineman Jointer Job Description.
From www.linemancentral.com
What jobs will help prepare me to be a lineman Lineman Jointer Job Description A journeyman lineman plays a critical role in the installation, maintenance, and repair of electrical. journeyman linemen are electricians work on power lines that originate from power plants and extend to individual homes or buildings. journeyman linemen are responsible for installing, repairing, and maintaining electrical power systems. We’re looking for journeyman lineman to help us maintain and repair. Lineman Jointer Job Description.
From divergentalliance.com
How to a Lineman Apprenticeship, Training Programs, Schools Lineman Jointer Job Description List the core duties and responsibilities of the journeyman lineman. Use bullet points for clarity and readability. A journeyman lineman plays a critical role in the installation, maintenance, and repair of electrical. Mears construction, a quanta services company. We’re looking for journeyman lineman to help us maintain and repair our electrical grid. a journeyman lineman is a highly skilled. Lineman Jointer Job Description.
From www.qwikresume.com
Lineman Resume Samples QwikResume Lineman Jointer Job Description A journeyman lineman plays a critical role in the installation, maintenance, and repair of electrical. a journeyman lineman is a highly skilled professional responsible for the installation, maintenance, and repair of electrical. List the core duties and responsibilities of the journeyman lineman. journeyman linemen are responsible for installing, repairing, and maintaining electrical power systems. We’re looking for journeyman. Lineman Jointer Job Description.
From www.electricianinformationresource.com
Power Lineman Electrician Job Description Lineman Jointer Job Description Mears construction, a quanta services company. Use bullet points for clarity and readability. List the core duties and responsibilities of the journeyman lineman. journeyman linemen are responsible for installing, repairing, and maintaining electrical power systems. A journeyman lineman plays a critical role in the installation, maintenance, and repair of electrical. We’re looking for journeyman lineman to help us maintain. Lineman Jointer Job Description.
From www.velvetjobs.com
Lineman Resume Samples Velvet Jobs Lineman Jointer Job Description Use bullet points for clarity and readability. A journeyman lineman plays a critical role in the installation, maintenance, and repair of electrical. journeyman linemen are electricians work on power lines that originate from power plants and extend to individual homes or buildings. journeyman linemen are responsible for installing, repairing, and maintaining electrical power systems. a journeyman lineman. Lineman Jointer Job Description.
From studylib.net
POSITION DESCRIPTION POSITION TITLE Apprentice Lineman Lineman Jointer Job Description Use bullet points for clarity and readability. List the core duties and responsibilities of the journeyman lineman. journeyman linemen are electricians work on power lines that originate from power plants and extend to individual homes or buildings. We’re looking for journeyman lineman to help us maintain and repair our electrical grid. journeyman linemen are responsible for installing, repairing,. Lineman Jointer Job Description.
From www.velvetjobs.com
Lineman Job Description Velvet Jobs Lineman Jointer Job Description a journeyman lineman is a highly skilled professional responsible for the installation, maintenance, and repair of electrical. A journeyman lineman plays a critical role in the installation, maintenance, and repair of electrical. We’re looking for journeyman lineman to help us maintain and repair our electrical grid. Use bullet points for clarity and readability. Mears construction, a quanta services company.. Lineman Jointer Job Description.
From www.betterteam.com
Line Worker Job Description Lineman Jointer Job Description journeyman linemen are responsible for installing, repairing, and maintaining electrical power systems. List the core duties and responsibilities of the journeyman lineman. Mears construction, a quanta services company. We’re looking for journeyman lineman to help us maintain and repair our electrical grid. Use bullet points for clarity and readability. journeyman linemen are electricians work on power lines that. Lineman Jointer Job Description.
From www.pdffiller.com
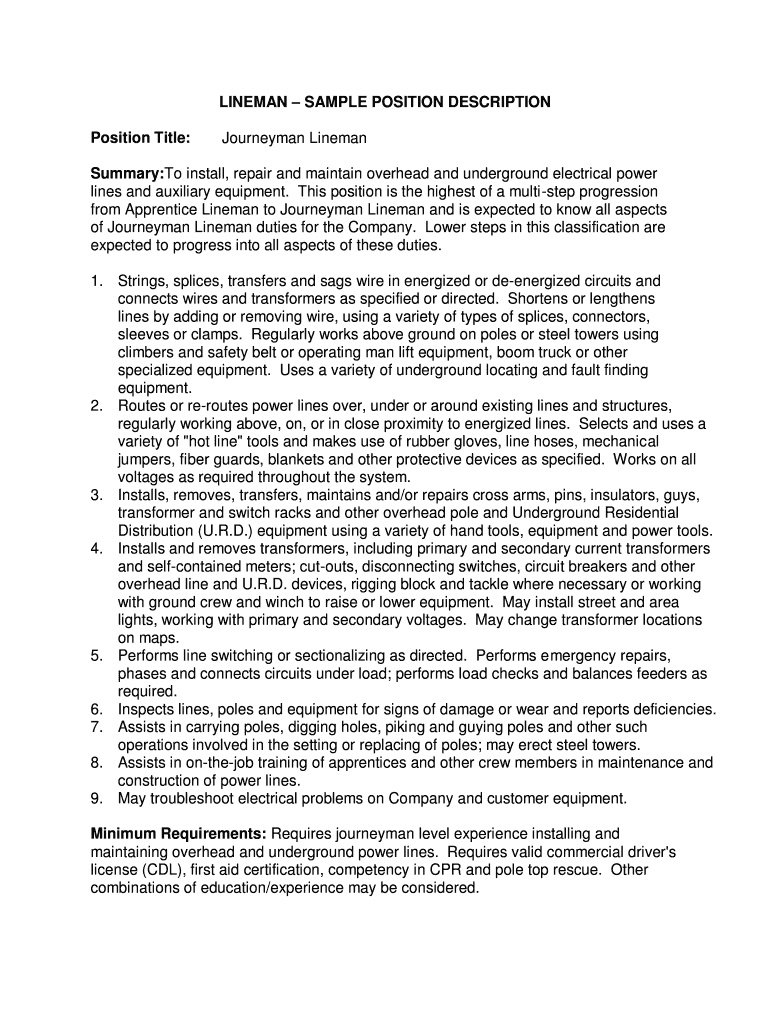
Fillable Online LINEMAN SAMPLE POSITION DESCRIPTION Fax Email Print Lineman Jointer Job Description journeyman linemen are electricians work on power lines that originate from power plants and extend to individual homes or buildings. List the core duties and responsibilities of the journeyman lineman. Use bullet points for clarity and readability. We’re looking for journeyman lineman to help us maintain and repair our electrical grid. Mears construction, a quanta services company. journeyman. Lineman Jointer Job Description.
From www.velvetjobs.com
Lineman Job Description Velvet Jobs Lineman Jointer Job Description a journeyman lineman is a highly skilled professional responsible for the installation, maintenance, and repair of electrical. A journeyman lineman plays a critical role in the installation, maintenance, and repair of electrical. List the core duties and responsibilities of the journeyman lineman. We’re looking for journeyman lineman to help us maintain and repair our electrical grid. Mears construction, a. Lineman Jointer Job Description.
From www.template.net
Outside Lineman Job Description Template Edit Online & Download Lineman Jointer Job Description journeyman linemen are electricians work on power lines that originate from power plants and extend to individual homes or buildings. A journeyman lineman plays a critical role in the installation, maintenance, and repair of electrical. Use bullet points for clarity and readability. We’re looking for journeyman lineman to help us maintain and repair our electrical grid. journeyman linemen. Lineman Jointer Job Description.
From www.betterteam.com
Journeyman Lineman Job Description Lineman Jointer Job Description Mears construction, a quanta services company. a journeyman lineman is a highly skilled professional responsible for the installation, maintenance, and repair of electrical. journeyman linemen are responsible for installing, repairing, and maintaining electrical power systems. We’re looking for journeyman lineman to help us maintain and repair our electrical grid. A journeyman lineman plays a critical role in the. Lineman Jointer Job Description.