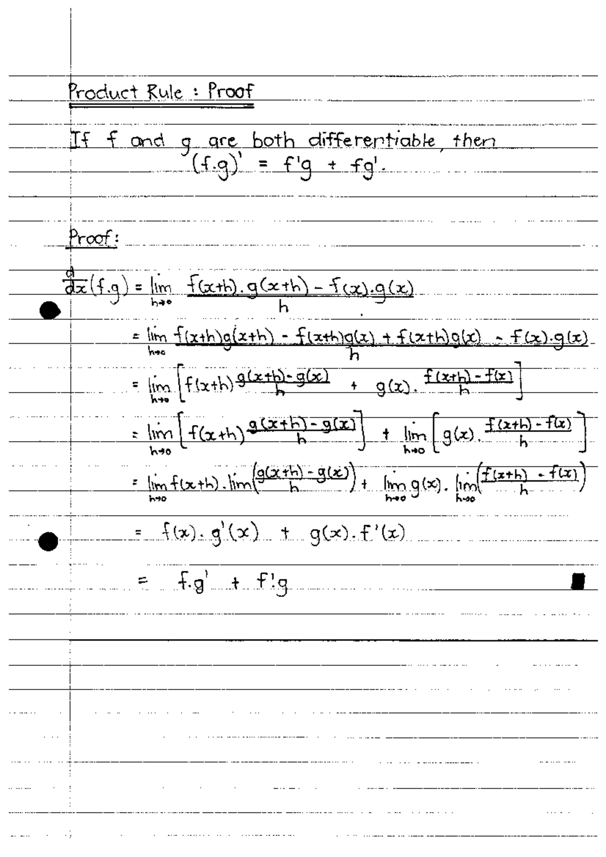
Proof Of Product Rule In Maths . learn how to find the derivative of a product of two differentiable functions using the product rule formula in calculus. let's delve into the proof of the product rule, a key concept in calculus. We apply the definition of a derivative to the product of. learn how to differentiate products and quotients of functions using the product and quotient rules. learn how to differentiate a function that is the product of two or more functions using the product rule. learn the formula and the proof of the product rule for differentiation, which applies to two or more functions multiplied together. learn how to derive the product rule for derivatives using the definition of the derivative and a simple algebraic trick.
from unacademy.com
let's delve into the proof of the product rule, a key concept in calculus. learn how to differentiate a function that is the product of two or more functions using the product rule. learn the formula and the proof of the product rule for differentiation, which applies to two or more functions multiplied together. learn how to differentiate products and quotients of functions using the product and quotient rules. learn how to derive the product rule for derivatives using the definition of the derivative and a simple algebraic trick. learn how to find the derivative of a product of two differentiable functions using the product rule formula in calculus. We apply the definition of a derivative to the product of.
How to Prove Product Rule Formula Using the First Principle
Proof Of Product Rule In Maths learn how to derive the product rule for derivatives using the definition of the derivative and a simple algebraic trick. learn how to differentiate a function that is the product of two or more functions using the product rule. learn how to derive the product rule for derivatives using the definition of the derivative and a simple algebraic trick. We apply the definition of a derivative to the product of. let's delve into the proof of the product rule, a key concept in calculus. learn how to find the derivative of a product of two differentiable functions using the product rule formula in calculus. learn the formula and the proof of the product rule for differentiation, which applies to two or more functions multiplied together. learn how to differentiate products and quotients of functions using the product and quotient rules.
From www.youtube.com
Product rule proof Taking derivatives Differential Calculus Khan Proof Of Product Rule In Maths learn how to find the derivative of a product of two differentiable functions using the product rule formula in calculus. learn how to differentiate products and quotients of functions using the product and quotient rules. learn the formula and the proof of the product rule for differentiation, which applies to two or more functions multiplied together. . Proof Of Product Rule In Maths.
From www.youtube.com
Proof of the Product Rule YouTube Proof Of Product Rule In Maths learn how to find the derivative of a product of two differentiable functions using the product rule formula in calculus. learn how to derive the product rule for derivatives using the definition of the derivative and a simple algebraic trick. learn how to differentiate products and quotients of functions using the product and quotient rules. learn. Proof Of Product Rule In Maths.
From www.youtube.com
Core 4 Maths ALevel The Product Rule YouTube Proof Of Product Rule In Maths learn how to differentiate products and quotients of functions using the product and quotient rules. learn how to find the derivative of a product of two differentiable functions using the product rule formula in calculus. learn how to derive the product rule for derivatives using the definition of the derivative and a simple algebraic trick. We apply. Proof Of Product Rule In Maths.
From www.mathdoubts.com
Proof of Product Rule of Logarithms Proof Of Product Rule In Maths learn how to differentiate products and quotients of functions using the product and quotient rules. We apply the definition of a derivative to the product of. learn how to derive the product rule for derivatives using the definition of the derivative and a simple algebraic trick. learn how to differentiate a function that is the product of. Proof Of Product Rule In Maths.
From www.showme.com
Product rule Math ShowMe Proof Of Product Rule In Maths We apply the definition of a derivative to the product of. learn the formula and the proof of the product rule for differentiation, which applies to two or more functions multiplied together. let's delve into the proof of the product rule, a key concept in calculus. learn how to differentiate products and quotients of functions using the. Proof Of Product Rule In Maths.
From www.slideserve.com
PPT Product Rule PowerPoint Presentation, free download ID5567466 Proof Of Product Rule In Maths learn how to differentiate a function that is the product of two or more functions using the product rule. let's delve into the proof of the product rule, a key concept in calculus. We apply the definition of a derivative to the product of. learn the formula and the proof of the product rule for differentiation, which. Proof Of Product Rule In Maths.
From www.researchgate.net
Animated proof of the product rule Download Scientific Diagram Proof Of Product Rule In Maths learn how to find the derivative of a product of two differentiable functions using the product rule formula in calculus. learn how to derive the product rule for derivatives using the definition of the derivative and a simple algebraic trick. learn the formula and the proof of the product rule for differentiation, which applies to two or. Proof Of Product Rule In Maths.
From www.youtube.com
Proof of the Product Rule from Calculus YouTube Proof Of Product Rule In Maths let's delve into the proof of the product rule, a key concept in calculus. learn how to find the derivative of a product of two differentiable functions using the product rule formula in calculus. learn how to derive the product rule for derivatives using the definition of the derivative and a simple algebraic trick. We apply the. Proof Of Product Rule In Maths.
From calcworkshop.com
Product Rule For Calculus (w/ StepbyStep Examples!) Proof Of Product Rule In Maths learn how to differentiate a function that is the product of two or more functions using the product rule. We apply the definition of a derivative to the product of. learn how to derive the product rule for derivatives using the definition of the derivative and a simple algebraic trick. learn the formula and the proof of. Proof Of Product Rule In Maths.
From www.youtube.com
Derivatives Proof of the Product Rule YouTube Proof Of Product Rule In Maths learn the formula and the proof of the product rule for differentiation, which applies to two or more functions multiplied together. learn how to find the derivative of a product of two differentiable functions using the product rule formula in calculus. let's delve into the proof of the product rule, a key concept in calculus. learn. Proof Of Product Rule In Maths.
From www.youtube.com
Proof of Product Rule [STEP BY STEP] Calculus I YouTube Proof Of Product Rule In Maths learn the formula and the proof of the product rule for differentiation, which applies to two or more functions multiplied together. learn how to differentiate a function that is the product of two or more functions using the product rule. let's delve into the proof of the product rule, a key concept in calculus. learn how. Proof Of Product Rule In Maths.
From www.youtube.com
The Product Rule Example 2 YouTube Proof Of Product Rule In Maths learn how to find the derivative of a product of two differentiable functions using the product rule formula in calculus. learn the formula and the proof of the product rule for differentiation, which applies to two or more functions multiplied together. learn how to differentiate products and quotients of functions using the product and quotient rules. . Proof Of Product Rule In Maths.
From octobermath.blogspot.com
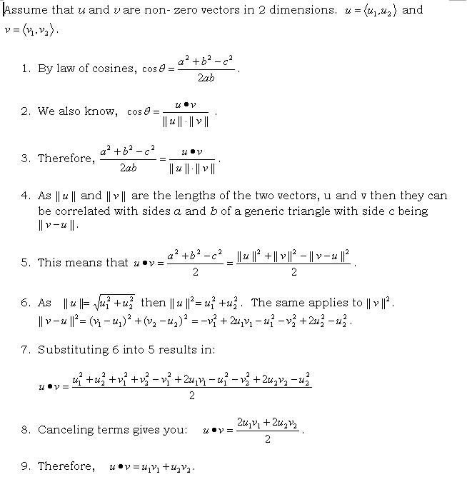
Melissa's Math Vector Dot Product Proof Proof Of Product Rule In Maths learn how to differentiate products and quotients of functions using the product and quotient rules. learn how to differentiate a function that is the product of two or more functions using the product rule. We apply the definition of a derivative to the product of. learn how to find the derivative of a product of two differentiable. Proof Of Product Rule In Maths.
From www.animalia-life.club
Integration Product Rule Proof Of Product Rule In Maths learn how to differentiate products and quotients of functions using the product and quotient rules. learn how to find the derivative of a product of two differentiable functions using the product rule formula in calculus. learn the formula and the proof of the product rule for differentiation, which applies to two or more functions multiplied together. . Proof Of Product Rule In Maths.
From calcworkshop.com
Product Rule For Calculus (w/ StepbyStep Examples!) Proof Of Product Rule In Maths learn how to differentiate products and quotients of functions using the product and quotient rules. learn how to derive the product rule for derivatives using the definition of the derivative and a simple algebraic trick. learn the formula and the proof of the product rule for differentiation, which applies to two or more functions multiplied together. We. Proof Of Product Rule In Maths.
From www.scribd.com
Cal Cab Proof of Product Rule PDF Derivative Differential Calculus Proof Of Product Rule In Maths let's delve into the proof of the product rule, a key concept in calculus. learn how to derive the product rule for derivatives using the definition of the derivative and a simple algebraic trick. learn how to differentiate a function that is the product of two or more functions using the product rule. learn how to. Proof Of Product Rule In Maths.
From www.savemyexams.com
Product Rule AQA A Level Maths Pure Revision Notes 2018 Proof Of Product Rule In Maths learn the formula and the proof of the product rule for differentiation, which applies to two or more functions multiplied together. let's delve into the proof of the product rule, a key concept in calculus. learn how to derive the product rule for derivatives using the definition of the derivative and a simple algebraic trick. We apply. Proof Of Product Rule In Maths.
From www.youtube.com
Proof of Product Rule YouTube Proof Of Product Rule In Maths let's delve into the proof of the product rule, a key concept in calculus. learn how to derive the product rule for derivatives using the definition of the derivative and a simple algebraic trick. learn how to find the derivative of a product of two differentiable functions using the product rule formula in calculus. We apply the. Proof Of Product Rule In Maths.
From youtube.com
Calculus 3.07f Proof of the Product Rule YouTube Proof Of Product Rule In Maths learn how to differentiate products and quotients of functions using the product and quotient rules. learn how to derive the product rule for derivatives using the definition of the derivative and a simple algebraic trick. learn the formula and the proof of the product rule for differentiation, which applies to two or more functions multiplied together. We. Proof Of Product Rule In Maths.
From calcworkshop.com
Product Rule For Calculus (w/ StepbyStep Examples!) Proof Of Product Rule In Maths learn how to differentiate products and quotients of functions using the product and quotient rules. We apply the definition of a derivative to the product of. learn how to derive the product rule for derivatives using the definition of the derivative and a simple algebraic trick. learn how to find the derivative of a product of two. Proof Of Product Rule In Maths.
From www.mathdoubts.com
Proof of Product Rule of Differentiation Proof Of Product Rule In Maths learn how to differentiate a function that is the product of two or more functions using the product rule. learn how to derive the product rule for derivatives using the definition of the derivative and a simple algebraic trick. learn how to differentiate products and quotients of functions using the product and quotient rules. learn the. Proof Of Product Rule In Maths.
From meangreenmath.com
An Alternative Proof of the Product Rule Mean Green Math Proof Of Product Rule In Maths learn how to derive the product rule for derivatives using the definition of the derivative and a simple algebraic trick. learn how to differentiate products and quotients of functions using the product and quotient rules. learn how to differentiate a function that is the product of two or more functions using the product rule. We apply the. Proof Of Product Rule In Maths.
From unacademy.com
How to Prove Product Rule Formula Using the First Principle Proof Of Product Rule In Maths learn how to derive the product rule for derivatives using the definition of the derivative and a simple algebraic trick. learn how to differentiate products and quotients of functions using the product and quotient rules. let's delve into the proof of the product rule, a key concept in calculus. learn how to find the derivative of. Proof Of Product Rule In Maths.
From www.reddit.com
Proof of the product rule for limits learnmath Proof Of Product Rule In Maths learn the formula and the proof of the product rule for differentiation, which applies to two or more functions multiplied together. let's delve into the proof of the product rule, a key concept in calculus. learn how to differentiate a function that is the product of two or more functions using the product rule. We apply the. Proof Of Product Rule In Maths.
From www.studocu.com
Proof of the Product Rule Studocu Proof Of Product Rule In Maths let's delve into the proof of the product rule, a key concept in calculus. learn how to differentiate products and quotients of functions using the product and quotient rules. learn how to find the derivative of a product of two differentiable functions using the product rule formula in calculus. learn how to differentiate a function that. Proof Of Product Rule In Maths.
From www.youtube.com
Proof of the Product Rule from Calculus YouTube Proof Of Product Rule In Maths learn how to differentiate products and quotients of functions using the product and quotient rules. learn how to find the derivative of a product of two differentiable functions using the product rule formula in calculus. learn how to differentiate a function that is the product of two or more functions using the product rule. learn how. Proof Of Product Rule In Maths.
From www.youtube.com
Product Rule Proof YouTube Proof Of Product Rule In Maths learn the formula and the proof of the product rule for differentiation, which applies to two or more functions multiplied together. learn how to differentiate products and quotients of functions using the product and quotient rules. learn how to derive the product rule for derivatives using the definition of the derivative and a simple algebraic trick. We. Proof Of Product Rule In Maths.
From www.youtube.com
Proof The Product Rule of Differentiation YouTube Proof Of Product Rule In Maths learn the formula and the proof of the product rule for differentiation, which applies to two or more functions multiplied together. learn how to differentiate a function that is the product of two or more functions using the product rule. let's delve into the proof of the product rule, a key concept in calculus. We apply the. Proof Of Product Rule In Maths.
From www.pleacher.com
Lesson 25 Proof Of Product Rule In Maths let's delve into the proof of the product rule, a key concept in calculus. learn the formula and the proof of the product rule for differentiation, which applies to two or more functions multiplied together. We apply the definition of a derivative to the product of. learn how to differentiate a function that is the product of. Proof Of Product Rule In Maths.
From www.youtube.com
Quotient Rule Proof How to Prove The Quotient Rule from the Product Proof Of Product Rule In Maths let's delve into the proof of the product rule, a key concept in calculus. We apply the definition of a derivative to the product of. learn the formula and the proof of the product rule for differentiation, which applies to two or more functions multiplied together. learn how to derive the product rule for derivatives using the. Proof Of Product Rule In Maths.
From mathsmethods.com.au
Product Rule and Quotient Rule in Maths Methods Proof Of Product Rule In Maths let's delve into the proof of the product rule, a key concept in calculus. learn how to find the derivative of a product of two differentiable functions using the product rule formula in calculus. learn how to derive the product rule for derivatives using the definition of the derivative and a simple algebraic trick. learn how. Proof Of Product Rule In Maths.
From www.youtube.com
Proof of product rule for differentiation using chain rule for partial Proof Of Product Rule In Maths We apply the definition of a derivative to the product of. learn how to find the derivative of a product of two differentiable functions using the product rule formula in calculus. learn how to differentiate a function that is the product of two or more functions using the product rule. learn how to derive the product rule. Proof Of Product Rule In Maths.
From www.geneseo.edu
Geneseo Math 221 05 Product and Quotient Rules Proof Of Product Rule In Maths learn how to differentiate products and quotients of functions using the product and quotient rules. learn how to derive the product rule for derivatives using the definition of the derivative and a simple algebraic trick. let's delve into the proof of the product rule, a key concept in calculus. We apply the definition of a derivative to. Proof Of Product Rule In Maths.
From www.youtube.com
Differentiation Product Rule ExamSolutions YouTube Proof Of Product Rule In Maths learn how to differentiate a function that is the product of two or more functions using the product rule. learn how to find the derivative of a product of two differentiable functions using the product rule formula in calculus. learn the formula and the proof of the product rule for differentiation, which applies to two or more. Proof Of Product Rule In Maths.
From www.numerade.com
SOLVED Proof of Product Rule By expressing 𝐮 in terms of its Proof Of Product Rule In Maths We apply the definition of a derivative to the product of. learn how to differentiate products and quotients of functions using the product and quotient rules. let's delve into the proof of the product rule, a key concept in calculus. learn how to derive the product rule for derivatives using the definition of the derivative and a. Proof Of Product Rule In Maths.