Linseed Oil Flash Point . The oil’s ignition point is where it ignites without a flame. Linseed oil’s low flash point means it can catch fire more easily if not handled right. Linseed oil, commonly used as a wood finish, has a low flash point, making it highly flammable. The oil is obtained by pressing the seeds to withdraw the oil. Linseed oil is derived from the seeds of the flax plant. Product of seed oil obtained from linum usitatissimum, linaceae (linseed). When exposed to heat or flames, it. Linseed oil is one of the oldest and most versatile finishes that has been used for centuries to protect and seal wood, metal, and a variety of other products. 44 rows the smoke point of fats and oils decreases when they are at least partially split into free fatty acids and glycerol; Boiled linseed oils are produced from linseed oil using one or.
from www.laboratoriumdiscounter.nl
Linseed oil is derived from the seeds of the flax plant. Boiled linseed oils are produced from linseed oil using one or. Linseed oil’s low flash point means it can catch fire more easily if not handled right. Product of seed oil obtained from linum usitatissimum, linaceae (linseed). Linseed oil is one of the oldest and most versatile finishes that has been used for centuries to protect and seal wood, metal, and a variety of other products. Linseed oil, commonly used as a wood finish, has a low flash point, making it highly flammable. When exposed to heat or flames, it. The oil’s ignition point is where it ignites without a flame. 44 rows the smoke point of fats and oils decreases when they are at least partially split into free fatty acids and glycerol; The oil is obtained by pressing the seeds to withdraw the oil.
Linseed oil, 1 l Linseed oil, native, cold pressed, Density (D) 0,931
Linseed Oil Flash Point Linseed oil, commonly used as a wood finish, has a low flash point, making it highly flammable. Linseed oil is one of the oldest and most versatile finishes that has been used for centuries to protect and seal wood, metal, and a variety of other products. Linseed oil is derived from the seeds of the flax plant. 44 rows the smoke point of fats and oils decreases when they are at least partially split into free fatty acids and glycerol; The oil is obtained by pressing the seeds to withdraw the oil. Boiled linseed oils are produced from linseed oil using one or. The oil’s ignition point is where it ignites without a flame. When exposed to heat or flames, it. Product of seed oil obtained from linum usitatissimum, linaceae (linseed). Linseed oil’s low flash point means it can catch fire more easily if not handled right. Linseed oil, commonly used as a wood finish, has a low flash point, making it highly flammable.
From heronpaint.com
Heat Bodied Linseed Oil Heron Linseed Oil Paint Linseed Oil Flash Point Product of seed oil obtained from linum usitatissimum, linaceae (linseed). Linseed oil is one of the oldest and most versatile finishes that has been used for centuries to protect and seal wood, metal, and a variety of other products. Linseed oil’s low flash point means it can catch fire more easily if not handled right. When exposed to heat or. Linseed Oil Flash Point.
From www.researchgate.net
Chemical structure and main composition of linseed oil. Download Linseed Oil Flash Point Linseed oil is derived from the seeds of the flax plant. The oil’s ignition point is where it ignites without a flame. When exposed to heat or flames, it. Linseed oil’s low flash point means it can catch fire more easily if not handled right. Boiled linseed oils are produced from linseed oil using one or. Product of seed oil. Linseed Oil Flash Point.
From slideplayer.fr
Presentation On CRUDE OIL CHARACTERISTICS. Petroleum/Crude Natural Linseed Oil Flash Point Linseed oil is derived from the seeds of the flax plant. Linseed oil, commonly used as a wood finish, has a low flash point, making it highly flammable. Boiled linseed oils are produced from linseed oil using one or. 44 rows the smoke point of fats and oils decreases when they are at least partially split into free fatty acids. Linseed Oil Flash Point.
From www.tcfeedsandtack.co.uk
KM Elite Linseed (Flax) Oil TC Feeds & Tack Haven Linseed Oil Flash Point The oil is obtained by pressing the seeds to withdraw the oil. Linseed oil, commonly used as a wood finish, has a low flash point, making it highly flammable. 44 rows the smoke point of fats and oils decreases when they are at least partially split into free fatty acids and glycerol; Linseed oil is one of the oldest and. Linseed Oil Flash Point.
From guides.co
Flammable Liquids FD202 Fundamentals of Fire and Combustion on Guides Linseed Oil Flash Point Boiled linseed oils are produced from linseed oil using one or. Linseed oil’s low flash point means it can catch fire more easily if not handled right. Product of seed oil obtained from linum usitatissimum, linaceae (linseed). The oil’s ignition point is where it ignites without a flame. When exposed to heat or flames, it. Linseed oil is derived from. Linseed Oil Flash Point.
From www.researchgate.net
Calorimetric thermograms of linseed oil (100 mg, curve a) and linseed Linseed Oil Flash Point When exposed to heat or flames, it. Product of seed oil obtained from linum usitatissimum, linaceae (linseed). Linseed oil is derived from the seeds of the flax plant. Linseed oil’s low flash point means it can catch fire more easily if not handled right. 44 rows the smoke point of fats and oils decreases when they are at least partially. Linseed Oil Flash Point.
From www.charlestoncrafted.com
How to use linseed oil on wood projects Linseed Oil Flash Point The oil is obtained by pressing the seeds to withdraw the oil. When exposed to heat or flames, it. Linseed oil is one of the oldest and most versatile finishes that has been used for centuries to protect and seal wood, metal, and a variety of other products. The oil’s ignition point is where it ignites without a flame. Linseed. Linseed Oil Flash Point.
From www.pigandpal.com.au
Refined Linseed Oil Linseed Oil Flash Point The oil’s ignition point is where it ignites without a flame. 44 rows the smoke point of fats and oils decreases when they are at least partially split into free fatty acids and glycerol; Linseed oil is derived from the seeds of the flax plant. Boiled linseed oils are produced from linseed oil using one or. When exposed to heat. Linseed Oil Flash Point.
From www.researchgate.net
FTIR spectra of linseed oil and biodiesel obtained from linseed oil Linseed Oil Flash Point 44 rows the smoke point of fats and oils decreases when they are at least partially split into free fatty acids and glycerol; Linseed oil, commonly used as a wood finish, has a low flash point, making it highly flammable. When exposed to heat or flames, it. Linseed oil is derived from the seeds of the flax plant. Product of. Linseed Oil Flash Point.
From thediyhammer.com
Mineral Oil vs Linseed Oil What Are the Differences? » The DIY Hammer Linseed Oil Flash Point 44 rows the smoke point of fats and oils decreases when they are at least partially split into free fatty acids and glycerol; Boiled linseed oils are produced from linseed oil using one or. Linseed oil, commonly used as a wood finish, has a low flash point, making it highly flammable. Product of seed oil obtained from linum usitatissimum, linaceae. Linseed Oil Flash Point.
From www.wallsandfloors.co.uk
Linseed Oil Toolshed Cleaning and Maintenance 2 Ltr Tiles Linseed Oil Flash Point Linseed oil is one of the oldest and most versatile finishes that has been used for centuries to protect and seal wood, metal, and a variety of other products. Linseed oil’s low flash point means it can catch fire more easily if not handled right. Boiled linseed oils are produced from linseed oil using one or. When exposed to heat. Linseed Oil Flash Point.
From www.medchemexpress.com
Linseed oil (Linseed oil boiled) Biochemical Assay Reagent Linseed Oil Flash Point When exposed to heat or flames, it. Product of seed oil obtained from linum usitatissimum, linaceae (linseed). Linseed oil, commonly used as a wood finish, has a low flash point, making it highly flammable. Linseed oil’s low flash point means it can catch fire more easily if not handled right. 44 rows the smoke point of fats and oils decreases. Linseed Oil Flash Point.
From woodworkly.com
Linseed Oil Advantages and Disadvantages All You Need To Know Linseed Oil Flash Point Boiled linseed oils are produced from linseed oil using one or. Linseed oil’s low flash point means it can catch fire more easily if not handled right. Linseed oil is one of the oldest and most versatile finishes that has been used for centuries to protect and seal wood, metal, and a variety of other products. When exposed to heat. Linseed Oil Flash Point.
From www.sawinery.net
How to Use Boiled Linseed Oil [2024] Linseed Oil Flash Point Linseed oil is one of the oldest and most versatile finishes that has been used for centuries to protect and seal wood, metal, and a variety of other products. 44 rows the smoke point of fats and oils decreases when they are at least partially split into free fatty acids and glycerol; Linseed oil, commonly used as a wood finish,. Linseed Oil Flash Point.
From www.laboratoriumdiscounter.nl
Linseed oil, 1 l Linseed oil, native, cold pressed, Density (D) 0,931 Linseed Oil Flash Point The oil is obtained by pressing the seeds to withdraw the oil. Linseed oil, commonly used as a wood finish, has a low flash point, making it highly flammable. Linseed oil’s low flash point means it can catch fire more easily if not handled right. Linseed oil is one of the oldest and most versatile finishes that has been used. Linseed Oil Flash Point.
From comparemotoroils.com
What Is The Flash Point In Engine Oils CompareMotorOils Linseed Oil Flash Point Boiled linseed oils are produced from linseed oil using one or. The oil is obtained by pressing the seeds to withdraw the oil. The oil’s ignition point is where it ignites without a flame. Linseed oil, commonly used as a wood finish, has a low flash point, making it highly flammable. When exposed to heat or flames, it. Product of. Linseed Oil Flash Point.
From theartshopskipton.co.uk
What is linseed oil and what is it used for? Painting Art Shop Skipton Linseed Oil Flash Point When exposed to heat or flames, it. Linseed oil’s low flash point means it can catch fire more easily if not handled right. The oil is obtained by pressing the seeds to withdraw the oil. Linseed oil is one of the oldest and most versatile finishes that has been used for centuries to protect and seal wood, metal, and a. Linseed Oil Flash Point.
From www.pinterest.com
How To Use Boiled Linseed Oil (Safely) The Craftsman Blog Linseed Linseed Oil Flash Point The oil is obtained by pressing the seeds to withdraw the oil. Linseed oil’s low flash point means it can catch fire more easily if not handled right. Product of seed oil obtained from linum usitatissimum, linaceae (linseed). Boiled linseed oils are produced from linseed oil using one or. Linseed oil is derived from the seeds of the flax plant.. Linseed Oil Flash Point.
From www.researchgate.net
The properties of linseed oil (Anonymous, 2015) Download Table Linseed Oil Flash Point Linseed oil is one of the oldest and most versatile finishes that has been used for centuries to protect and seal wood, metal, and a variety of other products. Boiled linseed oils are produced from linseed oil using one or. Linseed oil’s low flash point means it can catch fire more easily if not handled right. Linseed oil is derived. Linseed Oil Flash Point.
From www.quora.com
What is the flash point of various oils? Quora Linseed Oil Flash Point The oil’s ignition point is where it ignites without a flame. Linseed oil, commonly used as a wood finish, has a low flash point, making it highly flammable. The oil is obtained by pressing the seeds to withdraw the oil. When exposed to heat or flames, it. Linseed oil is derived from the seeds of the flax plant. Boiled linseed. Linseed Oil Flash Point.
From www.amazon.com
Linseed Oil Essential Oils 100 Pure Natural Aromatherapy Linseed Oil Flash Point When exposed to heat or flames, it. Linseed oil, commonly used as a wood finish, has a low flash point, making it highly flammable. 44 rows the smoke point of fats and oils decreases when they are at least partially split into free fatty acids and glycerol; Boiled linseed oils are produced from linseed oil using one or. The oil. Linseed Oil Flash Point.
From linseedpaint.com
The scientific approach Brouns & Co Linseed Paint and Oil Linseed Oil Flash Point When exposed to heat or flames, it. Boiled linseed oils are produced from linseed oil using one or. Linseed oil is one of the oldest and most versatile finishes that has been used for centuries to protect and seal wood, metal, and a variety of other products. 44 rows the smoke point of fats and oils decreases when they are. Linseed Oil Flash Point.
From www.researchgate.net
FTIR spectra for resin, adhesive and linseed oil. Download Scientific Linseed Oil Flash Point The oil’s ignition point is where it ignites without a flame. When exposed to heat or flames, it. Product of seed oil obtained from linum usitatissimum, linaceae (linseed). Linseed oil’s low flash point means it can catch fire more easily if not handled right. The oil is obtained by pressing the seeds to withdraw the oil. 44 rows the smoke. Linseed Oil Flash Point.
From woodworkly.com
Linseed Oil Advantages and Disadvantages [2023 Guide!] Linseed Oil Flash Point When exposed to heat or flames, it. Linseed oil, commonly used as a wood finish, has a low flash point, making it highly flammable. Linseed oil is derived from the seeds of the flax plant. The oil’s ignition point is where it ignites without a flame. Boiled linseed oils are produced from linseed oil using one or. 44 rows the. Linseed Oil Flash Point.
From www.researchgate.net
Pour point, flashpoint and acid number of the oils Download Table Linseed Oil Flash Point Linseed oil is one of the oldest and most versatile finishes that has been used for centuries to protect and seal wood, metal, and a variety of other products. The oil is obtained by pressing the seeds to withdraw the oil. The oil’s ignition point is where it ignites without a flame. Product of seed oil obtained from linum usitatissimum,. Linseed Oil Flash Point.
From flashpaints.com
Double Boiled Linseed Oil Flashpaints Linseed Oil Flash Point When exposed to heat or flames, it. The oil’s ignition point is where it ignites without a flame. Linseed oil is one of the oldest and most versatile finishes that has been used for centuries to protect and seal wood, metal, and a variety of other products. Linseed oil’s low flash point means it can catch fire more easily if. Linseed Oil Flash Point.
From www.pullingers.com
Winsor & Newton Drying Linseed Oil 75ml Linseed Oil Flash Point The oil’s ignition point is where it ignites without a flame. 44 rows the smoke point of fats and oils decreases when they are at least partially split into free fatty acids and glycerol; Linseed oil is derived from the seeds of the flax plant. Linseed oil’s low flash point means it can catch fire more easily if not handled. Linseed Oil Flash Point.
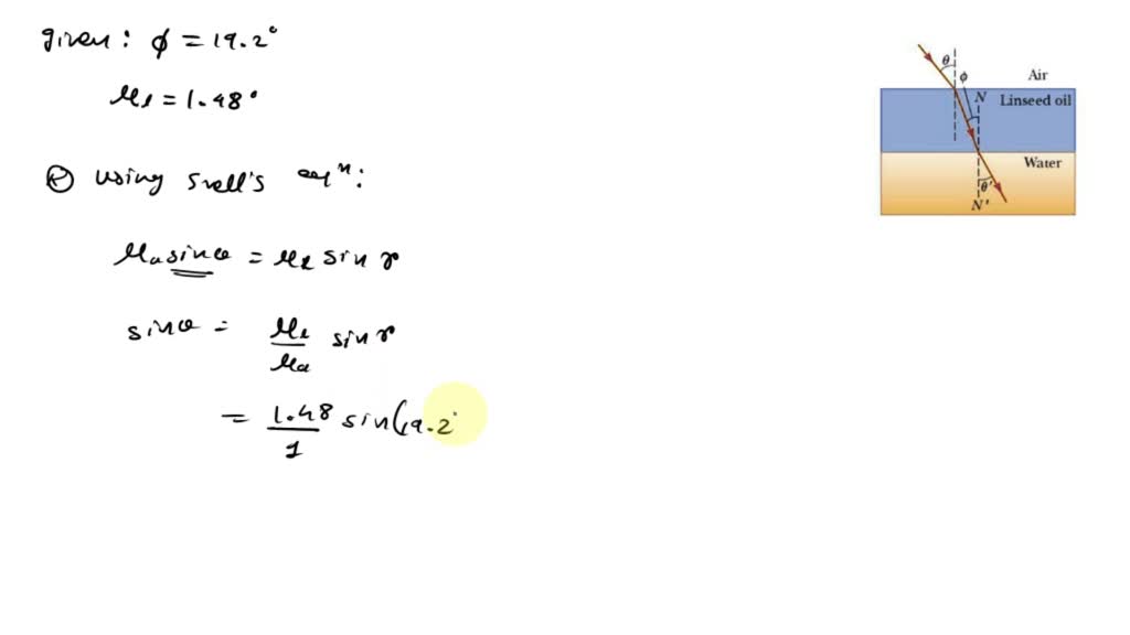
From www.numerade.com
SOLVED The light beam shown in the figure makes an angle of 20.08 with Linseed Oil Flash Point The oil’s ignition point is where it ignites without a flame. Product of seed oil obtained from linum usitatissimum, linaceae (linseed). Linseed oil, commonly used as a wood finish, has a low flash point, making it highly flammable. Linseed oil’s low flash point means it can catch fire more easily if not handled right. Linseed oil is one of the. Linseed Oil Flash Point.
From www.pinterest.com
How To Use Boiled Linseed Oil (Safely) The Craftsman Blog Boiled Linseed Oil Flash Point The oil’s ignition point is where it ignites without a flame. Boiled linseed oils are produced from linseed oil using one or. Linseed oil’s low flash point means it can catch fire more easily if not handled right. Product of seed oil obtained from linum usitatissimum, linaceae (linseed). The oil is obtained by pressing the seeds to withdraw the oil.. Linseed Oil Flash Point.
From www.youtube.com
Thickened Linseed Oil by Winsor & Newton YouTube Linseed Oil Flash Point Boiled linseed oils are produced from linseed oil using one or. When exposed to heat or flames, it. Product of seed oil obtained from linum usitatissimum, linaceae (linseed). The oil’s ignition point is where it ignites without a flame. 44 rows the smoke point of fats and oils decreases when they are at least partially split into free fatty acids. Linseed Oil Flash Point.
From www.researchgate.net
The flash point of mineral insulating oil modified by different mass Linseed Oil Flash Point When exposed to heat or flames, it. Linseed oil is one of the oldest and most versatile finishes that has been used for centuries to protect and seal wood, metal, and a variety of other products. Linseed oil, commonly used as a wood finish, has a low flash point, making it highly flammable. The oil’s ignition point is where it. Linseed Oil Flash Point.
From www.researchgate.net
1 HNMR spectrum of linseed oil. Download Scientific Diagram Linseed Oil Flash Point When exposed to heat or flames, it. Linseed oil is one of the oldest and most versatile finishes that has been used for centuries to protect and seal wood, metal, and a variety of other products. Linseed oil’s low flash point means it can catch fire more easily if not handled right. Product of seed oil obtained from linum usitatissimum,. Linseed Oil Flash Point.
From www.seedguides.info
Linseed Oil Benefits, Uses, Side Effects, Reviews and Facts (Flax Seed Oil) Linseed Oil Flash Point Linseed oil is one of the oldest and most versatile finishes that has been used for centuries to protect and seal wood, metal, and a variety of other products. Linseed oil, commonly used as a wood finish, has a low flash point, making it highly flammable. When exposed to heat or flames, it. 44 rows the smoke point of fats. Linseed Oil Flash Point.
From theartistwarehouse.com.au
Refined Linseed Oil The Artist Warehouse Linseed Oil Flash Point 44 rows the smoke point of fats and oils decreases when they are at least partially split into free fatty acids and glycerol; Product of seed oil obtained from linum usitatissimum, linaceae (linseed). Linseed oil is derived from the seeds of the flax plant. Linseed oil is one of the oldest and most versatile finishes that has been used for. Linseed Oil Flash Point.
From www.machinerylubrication.com
How to Test Flash Point Linseed Oil Flash Point Linseed oil’s low flash point means it can catch fire more easily if not handled right. Linseed oil, commonly used as a wood finish, has a low flash point, making it highly flammable. Product of seed oil obtained from linum usitatissimum, linaceae (linseed). Linseed oil is one of the oldest and most versatile finishes that has been used for centuries. Linseed Oil Flash Point.