What Is The Average Height Of A Lamp Post . How tall should a lamp post be, ie how high above a road or pavement should a luminarie or light be? The height of lamp posts can range from 6 feet to 40 feet and above. These are a few examples of the size difference between the lamp posts. The typical height of a lamp post varies depending on its purpose and location. Most are approximately 13 feet or more. Most street lights range between 5 metres and 12 metres in height. Street lights tend to be taller. The typical lamp post height is a range of 2,4m to 15m (8 to 50 feet). The shorter heights are usually placed in residential areas, normally being around 5 to 6 metres tall. Also we have included some images. The height of lamp posts can range from 6 feet to 40 feet and above. Lamp post scale & sizing guide. Most are approximately 13 feet or more Street lights tend to be taller. Generally, lamp posts are between 8 and 15 feet tall.
from corridorbusiness.com
The height of lamp posts can range from 6 feet to 40 feet and above. The shorter heights are usually placed in residential areas, normally being around 5 to 6 metres tall. How tall should a lamp post be, ie how high above a road or pavement should a luminarie or light be? Generally, lamp posts are between 8 and 15 feet tall. These are a few examples of the size difference between the lamp posts. The typical lamp post height is a range of 2,4m to 15m (8 to 50 feet). Most are approximately 13 feet or more. Street lights tend to be taller. Most street lights range between 5 metres and 12 metres in height. The height of lamp posts can range from 6 feet to 40 feet and above.
Iowa City Downtown District introducing ‘Hello Lamp Post’ program
What Is The Average Height Of A Lamp Post The typical height of a lamp post varies depending on its purpose and location. The height of lamp posts can range from 6 feet to 40 feet and above. Street lights tend to be taller. Generally, lamp posts are between 8 and 15 feet tall. The shorter heights are usually placed in residential areas, normally being around 5 to 6 metres tall. Also we have included some images. The higher up they are the. These are a few examples of the size difference between the lamp posts. Lamp post scale & sizing guide. The height of lamp posts can range from 6 feet to 40 feet and above. The typical height of a lamp post varies depending on its purpose and location. Street lights tend to be taller. Most are approximately 13 feet or more. How tall should a lamp post be, ie how high above a road or pavement should a luminarie or light be? The typical lamp post height is a range of 2,4m to 15m (8 to 50 feet). Most are approximately 13 feet or more
From www.ehow.co.uk
What is the height of a lamp post? eHow UK What Is The Average Height Of A Lamp Post These are a few examples of the size difference between the lamp posts. Street lights tend to be taller. The typical lamp post height is a range of 2,4m to 15m (8 to 50 feet). Also we have included some images. Lamp post scale & sizing guide. The higher up they are the. Generally, lamp posts are between 8 and. What Is The Average Height Of A Lamp Post.
From www.oliveandjunehome.com
How to Pick the Right Size Lamp (Every Time!) — Olive & June What Is The Average Height Of A Lamp Post The shorter heights are usually placed in residential areas, normally being around 5 to 6 metres tall. How tall should a lamp post be, ie how high above a road or pavement should a luminarie or light be? The height of lamp posts can range from 6 feet to 40 feet and above. Lamp post scale & sizing guide. Most. What Is The Average Height Of A Lamp Post.
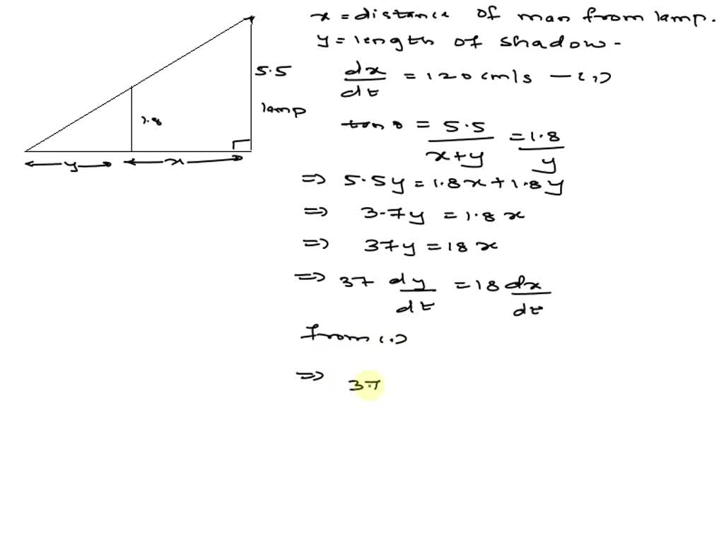
From www.numerade.com
SOLVED a man of height 1.8m walks away from a 5.5m lamp post at the What Is The Average Height Of A Lamp Post Most are approximately 13 feet or more. The shorter heights are usually placed in residential areas, normally being around 5 to 6 metres tall. Most are approximately 13 feet or more Generally, lamp posts are between 8 and 15 feet tall. The height of lamp posts can range from 6 feet to 40 feet and above. The higher up they. What Is The Average Height Of A Lamp Post.
From homeminimalisite.com
How To Adjust Height Of Pendant Light What Is The Average Height Of A Lamp Post Street lights tend to be taller. The shorter heights are usually placed in residential areas, normally being around 5 to 6 metres tall. The height of lamp posts can range from 6 feet to 40 feet and above. How tall should a lamp post be, ie how high above a road or pavement should a luminarie or light be? Most. What Is The Average Height Of A Lamp Post.
From exoabfrze.blob.core.windows.net
What Is Standard Lamp Post Height at Robert Lajoie blog What Is The Average Height Of A Lamp Post The height of lamp posts can range from 6 feet to 40 feet and above. Street lights tend to be taller. Most street lights range between 5 metres and 12 metres in height. Lamp post scale & sizing guide. The typical height of a lamp post varies depending on its purpose and location. The typical lamp post height is a. What Is The Average Height Of A Lamp Post.
From elecrisric.github.io
Lamp Post Electric Eye Michael Heathcaldwell M.arch Elecrisric What Is The Average Height Of A Lamp Post Lamp post scale & sizing guide. The height of lamp posts can range from 6 feet to 40 feet and above. Also we have included some images. The typical height of a lamp post varies depending on its purpose and location. The higher up they are the. Most street lights range between 5 metres and 12 metres in height. Generally,. What Is The Average Height Of A Lamp Post.
From tachyonlight.com
What Factors Should be Considered When Buying LED Street Lights What Is The Average Height Of A Lamp Post How tall should a lamp post be, ie how high above a road or pavement should a luminarie or light be? The shorter heights are usually placed in residential areas, normally being around 5 to 6 metres tall. The typical height of a lamp post varies depending on its purpose and location. Street lights tend to be taller. Also we. What Is The Average Height Of A Lamp Post.
From bralpowerassociate.blogspot.com
Power Engineering lamp post pole 3m height What Is The Average Height Of A Lamp Post Most are approximately 13 feet or more Street lights tend to be taller. Generally, lamp posts are between 8 and 15 feet tall. The height of lamp posts can range from 6 feet to 40 feet and above. Lamp post scale & sizing guide. Also we have included some images. Most street lights range between 5 metres and 12 metres. What Is The Average Height Of A Lamp Post.
From schematicschaumtonpp.z21.web.core.windows.net
Hardwired Outdoor Lamp Post What Is The Average Height Of A Lamp Post The height of lamp posts can range from 6 feet to 40 feet and above. Most are approximately 13 feet or more. Most street lights range between 5 metres and 12 metres in height. The typical height of a lamp post varies depending on its purpose and location. The shorter heights are usually placed in residential areas, normally being around. What Is The Average Height Of A Lamp Post.
From www.artcomcrea.com
Best Height For Bathroom Wall Sconces What Is The Average Height Of A Lamp Post The shorter heights are usually placed in residential areas, normally being around 5 to 6 metres tall. The higher up they are the. The height of lamp posts can range from 6 feet to 40 feet and above. The typical height of a lamp post varies depending on its purpose and location. Street lights tend to be taller. Most are. What Is The Average Height Of A Lamp Post.
From www.amazon.in
Floor Lamp Standing Modern Black 5ft Height Off White Lamp Shade 12/11 What Is The Average Height Of A Lamp Post Street lights tend to be taller. How tall should a lamp post be, ie how high above a road or pavement should a luminarie or light be? Also we have included some images. Lamp post scale & sizing guide. The shorter heights are usually placed in residential areas, normally being around 5 to 6 metres tall. The height of lamp. What Is The Average Height Of A Lamp Post.
From www.sportskeeda.com
5 best lamp post ideas for Minecraft beginners What Is The Average Height Of A Lamp Post The typical height of a lamp post varies depending on its purpose and location. Most street lights range between 5 metres and 12 metres in height. These are a few examples of the size difference between the lamp posts. The height of lamp posts can range from 6 feet to 40 feet and above. The shorter heights are usually placed. What Is The Average Height Of A Lamp Post.
From www.pinterest.com
Pin by Wefness on Myself in 2022 Lamp post, Structures What Is The Average Height Of A Lamp Post Street lights tend to be taller. The height of lamp posts can range from 6 feet to 40 feet and above. The typical height of a lamp post varies depending on its purpose and location. The higher up they are the. Most street lights range between 5 metres and 12 metres in height. The height of lamp posts can range. What Is The Average Height Of A Lamp Post.
From www.oliveandjunehome.com
How to Pick the Right Size Lamp (Every Time!) — Olive & June What Is The Average Height Of A Lamp Post The height of lamp posts can range from 6 feet to 40 feet and above. Lamp post scale & sizing guide. Street lights tend to be taller. Most street lights range between 5 metres and 12 metres in height. How tall should a lamp post be, ie how high above a road or pavement should a luminarie or light be?. What Is The Average Height Of A Lamp Post.
From vietnamcastiron.com
Lamp post height for each area How tall are outdoor lighting poles? What Is The Average Height Of A Lamp Post The higher up they are the. Most street lights range between 5 metres and 12 metres in height. Street lights tend to be taller. Lamp post scale & sizing guide. Street lights tend to be taller. The shorter heights are usually placed in residential areas, normally being around 5 to 6 metres tall. Most are approximately 13 feet or more.. What Is The Average Height Of A Lamp Post.
From www.pinterest.com
30 Cheap Table Lamps + Sources + What Size to Get Cheap table lamps What Is The Average Height Of A Lamp Post Generally, lamp posts are between 8 and 15 feet tall. Street lights tend to be taller. Most are approximately 13 feet or more Most street lights range between 5 metres and 12 metres in height. The height of lamp posts can range from 6 feet to 40 feet and above. The shorter heights are usually placed in residential areas, normally. What Is The Average Height Of A Lamp Post.
From ar.inspiredpencil.com
Right Size Lamp Shade What Is The Average Height Of A Lamp Post Most are approximately 13 feet or more. Generally, lamp posts are between 8 and 15 feet tall. The shorter heights are usually placed in residential areas, normally being around 5 to 6 metres tall. Lamp post scale & sizing guide. The height of lamp posts can range from 6 feet to 40 feet and above. Street lights tend to be. What Is The Average Height Of A Lamp Post.
From fireman-lierz.blogspot.com
valmont street light pole price list firemanlierz What Is The Average Height Of A Lamp Post Generally, lamp posts are between 8 and 15 feet tall. These are a few examples of the size difference between the lamp posts. The height of lamp posts can range from 6 feet to 40 feet and above. The height of lamp posts can range from 6 feet to 40 feet and above. The typical height of a lamp post. What Is The Average Height Of A Lamp Post.
From www.pinterest.com
Outdoor Lamp Posts, Outdoor Post Lights, Outdoor Lighting, Solar Lamp What Is The Average Height Of A Lamp Post Most are approximately 13 feet or more The higher up they are the. How tall should a lamp post be, ie how high above a road or pavement should a luminarie or light be? Most are approximately 13 feet or more. The height of lamp posts can range from 6 feet to 40 feet and above. Street lights tend to. What Is The Average Height Of A Lamp Post.
From www.steel-tubularpole.com
Height 2030M LED High Mast Steel Lighting Poles with Lifting System What Is The Average Height Of A Lamp Post The height of lamp posts can range from 6 feet to 40 feet and above. Street lights tend to be taller. Most street lights range between 5 metres and 12 metres in height. Street lights tend to be taller. The height of lamp posts can range from 6 feet to 40 feet and above. Generally, lamp posts are between 8. What Is The Average Height Of A Lamp Post.
From www.livingetc.com
What's the correct light height over a dining table? Livingetc What Is The Average Height Of A Lamp Post The typical lamp post height is a range of 2,4m to 15m (8 to 50 feet). Lamp post scale & sizing guide. Most are approximately 13 feet or more How tall should a lamp post be, ie how high above a road or pavement should a luminarie or light be? The height of lamp posts can range from 6 feet. What Is The Average Height Of A Lamp Post.
From exocokfng.blob.core.windows.net
Outdoor Standing Lamp Post at Donald Tanner blog What Is The Average Height Of A Lamp Post The height of lamp posts can range from 6 feet to 40 feet and above. These are a few examples of the size difference between the lamp posts. Lamp post scale & sizing guide. How tall should a lamp post be, ie how high above a road or pavement should a luminarie or light be? Street lights tend to be. What Is The Average Height Of A Lamp Post.
From adrienkruwfoster.blogspot.com
A Man Walks Away From a Lamp Post AdrienkruwFoster What Is The Average Height Of A Lamp Post The typical lamp post height is a range of 2,4m to 15m (8 to 50 feet). These are a few examples of the size difference between the lamp posts. Most are approximately 13 feet or more. Also we have included some images. Generally, lamp posts are between 8 and 15 feet tall. Street lights tend to be taller. Street lights. What Is The Average Height Of A Lamp Post.
From www.ledfl.com
Customized Solar light pole high strength no rust Outdoor solar power What Is The Average Height Of A Lamp Post The height of lamp posts can range from 6 feet to 40 feet and above. Lamp post scale & sizing guide. Most are approximately 13 feet or more How tall should a lamp post be, ie how high above a road or pavement should a luminarie or light be? Also we have included some images. Most are approximately 13 feet. What Is The Average Height Of A Lamp Post.
From www.lightingandlights.co.uk
The Complete Guide to Floor Lamps Lighting & Lights What Is The Average Height Of A Lamp Post The higher up they are the. Street lights tend to be taller. The typical height of a lamp post varies depending on its purpose and location. Most are approximately 13 feet or more. Most street lights range between 5 metres and 12 metres in height. The height of lamp posts can range from 6 feet to 40 feet and above.. What Is The Average Height Of A Lamp Post.
From mechanichydeincognitoub.z14.web.core.windows.net
Average Height Of A Traffic Light Pole What Is The Average Height Of A Lamp Post Most are approximately 13 feet or more Street lights tend to be taller. These are a few examples of the size difference between the lamp posts. Also we have included some images. The typical height of a lamp post varies depending on its purpose and location. Most are approximately 13 feet or more. How tall should a lamp post be,. What Is The Average Height Of A Lamp Post.
From design.udlvirtual.edu.pe
How To Make A Concrete Light Pole Base Design Talk What Is The Average Height Of A Lamp Post The shorter heights are usually placed in residential areas, normally being around 5 to 6 metres tall. The typical height of a lamp post varies depending on its purpose and location. The higher up they are the. Most are approximately 13 feet or more. Most street lights range between 5 metres and 12 metres in height. Street lights tend to. What Is The Average Height Of A Lamp Post.
From www.pinterest.com.mx
A 2.7 metre tall black Victorian lamp post installed on an outdoor What Is The Average Height Of A Lamp Post Most street lights range between 5 metres and 12 metres in height. The typical height of a lamp post varies depending on its purpose and location. These are a few examples of the size difference between the lamp posts. Most are approximately 13 feet or more The shorter heights are usually placed in residential areas, normally being around 5 to. What Is The Average Height Of A Lamp Post.
From www.englishlampposts.co.uk
Lamp Post Scale & Sizing Guide What Is The Average Height Of A Lamp Post Street lights tend to be taller. Most are approximately 13 feet or more The height of lamp posts can range from 6 feet to 40 feet and above. Most are approximately 13 feet or more. Generally, lamp posts are between 8 and 15 feet tall. The shorter heights are usually placed in residential areas, normally being around 5 to 6. What Is The Average Height Of A Lamp Post.
From engineeringdiscoveries.com
How To Calculate No Of Street Light Poles Engineering Discoveries What Is The Average Height Of A Lamp Post How tall should a lamp post be, ie how high above a road or pavement should a luminarie or light be? Most street lights range between 5 metres and 12 metres in height. Also we have included some images. The typical lamp post height is a range of 2,4m to 15m (8 to 50 feet). The height of lamp posts. What Is The Average Height Of A Lamp Post.
From dailyengineering.com
How To Calculate No Of Street Light Poles Daily Engineering What Is The Average Height Of A Lamp Post Most are approximately 13 feet or more. How tall should a lamp post be, ie how high above a road or pavement should a luminarie or light be? The typical lamp post height is a range of 2,4m to 15m (8 to 50 feet). Also we have included some images. The higher up they are the. The height of lamp. What Is The Average Height Of A Lamp Post.
From br.pinterest.com
Driveway Light Post, Driveway Lighting, Post Lighting, Rustic Lighting What Is The Average Height Of A Lamp Post Generally, lamp posts are between 8 and 15 feet tall. The typical lamp post height is a range of 2,4m to 15m (8 to 50 feet). Most are approximately 13 feet or more. The height of lamp posts can range from 6 feet to 40 feet and above. The higher up they are the. Also we have included some images.. What Is The Average Height Of A Lamp Post.
From lessonlistfleischer.z19.web.core.windows.net
Lamp Shade Lamp Sizes Chart What Is The Average Height Of A Lamp Post Street lights tend to be taller. These are a few examples of the size difference between the lamp posts. Most street lights range between 5 metres and 12 metres in height. The height of lamp posts can range from 6 feet to 40 feet and above. Most are approximately 13 feet or more The typical height of a lamp post. What Is The Average Height Of A Lamp Post.
From hometastic.eu
Wie wähle ich den richtigen Lampenschirm? What Is The Average Height Of A Lamp Post The height of lamp posts can range from 6 feet to 40 feet and above. These are a few examples of the size difference between the lamp posts. The typical height of a lamp post varies depending on its purpose and location. Generally, lamp posts are between 8 and 15 feet tall. Street lights tend to be taller. How tall. What Is The Average Height Of A Lamp Post.
From corridorbusiness.com
Iowa City Downtown District introducing ‘Hello Lamp Post’ program What Is The Average Height Of A Lamp Post Generally, lamp posts are between 8 and 15 feet tall. Street lights tend to be taller. Street lights tend to be taller. Also we have included some images. The height of lamp posts can range from 6 feet to 40 feet and above. How tall should a lamp post be, ie how high above a road or pavement should a. What Is The Average Height Of A Lamp Post.