Alpha Beta Abc . The military alphabet or military phonetic alphabet dates back tp 1927. 27 rows the nato phonetic alphabet is a spelling alphabet, a set of words used instead of letters in oral communication. 27 rows the term “ nato phonetic alphabet ” was adopted prior to the cold war as an alternative name for the icao phonetic. the nato phonetic alphabet is used worldwide in radio communications by militaries and civilians alike. Explore the phonetic alphabet the military way. it is a system of letters and numbers used by the armed forces of the united states, north atlantic treaty organization (nato), and international civil. the nato phonetic alphabet, also known as the international radiotelephony spelling alphabet and. Yet many people are not aware that it was nato.
from alphabeta-education.de
The military alphabet or military phonetic alphabet dates back tp 1927. Yet many people are not aware that it was nato. Explore the phonetic alphabet the military way. the nato phonetic alphabet is used worldwide in radio communications by militaries and civilians alike. 27 rows the nato phonetic alphabet is a spelling alphabet, a set of words used instead of letters in oral communication. 27 rows the term “ nato phonetic alphabet ” was adopted prior to the cold war as an alternative name for the icao phonetic. it is a system of letters and numbers used by the armed forces of the united states, north atlantic treaty organization (nato), and international civil. the nato phonetic alphabet, also known as the international radiotelephony spelling alphabet and.
ALPHA BETA Language & Coaching Home
Alpha Beta Abc it is a system of letters and numbers used by the armed forces of the united states, north atlantic treaty organization (nato), and international civil. 27 rows the nato phonetic alphabet is a spelling alphabet, a set of words used instead of letters in oral communication. the nato phonetic alphabet, also known as the international radiotelephony spelling alphabet and. it is a system of letters and numbers used by the armed forces of the united states, north atlantic treaty organization (nato), and international civil. Explore the phonetic alphabet the military way. 27 rows the term “ nato phonetic alphabet ” was adopted prior to the cold war as an alternative name for the icao phonetic. The military alphabet or military phonetic alphabet dates back tp 1927. the nato phonetic alphabet is used worldwide in radio communications by militaries and civilians alike. Yet many people are not aware that it was nato.
From www.youworkforthem.com
Alpha Beta Font YouWorkForThem Alpha Beta Abc 27 rows the term “ nato phonetic alphabet ” was adopted prior to the cold war as an alternative name for the icao phonetic. Yet many people are not aware that it was nato. Explore the phonetic alphabet the military way. The military alphabet or military phonetic alphabet dates back tp 1927. 27 rows the nato phonetic alphabet. Alpha Beta Abc.
From alphabeta-education.de
ALPHA BETA Language & Coaching Home Alpha Beta Abc it is a system of letters and numbers used by the armed forces of the united states, north atlantic treaty organization (nato), and international civil. the nato phonetic alphabet is used worldwide in radio communications by militaries and civilians alike. Explore the phonetic alphabet the military way. 27 rows the nato phonetic alphabet is a spelling alphabet,. Alpha Beta Abc.
From www.typhoon-hil.com
αβ to ABC Alpha Beta Abc The military alphabet or military phonetic alphabet dates back tp 1927. it is a system of letters and numbers used by the armed forces of the united states, north atlantic treaty organization (nato), and international civil. the nato phonetic alphabet, also known as the international radiotelephony spelling alphabet and. 27 rows the nato phonetic alphabet is a. Alpha Beta Abc.
From worksheetcampustombed.z13.web.core.windows.net
List Of Alphabet English Alpha Beta Abc Explore the phonetic alphabet the military way. the nato phonetic alphabet is used worldwide in radio communications by militaries and civilians alike. 27 rows the term “ nato phonetic alphabet ” was adopted prior to the cold war as an alternative name for the icao phonetic. it is a system of letters and numbers used by the. Alpha Beta Abc.
From alfa-beta.archiviotipografico.it
AlfaBeta Alpha Beta Abc it is a system of letters and numbers used by the armed forces of the united states, north atlantic treaty organization (nato), and international civil. 27 rows the nato phonetic alphabet is a spelling alphabet, a set of words used instead of letters in oral communication. the nato phonetic alphabet is used worldwide in radio communications by. Alpha Beta Abc.
From radmetron.com
AlphaBeta Radiation Detector BDAB for PM1403 Radmetron Alpha Beta Abc The military alphabet or military phonetic alphabet dates back tp 1927. Yet many people are not aware that it was nato. it is a system of letters and numbers used by the armed forces of the united states, north atlantic treaty organization (nato), and international civil. 27 rows the nato phonetic alphabet is a spelling alphabet, a set. Alpha Beta Abc.
From charliemike.org
From Alpha to Zulu The Evolution of the Alphabet Alpha Beta Abc 27 rows the nato phonetic alphabet is a spelling alphabet, a set of words used instead of letters in oral communication. 27 rows the term “ nato phonetic alphabet ” was adopted prior to the cold war as an alternative name for the icao phonetic. The military alphabet or military phonetic alphabet dates back tp 1927. the. Alpha Beta Abc.
From www.tessshebaylo.com
Roots Of Quadratic Equation Alpha Beta Formula Tessshebaylo Alpha Beta Abc it is a system of letters and numbers used by the armed forces of the united states, north atlantic treaty organization (nato), and international civil. Explore the phonetic alphabet the military way. The military alphabet or military phonetic alphabet dates back tp 1927. 27 rows the nato phonetic alphabet is a spelling alphabet, a set of words used. Alpha Beta Abc.
From cartoondealer.com
Alpha Beta Gamma, Greek Alphabet Vector Illustration CartoonDealer Alpha Beta Abc 27 rows the nato phonetic alphabet is a spelling alphabet, a set of words used instead of letters in oral communication. it is a system of letters and numbers used by the armed forces of the united states, north atlantic treaty organization (nato), and international civil. Yet many people are not aware that it was nato. the. Alpha Beta Abc.
From www.alamy.com
Alpha beta alphabet hires stock photography and images Alamy Alpha Beta Abc the nato phonetic alphabet is used worldwide in radio communications by militaries and civilians alike. Explore the phonetic alphabet the military way. The military alphabet or military phonetic alphabet dates back tp 1927. Yet many people are not aware that it was nato. it is a system of letters and numbers used by the armed forces of the. Alpha Beta Abc.
From www.meritnation.com
If alpha(not equal to)beta but (alpha)^2=5(alpha)3 and (beta)^2=5(beta Alpha Beta Abc the nato phonetic alphabet, also known as the international radiotelephony spelling alphabet and. Yet many people are not aware that it was nato. 27 rows the nato phonetic alphabet is a spelling alphabet, a set of words used instead of letters in oral communication. The military alphabet or military phonetic alphabet dates back tp 1927. the nato. Alpha Beta Abc.
From www.vrogue.co
Greek Alphabet Math Alpha Gamma Delta Symbols Gamma S vrogue.co Alpha Beta Abc Explore the phonetic alphabet the military way. it is a system of letters and numbers used by the armed forces of the united states, north atlantic treaty organization (nato), and international civil. The military alphabet or military phonetic alphabet dates back tp 1927. 27 rows the nato phonetic alphabet is a spelling alphabet, a set of words used. Alpha Beta Abc.
From pt.vecteezy.com
ondas cerebrais beta, alfa, teta, delta, gama. conjunto de oscilação de Alpha Beta Abc 27 rows the term “ nato phonetic alphabet ” was adopted prior to the cold war as an alternative name for the icao phonetic. the nato phonetic alphabet is used worldwide in radio communications by militaries and civilians alike. it is a system of letters and numbers used by the armed forces of the united states, north. Alpha Beta Abc.
From www.facebook.com
Alpha Beta Tutorials Ilesa Alpha Beta Abc The military alphabet or military phonetic alphabet dates back tp 1927. 27 rows the term “ nato phonetic alphabet ” was adopted prior to the cold war as an alternative name for the icao phonetic. the nato phonetic alphabet is used worldwide in radio communications by militaries and civilians alike. the nato phonetic alphabet, also known as. Alpha Beta Abc.
From www.youworkforthem.com
Alpha Beta Font YouWorkForThem Alpha Beta Abc 27 rows the nato phonetic alphabet is a spelling alphabet, a set of words used instead of letters in oral communication. the nato phonetic alphabet, also known as the international radiotelephony spelling alphabet and. it is a system of letters and numbers used by the armed forces of the united states, north atlantic treaty organization (nato), and. Alpha Beta Abc.
From www.pinterest.ca
Military Alphabet Table Printable Alpha Beta Abc the nato phonetic alphabet is used worldwide in radio communications by militaries and civilians alike. the nato phonetic alphabet, also known as the international radiotelephony spelling alphabet and. Yet many people are not aware that it was nato. The military alphabet or military phonetic alphabet dates back tp 1927. 27 rows the term “ nato phonetic alphabet. Alpha Beta Abc.
From mavink.com
Singkatan Alphabet Alpha Beta Abc it is a system of letters and numbers used by the armed forces of the united states, north atlantic treaty organization (nato), and international civil. Yet many people are not aware that it was nato. the nato phonetic alphabet is used worldwide in radio communications by militaries and civilians alike. The military alphabet or military phonetic alphabet dates. Alpha Beta Abc.
From www.etsy.com
Pilot Alphabet Aviation Print alpha beta charlie Alpha Beta Abc The military alphabet or military phonetic alphabet dates back tp 1927. 27 rows the term “ nato phonetic alphabet ” was adopted prior to the cold war as an alternative name for the icao phonetic. the nato phonetic alphabet, also known as the international radiotelephony spelling alphabet and. Yet many people are not aware that it was nato.. Alpha Beta Abc.
From coptic-alphabet.fandom.com
Alpha/Gallery Coptic Alphabet Wiki Fandom Alpha Beta Abc The military alphabet or military phonetic alphabet dates back tp 1927. the nato phonetic alphabet, also known as the international radiotelephony spelling alphabet and. 27 rows the nato phonetic alphabet is a spelling alphabet, a set of words used instead of letters in oral communication. Yet many people are not aware that it was nato. 27 rows. Alpha Beta Abc.
From www.facebook.com
Alpha Beta Kids Alpha Beta Abc 27 rows the term “ nato phonetic alphabet ” was adopted prior to the cold war as an alternative name for the icao phonetic. 27 rows the nato phonetic alphabet is a spelling alphabet, a set of words used instead of letters in oral communication. The military alphabet or military phonetic alphabet dates back tp 1927. Yet many. Alpha Beta Abc.
From www.youtube.com
El alfa y la beta del transistor bipolar BJT. Conceptos. YouTube Alpha Beta Abc The military alphabet or military phonetic alphabet dates back tp 1927. the nato phonetic alphabet is used worldwide in radio communications by militaries and civilians alike. it is a system of letters and numbers used by the armed forces of the united states, north atlantic treaty organization (nato), and international civil. 27 rows the term “ nato. Alpha Beta Abc.
From sparkartgallery.blogspot.com
SPARK Gallery Alphabet to Alpha beta Alpha Beta Abc 27 rows the term “ nato phonetic alphabet ” was adopted prior to the cold war as an alternative name for the icao phonetic. Explore the phonetic alphabet the military way. the nato phonetic alphabet is used worldwide in radio communications by militaries and civilians alike. it is a system of letters and numbers used by the. Alpha Beta Abc.
From cartoondealer.com
Alpha Beta Gamma, Greek Alphabet Vector Illustration CartoonDealer Alpha Beta Abc The military alphabet or military phonetic alphabet dates back tp 1927. the nato phonetic alphabet, also known as the international radiotelephony spelling alphabet and. it is a system of letters and numbers used by the armed forces of the united states, north atlantic treaty organization (nato), and international civil. the nato phonetic alphabet is used worldwide in. Alpha Beta Abc.
From www.vecteezy.com
The Greek alphabet small letter.Alpha,beta,gamma,delta,epsilon,zeta Alpha Beta Abc Explore the phonetic alphabet the military way. The military alphabet or military phonetic alphabet dates back tp 1927. 27 rows the term “ nato phonetic alphabet ” was adopted prior to the cold war as an alternative name for the icao phonetic. the nato phonetic alphabet is used worldwide in radio communications by militaries and civilians alike. . Alpha Beta Abc.
From mavink.com
Alpha Beta Delta Alphabet Alpha Beta Abc Explore the phonetic alphabet the military way. The military alphabet or military phonetic alphabet dates back tp 1927. 27 rows the nato phonetic alphabet is a spelling alphabet, a set of words used instead of letters in oral communication. the nato phonetic alphabet, also known as the international radiotelephony spelling alphabet and. 27 rows the term “. Alpha Beta Abc.
From byjus.com
alpha + beta = b/a.Then how to find (alpha beta) Alpha Beta Abc 27 rows the term “ nato phonetic alphabet ” was adopted prior to the cold war as an alternative name for the icao phonetic. the nato phonetic alphabet, also known as the international radiotelephony spelling alphabet and. 27 rows the nato phonetic alphabet is a spelling alphabet, a set of words used instead of letters in oral. Alpha Beta Abc.
From discord.com
ALPHA BETA GAMES Alpha Beta Abc the nato phonetic alphabet is used worldwide in radio communications by militaries and civilians alike. Yet many people are not aware that it was nato. The military alphabet or military phonetic alphabet dates back tp 1927. it is a system of letters and numbers used by the armed forces of the united states, north atlantic treaty organization (nato),. Alpha Beta Abc.
From crm.alfabetaglobal.com
Alfa BetaStudy abroad Alpha Beta Abc the nato phonetic alphabet is used worldwide in radio communications by militaries and civilians alike. Yet many people are not aware that it was nato. the nato phonetic alphabet, also known as the international radiotelephony spelling alphabet and. it is a system of letters and numbers used by the armed forces of the united states, north atlantic. Alpha Beta Abc.
From www.jordandigitalmarketing.com
Google Ads evolved, The AlphaBeta Process has to evolve too — JDM Alpha Beta Abc 27 rows the nato phonetic alphabet is a spelling alphabet, a set of words used instead of letters in oral communication. 27 rows the term “ nato phonetic alphabet ” was adopted prior to the cold war as an alternative name for the icao phonetic. it is a system of letters and numbers used by the armed. Alpha Beta Abc.
From erikaueno.blogspot.com
Alpha Number Code Erikueno blog Alpha Beta Abc the nato phonetic alphabet is used worldwide in radio communications by militaries and civilians alike. the nato phonetic alphabet, also known as the international radiotelephony spelling alphabet and. 27 rows the term “ nato phonetic alphabet ” was adopted prior to the cold war as an alternative name for the icao phonetic. Explore the phonetic alphabet the. Alpha Beta Abc.
From www.youtube.com
WHAT IS THE VALUE OF ALPHA+BETA AND ALPHA×BETA FROM THE GIVEN QUADRATIC Alpha Beta Abc 27 rows the nato phonetic alphabet is a spelling alphabet, a set of words used instead of letters in oral communication. 27 rows the term “ nato phonetic alphabet ” was adopted prior to the cold war as an alternative name for the icao phonetic. Yet many people are not aware that it was nato. The military alphabet. Alpha Beta Abc.
From www.novusbio.com
Human FSH alpha/beta Protein, CF (5925FS/CF) Novus Alpha Beta Abc 27 rows the nato phonetic alphabet is a spelling alphabet, a set of words used instead of letters in oral communication. The military alphabet or military phonetic alphabet dates back tp 1927. 27 rows the term “ nato phonetic alphabet ” was adopted prior to the cold war as an alternative name for the icao phonetic. it. Alpha Beta Abc.
From alphabeta.com.mx
Default Alpha Beta® Alpha Beta Abc Explore the phonetic alphabet the military way. 27 rows the nato phonetic alphabet is a spelling alphabet, a set of words used instead of letters in oral communication. The military alphabet or military phonetic alphabet dates back tp 1927. the nato phonetic alphabet, also known as the international radiotelephony spelling alphabet and. Yet many people are not aware. Alpha Beta Abc.
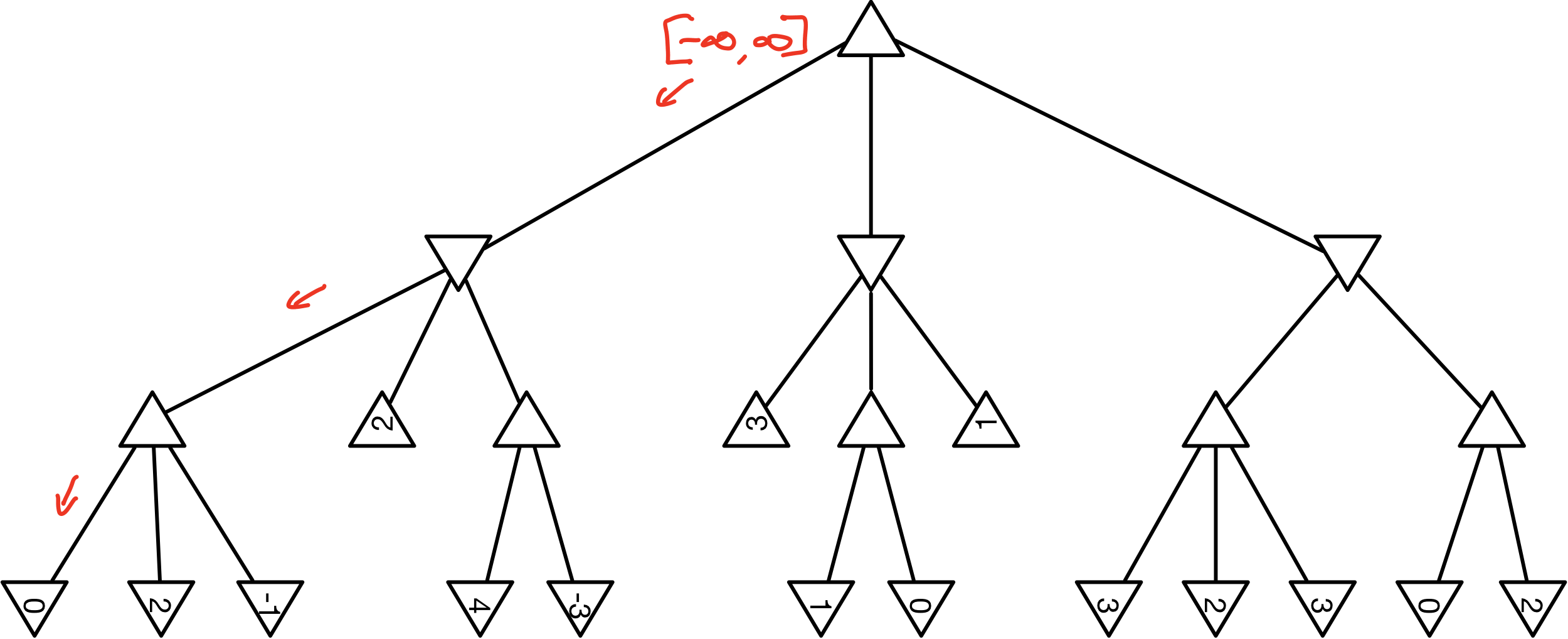
From ai-fall2023.ai2es.org
AlphaBeta Examples Artificial Intelligence Fall 2023 Alpha Beta Abc the nato phonetic alphabet, also known as the international radiotelephony spelling alphabet and. The military alphabet or military phonetic alphabet dates back tp 1927. Yet many people are not aware that it was nato. it is a system of letters and numbers used by the armed forces of the united states, north atlantic treaty organization (nato), and international. Alpha Beta Abc.
From creazilla.com
Alpha Beta BRK Regular font Free fonts on Creazilla Creazilla Alpha Beta Abc The military alphabet or military phonetic alphabet dates back tp 1927. 27 rows the nato phonetic alphabet is a spelling alphabet, a set of words used instead of letters in oral communication. Explore the phonetic alphabet the military way. it is a system of letters and numbers used by the armed forces of the united states, north atlantic. Alpha Beta Abc.