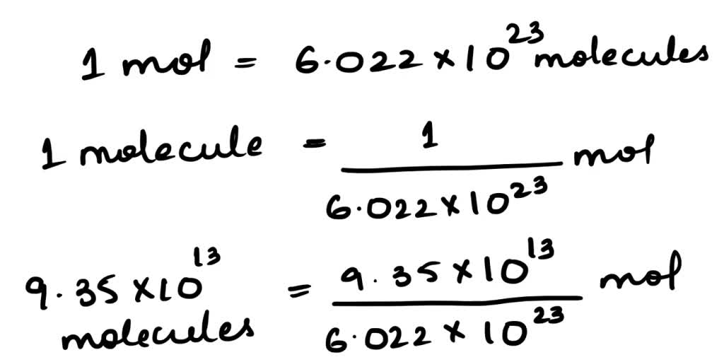
What Pressure Will 2.6*X10^23 Molecules Of H2 . What pressure will 2.6 x 10^23 molecules of h2 exert in a 3.9 l container at 45â°c? Easily calculate the pressure, volume, temperature or quantity in moles of a gas using this combined gas law calculator (boyle's law calculator,. 5.7 atm 0.17 atm 2.9 atm 3.4 atm 4.6 atmwatch the full video. We can do this by using avogadro's number (6.022 x 10^23. To find the pressure, we first need to convert the number of molecules to moles using avogadro's number (\(6.022 \times 10^{23}\) molecules/mol). First, we need to find the number of moles of h2 gas. Read on to learn about the characteristics of an ideal gas,. Calculate the number of moles of h2 by using avogadro's number (6.022x10^23), which represents the number of particles in one mole of. We will calculate the pressure 2.6 × 1 0 23 2.6 \times 10^{23} 2.6 × 1 0 23 hydrogen molecules will exert in a 3.9 l container at 45 ° \degree ° c. This ideal gas law calculator will help you establish the properties of an ideal gas subject to pressure, temperature, or volume changes. The pressure exerted by 2.6 x 10^23 molecules of h2 in a 3.9 l container at 45°c can be calculated using the ideal gas law equation (pv=nrt).
from www.numerade.com
To find the pressure, we first need to convert the number of molecules to moles using avogadro's number (\(6.022 \times 10^{23}\) molecules/mol). What pressure will 2.6 x 10^23 molecules of h2 exert in a 3.9 l container at 45â°c? 5.7 atm 0.17 atm 2.9 atm 3.4 atm 4.6 atmwatch the full video. We can do this by using avogadro's number (6.022 x 10^23. Read on to learn about the characteristics of an ideal gas,. The pressure exerted by 2.6 x 10^23 molecules of h2 in a 3.9 l container at 45°c can be calculated using the ideal gas law equation (pv=nrt). Easily calculate the pressure, volume, temperature or quantity in moles of a gas using this combined gas law calculator (boyle's law calculator,. First, we need to find the number of moles of h2 gas. Calculate the number of moles of h2 by using avogadro's number (6.022x10^23), which represents the number of particles in one mole of. We will calculate the pressure 2.6 × 1 0 23 2.6 \times 10^{23} 2.6 × 1 0 23 hydrogen molecules will exert in a 3.9 l container at 45 ° \degree ° c.
SOLVEDThe pressure of sulfur dioxide (SO2) is 2.12 ×10^4 Pa. There are
What Pressure Will 2.6*X10^23 Molecules Of H2 5.7 atm 0.17 atm 2.9 atm 3.4 atm 4.6 atmwatch the full video. This ideal gas law calculator will help you establish the properties of an ideal gas subject to pressure, temperature, or volume changes. What pressure will 2.6 x 10^23 molecules of h2 exert in a 3.9 l container at 45â°c? To find the pressure, we first need to convert the number of molecules to moles using avogadro's number (\(6.022 \times 10^{23}\) molecules/mol). First, we need to find the number of moles of h2 gas. The pressure exerted by 2.6 x 10^23 molecules of h2 in a 3.9 l container at 45°c can be calculated using the ideal gas law equation (pv=nrt). Read on to learn about the characteristics of an ideal gas,. We will calculate the pressure 2.6 × 1 0 23 2.6 \times 10^{23} 2.6 × 1 0 23 hydrogen molecules will exert in a 3.9 l container at 45 ° \degree ° c. We can do this by using avogadro's number (6.022 x 10^23. Calculate the number of moles of h2 by using avogadro's number (6.022x10^23), which represents the number of particles in one mole of. 5.7 atm 0.17 atm 2.9 atm 3.4 atm 4.6 atmwatch the full video. Easily calculate the pressure, volume, temperature or quantity in moles of a gas using this combined gas law calculator (boyle's law calculator,.
From www.drillingformulas.com
Understand Hydrostatic Pressure What Pressure Will 2.6*X10^23 Molecules Of H2 To find the pressure, we first need to convert the number of molecules to moles using avogadro's number (\(6.022 \times 10^{23}\) molecules/mol). Calculate the number of moles of h2 by using avogadro's number (6.022x10^23), which represents the number of particles in one mole of. The pressure exerted by 2.6 x 10^23 molecules of h2 in a 3.9 l container at. What Pressure Will 2.6*X10^23 Molecules Of H2.
From www.numerade.com
SOLVED From the ideal gas law pV = nRT, calculate how many molecules What Pressure Will 2.6*X10^23 Molecules Of H2 5.7 atm 0.17 atm 2.9 atm 3.4 atm 4.6 atmwatch the full video. Calculate the number of moles of h2 by using avogadro's number (6.022x10^23), which represents the number of particles in one mole of. First, we need to find the number of moles of h2 gas. What pressure will 2.6 x 10^23 molecules of h2 exert in a 3.9. What Pressure Will 2.6*X10^23 Molecules Of H2.
From www.youtube.com
What is the mass of 6.02 x10 23 molecules of H2O? YouTube What Pressure Will 2.6*X10^23 Molecules Of H2 To find the pressure, we first need to convert the number of molecules to moles using avogadro's number (\(6.022 \times 10^{23}\) molecules/mol). The pressure exerted by 2.6 x 10^23 molecules of h2 in a 3.9 l container at 45°c can be calculated using the ideal gas law equation (pv=nrt). Calculate the number of moles of h2 by using avogadro's number. What Pressure Will 2.6*X10^23 Molecules Of H2.
From www.numerade.com
SOLVED 'Consider the reaction of solid Pa and chlorine gas to form What Pressure Will 2.6*X10^23 Molecules Of H2 Read on to learn about the characteristics of an ideal gas,. The pressure exerted by 2.6 x 10^23 molecules of h2 in a 3.9 l container at 45°c can be calculated using the ideal gas law equation (pv=nrt). 5.7 atm 0.17 atm 2.9 atm 3.4 atm 4.6 atmwatch the full video. Easily calculate the pressure, volume, temperature or quantity in. What Pressure Will 2.6*X10^23 Molecules Of H2.
From www.youtube.com
Which Compound Has a Higher Vapor Pressure? Intermolecular Force What Pressure Will 2.6*X10^23 Molecules Of H2 We can do this by using avogadro's number (6.022 x 10^23. Read on to learn about the characteristics of an ideal gas,. First, we need to find the number of moles of h2 gas. Easily calculate the pressure, volume, temperature or quantity in moles of a gas using this combined gas law calculator (boyle's law calculator,. This ideal gas law. What Pressure Will 2.6*X10^23 Molecules Of H2.
From www.numerade.com
SOLVEDThe pressure of sulfur dioxide (SO2) is 2.12 ×10^4 Pa. There are What Pressure Will 2.6*X10^23 Molecules Of H2 Calculate the number of moles of h2 by using avogadro's number (6.022x10^23), which represents the number of particles in one mole of. First, we need to find the number of moles of h2 gas. We will calculate the pressure 2.6 × 1 0 23 2.6 \times 10^{23} 2.6 × 1 0 23 hydrogen molecules will exert in a 3.9 l. What Pressure Will 2.6*X10^23 Molecules Of H2.
From www.studocu.com
Mole Concept Mole Concept How many moles are in 8 X 10^23 molecules What Pressure Will 2.6*X10^23 Molecules Of H2 Read on to learn about the characteristics of an ideal gas,. Easily calculate the pressure, volume, temperature or quantity in moles of a gas using this combined gas law calculator (boyle's law calculator,. This ideal gas law calculator will help you establish the properties of an ideal gas subject to pressure, temperature, or volume changes. What pressure will 2.6 x. What Pressure Will 2.6*X10^23 Molecules Of H2.
From www.bartleby.com
Answered Using the small x approximation to… bartleby What Pressure Will 2.6*X10^23 Molecules Of H2 Read on to learn about the characteristics of an ideal gas,. This ideal gas law calculator will help you establish the properties of an ideal gas subject to pressure, temperature, or volume changes. First, we need to find the number of moles of h2 gas. Easily calculate the pressure, volume, temperature or quantity in moles of a gas using this. What Pressure Will 2.6*X10^23 Molecules Of H2.
From www.numerade.com
SOLVED (E) Nz Xllss H2 Fz 3 2 HF limiting 25. In the reaction What Pressure Will 2.6*X10^23 Molecules Of H2 First, we need to find the number of moles of h2 gas. Read on to learn about the characteristics of an ideal gas,. Easily calculate the pressure, volume, temperature or quantity in moles of a gas using this combined gas law calculator (boyle's law calculator,. What pressure will 2.6 x 10^23 molecules of h2 exert in a 3.9 l container. What Pressure Will 2.6*X10^23 Molecules Of H2.
From www.numerade.com
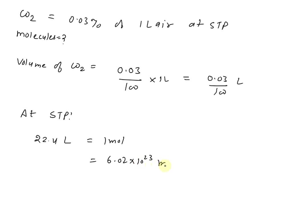
SOLVED How many molecules of CO2 are in 1 cm3 of air when the What Pressure Will 2.6*X10^23 Molecules Of H2 Calculate the number of moles of h2 by using avogadro's number (6.022x10^23), which represents the number of particles in one mole of. Read on to learn about the characteristics of an ideal gas,. 5.7 atm 0.17 atm 2.9 atm 3.4 atm 4.6 atmwatch the full video. We will calculate the pressure 2.6 × 1 0 23 2.6 \times 10^{23} 2.6. What Pressure Will 2.6*X10^23 Molecules Of H2.
From www.coursehero.com
[Solved] How many molecules are in 4 moles of CO2? R 3.61 x 1023 What Pressure Will 2.6*X10^23 Molecules Of H2 The pressure exerted by 2.6 x 10^23 molecules of h2 in a 3.9 l container at 45°c can be calculated using the ideal gas law equation (pv=nrt). Calculate the number of moles of h2 by using avogadro's number (6.022x10^23), which represents the number of particles in one mole of. First, we need to find the number of moles of h2. What Pressure Will 2.6*X10^23 Molecules Of H2.
From www.numerade.com
SOLVEDWrite the equilibrium constant expression for each reaction in What Pressure Will 2.6*X10^23 Molecules Of H2 We will calculate the pressure 2.6 × 1 0 23 2.6 \times 10^{23} 2.6 × 1 0 23 hydrogen molecules will exert in a 3.9 l container at 45 ° \degree ° c. 5.7 atm 0.17 atm 2.9 atm 3.4 atm 4.6 atmwatch the full video. Calculate the number of moles of h2 by using avogadro's number (6.022x10^23), which represents. What Pressure Will 2.6*X10^23 Molecules Of H2.
From slideplayer.com
Chemical Equilibrium Chapter 6 ppt download What Pressure Will 2.6*X10^23 Molecules Of H2 First, we need to find the number of moles of h2 gas. This ideal gas law calculator will help you establish the properties of an ideal gas subject to pressure, temperature, or volume changes. The pressure exerted by 2.6 x 10^23 molecules of h2 in a 3.9 l container at 45°c can be calculated using the ideal gas law equation. What Pressure Will 2.6*X10^23 Molecules Of H2.
From www.astro.uwo.ca
2.6 Pressuretemperature diagram for hydrogen molecules; all What Pressure Will 2.6*X10^23 Molecules Of H2 Calculate the number of moles of h2 by using avogadro's number (6.022x10^23), which represents the number of particles in one mole of. Read on to learn about the characteristics of an ideal gas,. Easily calculate the pressure, volume, temperature or quantity in moles of a gas using this combined gas law calculator (boyle's law calculator,. We will calculate the pressure. What Pressure Will 2.6*X10^23 Molecules Of H2.
From www.bartleby.com
Answered rogen produced from a hydrolysis… bartleby What Pressure Will 2.6*X10^23 Molecules Of H2 We can do this by using avogadro's number (6.022 x 10^23. The pressure exerted by 2.6 x 10^23 molecules of h2 in a 3.9 l container at 45°c can be calculated using the ideal gas law equation (pv=nrt). First, we need to find the number of moles of h2 gas. To find the pressure, we first need to convert the. What Pressure Will 2.6*X10^23 Molecules Of H2.
From slideplayer.com
Ch. 10 Chemical Quantities ppt download What Pressure Will 2.6*X10^23 Molecules Of H2 What pressure will 2.6 x 10^23 molecules of h2 exert in a 3.9 l container at 45â°c? To find the pressure, we first need to convert the number of molecules to moles using avogadro's number (\(6.022 \times 10^{23}\) molecules/mol). 5.7 atm 0.17 atm 2.9 atm 3.4 atm 4.6 atmwatch the full video. Read on to learn about the characteristics of. What Pressure Will 2.6*X10^23 Molecules Of H2.
From www.numerade.com
SOLVED Calculating mass product from mass reactant a. Given the What Pressure Will 2.6*X10^23 Molecules Of H2 The pressure exerted by 2.6 x 10^23 molecules of h2 in a 3.9 l container at 45°c can be calculated using the ideal gas law equation (pv=nrt). Read on to learn about the characteristics of an ideal gas,. 5.7 atm 0.17 atm 2.9 atm 3.4 atm 4.6 atmwatch the full video. We can do this by using avogadro's number (6.022. What Pressure Will 2.6*X10^23 Molecules Of H2.
From slideplayer.com
Microsystems Fabrication Processes ppt download What Pressure Will 2.6*X10^23 Molecules Of H2 First, we need to find the number of moles of h2 gas. We will calculate the pressure 2.6 × 1 0 23 2.6 \times 10^{23} 2.6 × 1 0 23 hydrogen molecules will exert in a 3.9 l container at 45 ° \degree ° c. To find the pressure, we first need to convert the number of molecules to moles. What Pressure Will 2.6*X10^23 Molecules Of H2.
From www.numerade.com
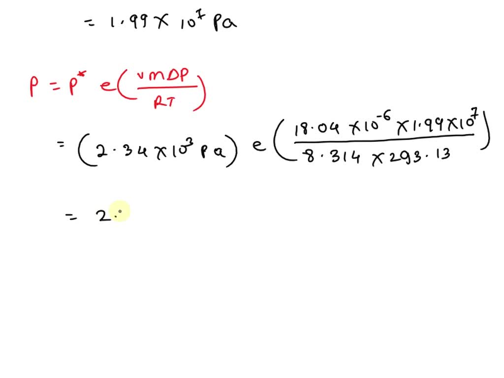
Pressure was exerted with a piston on water at 20 °C. The vapor What Pressure Will 2.6*X10^23 Molecules Of H2 We will calculate the pressure 2.6 × 1 0 23 2.6 \times 10^{23} 2.6 × 1 0 23 hydrogen molecules will exert in a 3.9 l container at 45 ° \degree ° c. Read on to learn about the characteristics of an ideal gas,. Calculate the number of moles of h2 by using avogadro's number (6.022x10^23), which represents the number. What Pressure Will 2.6*X10^23 Molecules Of H2.
From chem.libretexts.org
6.5 Gases in Chemical Reactions Chemistry LibreTexts What Pressure Will 2.6*X10^23 Molecules Of H2 Easily calculate the pressure, volume, temperature or quantity in moles of a gas using this combined gas law calculator (boyle's law calculator,. Calculate the number of moles of h2 by using avogadro's number (6.022x10^23), which represents the number of particles in one mole of. 5.7 atm 0.17 atm 2.9 atm 3.4 atm 4.6 atmwatch the full video. We can do. What Pressure Will 2.6*X10^23 Molecules Of H2.
From www.numerade.com
SOLVED How many grams are there in 7.5 X10^23 molecules of H2SO4? What Pressure Will 2.6*X10^23 Molecules Of H2 What pressure will 2.6 x 10^23 molecules of h2 exert in a 3.9 l container at 45â°c? We will calculate the pressure 2.6 × 1 0 23 2.6 \times 10^{23} 2.6 × 1 0 23 hydrogen molecules will exert in a 3.9 l container at 45 ° \degree ° c. This ideal gas law calculator will help you establish the. What Pressure Will 2.6*X10^23 Molecules Of H2.
From www.numerade.com
SOLVED Convert 66.3 grams of SiS2 to molecules. Convert 7.41 x 10^23 What Pressure Will 2.6*X10^23 Molecules Of H2 To find the pressure, we first need to convert the number of molecules to moles using avogadro's number (\(6.022 \times 10^{23}\) molecules/mol). We can do this by using avogadro's number (6.022 x 10^23. 5.7 atm 0.17 atm 2.9 atm 3.4 atm 4.6 atmwatch the full video. Easily calculate the pressure, volume, temperature or quantity in moles of a gas using. What Pressure Will 2.6*X10^23 Molecules Of H2.
From www.numerade.com
SOLVED How many molecules of NH4Br are in 3.811 g of NH4Br? What Pressure Will 2.6*X10^23 Molecules Of H2 The pressure exerted by 2.6 x 10^23 molecules of h2 in a 3.9 l container at 45°c can be calculated using the ideal gas law equation (pv=nrt). What pressure will 2.6 x 10^23 molecules of h2 exert in a 3.9 l container at 45â°c? Calculate the number of moles of h2 by using avogadro's number (6.022x10^23), which represents the number. What Pressure Will 2.6*X10^23 Molecules Of H2.
From slideplayer.com
Thermal Properties of Materials ppt download What Pressure Will 2.6*X10^23 Molecules Of H2 Easily calculate the pressure, volume, temperature or quantity in moles of a gas using this combined gas law calculator (boyle's law calculator,. This ideal gas law calculator will help you establish the properties of an ideal gas subject to pressure, temperature, or volume changes. Read on to learn about the characteristics of an ideal gas,. We can do this by. What Pressure Will 2.6*X10^23 Molecules Of H2.
From www.bartleby.com
Answered Nitrogen and hydrogen react to form… bartleby What Pressure Will 2.6*X10^23 Molecules Of H2 First, we need to find the number of moles of h2 gas. To find the pressure, we first need to convert the number of molecules to moles using avogadro's number (\(6.022 \times 10^{23}\) molecules/mol). We can do this by using avogadro's number (6.022 x 10^23. Easily calculate the pressure, volume, temperature or quantity in moles of a gas using this. What Pressure Will 2.6*X10^23 Molecules Of H2.
From brainly.com
1 mole = 6.02 x 10^23 molecules. 1 mole= 22.4 L How many liters does 5. What Pressure Will 2.6*X10^23 Molecules Of H2 Calculate the number of moles of h2 by using avogadro's number (6.022x10^23), which represents the number of particles in one mole of. We will calculate the pressure 2.6 × 1 0 23 2.6 \times 10^{23} 2.6 × 1 0 23 hydrogen molecules will exert in a 3.9 l container at 45 ° \degree ° c. Read on to learn about. What Pressure Will 2.6*X10^23 Molecules Of H2.
From slideplayer.com
Entry Task Jan 29 th 30 th Block 1 Calendar for this quarter pick What Pressure Will 2.6*X10^23 Molecules Of H2 First, we need to find the number of moles of h2 gas. Easily calculate the pressure, volume, temperature or quantity in moles of a gas using this combined gas law calculator (boyle's law calculator,. We can do this by using avogadro's number (6.022 x 10^23. Read on to learn about the characteristics of an ideal gas,. We will calculate the. What Pressure Will 2.6*X10^23 Molecules Of H2.
From www.chegg.com
Solved A mixture of three noble gases (He, Ne and Ar) is What Pressure Will 2.6*X10^23 Molecules Of H2 First, we need to find the number of moles of h2 gas. 5.7 atm 0.17 atm 2.9 atm 3.4 atm 4.6 atmwatch the full video. What pressure will 2.6 x 10^23 molecules of h2 exert in a 3.9 l container at 45â°c? We will calculate the pressure 2.6 × 1 0 23 2.6 \times 10^{23} 2.6 × 1 0 23. What Pressure Will 2.6*X10^23 Molecules Of H2.
From www.numerade.com
SOLVED the number of molecules in 3 moles of carbon dioxide are What Pressure Will 2.6*X10^23 Molecules Of H2 Calculate the number of moles of h2 by using avogadro's number (6.022x10^23), which represents the number of particles in one mole of. What pressure will 2.6 x 10^23 molecules of h2 exert in a 3.9 l container at 45â°c? We can do this by using avogadro's number (6.022 x 10^23. This ideal gas law calculator will help you establish the. What Pressure Will 2.6*X10^23 Molecules Of H2.
From www.toppr.com
6. Calculate the mass on 6.022 X10 23 no. of nitrogen molecules. What Pressure Will 2.6*X10^23 Molecules Of H2 We can do this by using avogadro's number (6.022 x 10^23. 5.7 atm 0.17 atm 2.9 atm 3.4 atm 4.6 atmwatch the full video. We will calculate the pressure 2.6 × 1 0 23 2.6 \times 10^{23} 2.6 × 1 0 23 hydrogen molecules will exert in a 3.9 l container at 45 ° \degree ° c. The pressure exerted. What Pressure Will 2.6*X10^23 Molecules Of H2.
From socialworkworld.blogspot.com
Understanding The 6.022 X 10^23 Calculator Socialworkworld What Pressure Will 2.6*X10^23 Molecules Of H2 Easily calculate the pressure, volume, temperature or quantity in moles of a gas using this combined gas law calculator (boyle's law calculator,. To find the pressure, we first need to convert the number of molecules to moles using avogadro's number (\(6.022 \times 10^{23}\) molecules/mol). Read on to learn about the characteristics of an ideal gas,. 5.7 atm 0.17 atm 2.9. What Pressure Will 2.6*X10^23 Molecules Of H2.
From www.bartleby.com
Answered Hydrogen and chlorine react to form… bartleby What Pressure Will 2.6*X10^23 Molecules Of H2 Calculate the number of moles of h2 by using avogadro's number (6.022x10^23), which represents the number of particles in one mole of. First, we need to find the number of moles of h2 gas. Read on to learn about the characteristics of an ideal gas,. 5.7 atm 0.17 atm 2.9 atm 3.4 atm 4.6 atmwatch the full video. We can. What Pressure Will 2.6*X10^23 Molecules Of H2.
From www.numerade.com
SOLVED An ideal gas occupies a volume of 1.2 cm³ at 20°C and What Pressure Will 2.6*X10^23 Molecules Of H2 The pressure exerted by 2.6 x 10^23 molecules of h2 in a 3.9 l container at 45°c can be calculated using the ideal gas law equation (pv=nrt). First, we need to find the number of moles of h2 gas. Calculate the number of moles of h2 by using avogadro's number (6.022x10^23), which represents the number of particles in one mole. What Pressure Will 2.6*X10^23 Molecules Of H2.
From www.numerade.com
SOLVED What is the mass of 3.5 x 10^23 molecules of CO2? How many What Pressure Will 2.6*X10^23 Molecules Of H2 Calculate the number of moles of h2 by using avogadro's number (6.022x10^23), which represents the number of particles in one mole of. We will calculate the pressure 2.6 × 1 0 23 2.6 \times 10^{23} 2.6 × 1 0 23 hydrogen molecules will exert in a 3.9 l container at 45 ° \degree ° c. Read on to learn about. What Pressure Will 2.6*X10^23 Molecules Of H2.
From www.toppr.com
Normal atmospheric pressure is 1.013 × 10^5 Pa . The approach of a What Pressure Will 2.6*X10^23 Molecules Of H2 First, we need to find the number of moles of h2 gas. We will calculate the pressure 2.6 × 1 0 23 2.6 \times 10^{23} 2.6 × 1 0 23 hydrogen molecules will exert in a 3.9 l container at 45 ° \degree ° c. Calculate the number of moles of h2 by using avogadro's number (6.022x10^23), which represents the. What Pressure Will 2.6*X10^23 Molecules Of H2.