How To Start A Tata Motors Dealership . In this comprehensive guide, we’ll walk you through the essential steps and considerations to establish a thriving car dealership business in canada. If you want to start your own tata motors dealership in india, then you are on right place. According to a media report, tata motors dealerships have turned profitable for the first time in nearly a decade. Check commission, investment, support, breakeven &. Tata motors franchise is one of the best automobile & services franchise in india. Read all the details about the dealership requirements, cost, profits & margin and the applying process. Find out the total capital required, ideal site and the application process and eligibility criteria to start dealership of tata motors showroom,. Get tata motors franchise opportunity here. Check out its review, revenue sharing, investment, support, fees,. Tata motors does not need an introduction. If you want to open a trusted and world class car showroom in india then tata motors dealership would be a good option for you. In fy2020, only 43% of its dealers were profitable. Start your own business now!
from www.youtube.com
Check commission, investment, support, breakeven &. Start your own business now! In this comprehensive guide, we’ll walk you through the essential steps and considerations to establish a thriving car dealership business in canada. Tata motors does not need an introduction. Find out the total capital required, ideal site and the application process and eligibility criteria to start dealership of tata motors showroom,. Get tata motors franchise opportunity here. If you want to open a trusted and world class car showroom in india then tata motors dealership would be a good option for you. Tata motors franchise is one of the best automobile & services franchise in india. Read all the details about the dealership requirements, cost, profits & margin and the applying process. If you want to start your own tata motors dealership in india, then you are on right place.
Tata motors dealership 🚘टाटा मोटर्स का शोरूम कैसे खोले?🤔 Franchise
How To Start A Tata Motors Dealership Start your own business now! Tata motors franchise is one of the best automobile & services franchise in india. According to a media report, tata motors dealerships have turned profitable for the first time in nearly a decade. Check out its review, revenue sharing, investment, support, fees,. If you want to start your own tata motors dealership in india, then you are on right place. Check commission, investment, support, breakeven &. Tata motors does not need an introduction. In fy2020, only 43% of its dealers were profitable. Find out the total capital required, ideal site and the application process and eligibility criteria to start dealership of tata motors showroom,. Read all the details about the dealership requirements, cost, profits & margin and the applying process. In this comprehensive guide, we’ll walk you through the essential steps and considerations to establish a thriving car dealership business in canada. If you want to open a trusted and world class car showroom in india then tata motors dealership would be a good option for you. Get tata motors franchise opportunity here. Start your own business now!
From smallbusinesshub.in
How to start Tata Power Solar Dealership in 2024? How To Start A Tata Motors Dealership Tata motors does not need an introduction. Check out its review, revenue sharing, investment, support, fees,. Find out the total capital required, ideal site and the application process and eligibility criteria to start dealership of tata motors showroom,. In fy2020, only 43% of its dealers were profitable. If you want to start your own tata motors dealership in india, then. How To Start A Tata Motors Dealership.
From www.motorindiaonline.in
VIJAI TRUCKING Newage Tata Motors dealer raring to go with bright How To Start A Tata Motors Dealership In this comprehensive guide, we’ll walk you through the essential steps and considerations to establish a thriving car dealership business in canada. Get tata motors franchise opportunity here. Find out the total capital required, ideal site and the application process and eligibility criteria to start dealership of tata motors showroom,. In fy2020, only 43% of its dealers were profitable. According. How To Start A Tata Motors Dealership.
From www.rkgaltd.com
TATA Dealership, Jabalpur Motors, Indore RKGA Consultants Pvt. Ltd. How To Start A Tata Motors Dealership In fy2020, only 43% of its dealers were profitable. According to a media report, tata motors dealerships have turned profitable for the first time in nearly a decade. Read all the details about the dealership requirements, cost, profits & margin and the applying process. Check out its review, revenue sharing, investment, support, fees,. Tata motors does not need an introduction.. How To Start A Tata Motors Dealership.
From www.youtube.com
💥Tata motors dealership and service centre Pune FirstgearIndia🔥 YouTube How To Start A Tata Motors Dealership Tata motors does not need an introduction. Check commission, investment, support, breakeven &. According to a media report, tata motors dealerships have turned profitable for the first time in nearly a decade. If you want to open a trusted and world class car showroom in india then tata motors dealership would be a good option for you. In fy2020, only. How To Start A Tata Motors Dealership.
From www.youtube.com
Tata motors dealership 🚘टाटा मोटर्स का शोरूम कैसे खोले?🤔 Franchise How To Start A Tata Motors Dealership Tata motors does not need an introduction. Check commission, investment, support, breakeven &. Start your own business now! In this comprehensive guide, we’ll walk you through the essential steps and considerations to establish a thriving car dealership business in canada. In fy2020, only 43% of its dealers were profitable. Check out its review, revenue sharing, investment, support, fees,. Get tata. How To Start A Tata Motors Dealership.
From www.organic-f.net
What Are Advantages Of Choosing The Right Tata Motors Dealers? My Blog How To Start A Tata Motors Dealership Read all the details about the dealership requirements, cost, profits & margin and the applying process. If you want to start your own tata motors dealership in india, then you are on right place. If you want to open a trusted and world class car showroom in india then tata motors dealership would be a good option for you. Start. How To Start A Tata Motors Dealership.
From www.cartoq.com
Tata dealership delivers 150 cars on occasion of Dhanteras How To Start A Tata Motors Dealership Tata motors franchise is one of the best automobile & services franchise in india. If you want to start your own tata motors dealership in india, then you are on right place. Check commission, investment, support, breakeven &. Check out its review, revenue sharing, investment, support, fees,. If you want to open a trusted and world class car showroom in. How To Start A Tata Motors Dealership.
From www.motorindiaonline.in
TATA MOTORS Motorindia How To Start A Tata Motors Dealership Start your own business now! Read all the details about the dealership requirements, cost, profits & margin and the applying process. Check out its review, revenue sharing, investment, support, fees,. Tata motors franchise is one of the best automobile & services franchise in india. Tata motors does not need an introduction. In this comprehensive guide, we’ll walk you through the. How To Start A Tata Motors Dealership.
From pitstopweekly.com
Tata Motors launches new fullrange Commercial Vehicle dealership in How To Start A Tata Motors Dealership In fy2020, only 43% of its dealers were profitable. If you want to start your own tata motors dealership in india, then you are on right place. Check out its review, revenue sharing, investment, support, fees,. Start your own business now! Read all the details about the dealership requirements, cost, profits & margin and the applying process. In this comprehensive. How To Start A Tata Motors Dealership.
From www.dreamstime.com
Tata Motors dealership editorial stock image. Image of tatamotors How To Start A Tata Motors Dealership Tata motors franchise is one of the best automobile & services franchise in india. If you want to open a trusted and world class car showroom in india then tata motors dealership would be a good option for you. Check commission, investment, support, breakeven &. According to a media report, tata motors dealerships have turned profitable for the first time. How To Start A Tata Motors Dealership.
From www.scribd.com
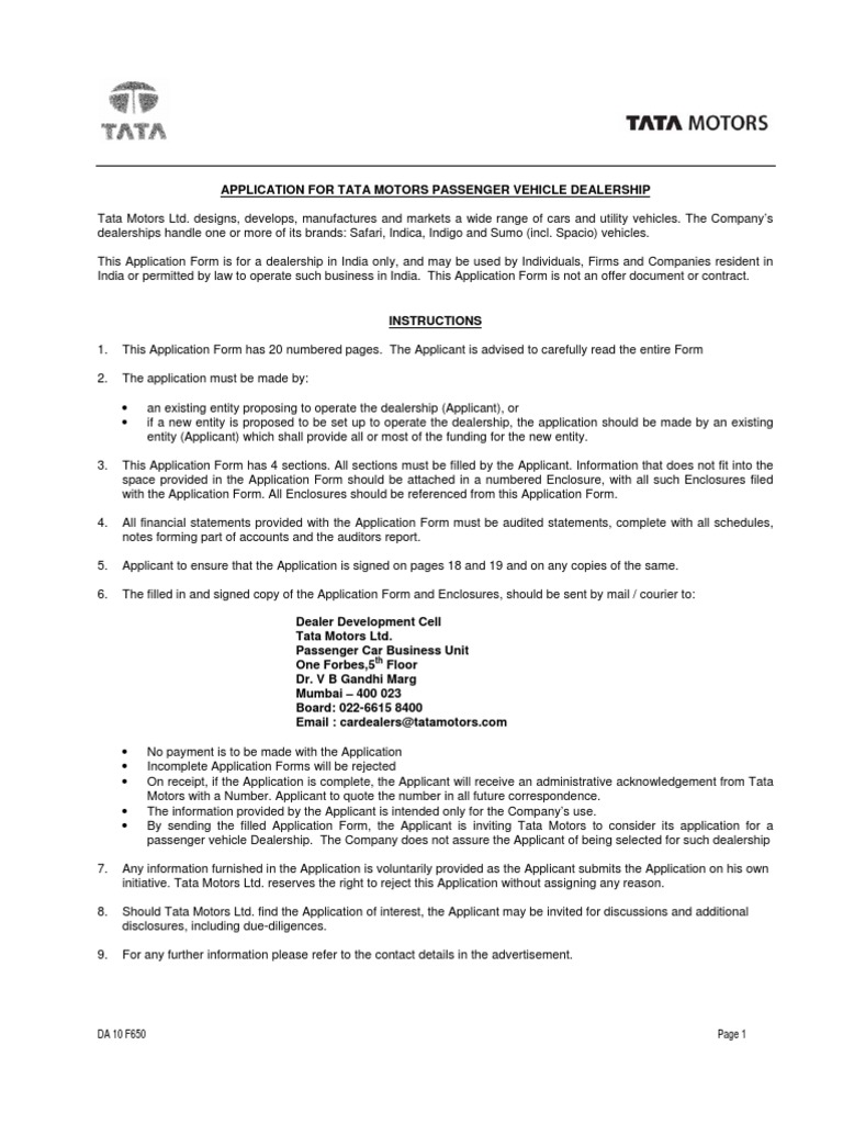
Application For Tata Motors Passenger Vehicle Dealership Sole How To Start A Tata Motors Dealership If you want to start your own tata motors dealership in india, then you are on right place. Tata motors franchise is one of the best automobile & services franchise in india. Check commission, investment, support, breakeven &. In this comprehensive guide, we’ll walk you through the essential steps and considerations to establish a thriving car dealership business in canada.. How To Start A Tata Motors Dealership.
From www.businesstoday.in
Tata Motors launches 70 new outlets across southern India in single day How To Start A Tata Motors Dealership In fy2020, only 43% of its dealers were profitable. In this comprehensive guide, we’ll walk you through the essential steps and considerations to establish a thriving car dealership business in canada. Tata motors does not need an introduction. Find out the total capital required, ideal site and the application process and eligibility criteria to start dealership of tata motors showroom,.. How To Start A Tata Motors Dealership.
From www.smartprix.com
Tata Motors cars and other passenger vehicles to cost more in India How To Start A Tata Motors Dealership According to a media report, tata motors dealerships have turned profitable for the first time in nearly a decade. Start your own business now! If you want to start your own tata motors dealership in india, then you are on right place. If you want to open a trusted and world class car showroom in india then tata motors dealership. How To Start A Tata Motors Dealership.
From marketbusinessnews.com
Tata Motors posts 7.1 percent drop in net profit in second quarter How To Start A Tata Motors Dealership Tata motors franchise is one of the best automobile & services franchise in india. Check out its review, revenue sharing, investment, support, fees,. According to a media report, tata motors dealerships have turned profitable for the first time in nearly a decade. In fy2020, only 43% of its dealers were profitable. If you want to start your own tata motors. How To Start A Tata Motors Dealership.
From www.youtube.com
🔥करोड़पति बना देगा ये फ्रैंचाइज़ी🔥 TATA Motors Dealership🔥franchise How To Start A Tata Motors Dealership If you want to open a trusted and world class car showroom in india then tata motors dealership would be a good option for you. Check out its review, revenue sharing, investment, support, fees,. Start your own business now! Check commission, investment, support, breakeven &. Read all the details about the dealership requirements, cost, profits & margin and the applying. How To Start A Tata Motors Dealership.
From www.youtube.com
TATA MOTORS DEALERSHIP INTERACTION and walkthrough , HOW TO BUY A NEW How To Start A Tata Motors Dealership If you want to open a trusted and world class car showroom in india then tata motors dealership would be a good option for you. Check commission, investment, support, breakeven &. According to a media report, tata motors dealerships have turned profitable for the first time in nearly a decade. If you want to start your own tata motors dealership. How To Start A Tata Motors Dealership.
From studiousguy.com
Tata Motors Business Model StudiousGuy How To Start A Tata Motors Dealership Read all the details about the dealership requirements, cost, profits & margin and the applying process. Start your own business now! According to a media report, tata motors dealerships have turned profitable for the first time in nearly a decade. Check out its review, revenue sharing, investment, support, fees,. Check commission, investment, support, breakeven &. In this comprehensive guide, we’ll. How To Start A Tata Motors Dealership.
From www.pascotata.com
Tata Motors Authorized Showroom/Dealer in East Delhi Pasco Motors How To Start A Tata Motors Dealership If you want to start your own tata motors dealership in india, then you are on right place. If you want to open a trusted and world class car showroom in india then tata motors dealership would be a good option for you. Start your own business now! In fy2020, only 43% of its dealers were profitable. Find out the. How To Start A Tata Motors Dealership.
From www.carsaar.com
This City Gets Eight New Tata Motors Showrooms In One Day CarSaar How To Start A Tata Motors Dealership Tata motors does not need an introduction. In fy2020, only 43% of its dealers were profitable. Check out its review, revenue sharing, investment, support, fees,. If you want to start your own tata motors dealership in india, then you are on right place. Tata motors franchise is one of the best automobile & services franchise in india. Find out the. How To Start A Tata Motors Dealership.
From www.flickr.com
TATA Motors Dealer in Alwar Now buy TheGoldStandard Altro… Flickr How To Start A Tata Motors Dealership If you want to open a trusted and world class car showroom in india then tata motors dealership would be a good option for you. Check out its review, revenue sharing, investment, support, fees,. If you want to start your own tata motors dealership in india, then you are on right place. Get tata motors franchise opportunity here. Check commission,. How To Start A Tata Motors Dealership.
From www.youtube.com
Tata Motors Truck Dealer Service Reality Tata Motors Dealership How To Start A Tata Motors Dealership Find out the total capital required, ideal site and the application process and eligibility criteria to start dealership of tata motors showroom,. Read all the details about the dealership requirements, cost, profits & margin and the applying process. Get tata motors franchise opportunity here. According to a media report, tata motors dealerships have turned profitable for the first time in. How To Start A Tata Motors Dealership.
From www.timesnowhindi.com
How To Get Tata Motors DealershipHow To Get Tata Motors auto How To Start A Tata Motors Dealership Get tata motors franchise opportunity here. Tata motors franchise is one of the best automobile & services franchise in india. Find out the total capital required, ideal site and the application process and eligibility criteria to start dealership of tata motors showroom,. Check out its review, revenue sharing, investment, support, fees,. Start your own business now! In fy2020, only 43%. How To Start A Tata Motors Dealership.
From nextwhatbusiness.com
How to Start Tata Power Solar Dealership Business Cost, Contact How To Start A Tata Motors Dealership According to a media report, tata motors dealerships have turned profitable for the first time in nearly a decade. Check out its review, revenue sharing, investment, support, fees,. In fy2020, only 43% of its dealers were profitable. Get tata motors franchise opportunity here. In this comprehensive guide, we’ll walk you through the essential steps and considerations to establish a thriving. How To Start A Tata Motors Dealership.
From ar.inspiredpencil.com
Tata Automobiles Dealers How To Start A Tata Motors Dealership Read all the details about the dealership requirements, cost, profits & margin and the applying process. In this comprehensive guide, we’ll walk you through the essential steps and considerations to establish a thriving car dealership business in canada. Get tata motors franchise opportunity here. Tata motors does not need an introduction. Check out its review, revenue sharing, investment, support, fees,.. How To Start A Tata Motors Dealership.
From www.zeebiz.com
Tata Motors Q3FY23 Results How Much Profit Is Possible In The December How To Start A Tata Motors Dealership Get tata motors franchise opportunity here. Tata motors franchise is one of the best automobile & services franchise in india. Find out the total capital required, ideal site and the application process and eligibility criteria to start dealership of tata motors showroom,. Read all the details about the dealership requirements, cost, profits & margin and the applying process. In fy2020,. How To Start A Tata Motors Dealership.
From hotnewsexpress.com
Tata Motors and PPS Motors join hands to launch their first dealership How To Start A Tata Motors Dealership If you want to open a trusted and world class car showroom in india then tata motors dealership would be a good option for you. Check commission, investment, support, breakeven &. Get tata motors franchise opportunity here. If you want to start your own tata motors dealership in india, then you are on right place. In fy2020, only 43% of. How To Start A Tata Motors Dealership.
From smallbusinesshub.in
TATA Tiscon Dealership in 2024 Complete Guide How To Start A Tata Motors Dealership Tata motors does not need an introduction. According to a media report, tata motors dealerships have turned profitable for the first time in nearly a decade. Tata motors franchise is one of the best automobile & services franchise in india. Read all the details about the dealership requirements, cost, profits & margin and the applying process. Check commission, investment, support,. How To Start A Tata Motors Dealership.
From studylib.net
Tata Car Dealer Network Tata Motors Dealers Locator Tata How To Start A Tata Motors Dealership Start your own business now! According to a media report, tata motors dealerships have turned profitable for the first time in nearly a decade. If you want to start your own tata motors dealership in india, then you are on right place. Tata motors does not need an introduction. Read all the details about the dealership requirements, cost, profits &. How To Start A Tata Motors Dealership.
From boletobusiness.blogspot.com
Tata motor dealership in India Cost , Profit Bole to Business How To Start A Tata Motors Dealership According to a media report, tata motors dealerships have turned profitable for the first time in nearly a decade. Tata motors franchise is one of the best automobile & services franchise in india. If you want to start your own tata motors dealership in india, then you are on right place. If you want to open a trusted and world. How To Start A Tata Motors Dealership.
From www.carsaar.com
This City Gets Eight New Tata Motors Showrooms In One Day CarSaar How To Start A Tata Motors Dealership Check out its review, revenue sharing, investment, support, fees,. Find out the total capital required, ideal site and the application process and eligibility criteria to start dealership of tata motors showroom,. Read all the details about the dealership requirements, cost, profits & margin and the applying process. In fy2020, only 43% of its dealers were profitable. According to a media. How To Start A Tata Motors Dealership.
From indianautosblog.com
Tata Motors Opens its 3rd Showroom in Hyderabad How To Start A Tata Motors Dealership Tata motors franchise is one of the best automobile & services franchise in india. In this comprehensive guide, we’ll walk you through the essential steps and considerations to establish a thriving car dealership business in canada. Find out the total capital required, ideal site and the application process and eligibility criteria to start dealership of tata motors showroom,. If you. How To Start A Tata Motors Dealership.
From www.goaonwheels.com
Tata Motors inviting applications for setting up new dealerships in Goa How To Start A Tata Motors Dealership Tata motors franchise is one of the best automobile & services franchise in india. Start your own business now! Check commission, investment, support, breakeven &. If you want to start your own tata motors dealership in india, then you are on right place. Find out the total capital required, ideal site and the application process and eligibility criteria to start. How To Start A Tata Motors Dealership.
From indianautosblog.com
Tata Motors & PPS Motors to Launch First Dealership in Chennai How To Start A Tata Motors Dealership Tata motors does not need an introduction. Check out its review, revenue sharing, investment, support, fees,. According to a media report, tata motors dealerships have turned profitable for the first time in nearly a decade. In this comprehensive guide, we’ll walk you through the essential steps and considerations to establish a thriving car dealership business in canada. Read all the. How To Start A Tata Motors Dealership.
From arunachalobserver.org
Tarh Motors awarded best dealer of Tata Motors in Eastern Region How To Start A Tata Motors Dealership If you want to open a trusted and world class car showroom in india then tata motors dealership would be a good option for you. In this comprehensive guide, we’ll walk you through the essential steps and considerations to establish a thriving car dealership business in canada. Tata motors franchise is one of the best automobile & services franchise in. How To Start A Tata Motors Dealership.
From www.youtube.com
Tata Motors Dealership ! Tata Motors Spare Parts Franchise ! Tata Truck How To Start A Tata Motors Dealership According to a media report, tata motors dealerships have turned profitable for the first time in nearly a decade. In fy2020, only 43% of its dealers were profitable. Read all the details about the dealership requirements, cost, profits & margin and the applying process. If you want to start your own tata motors dealership in india, then you are on. How To Start A Tata Motors Dealership.