Relation Between Distance Acceleration . \ (\text {acceleration}=\frac {\text {change in velocity}} {\text. The si unit of force is called the newton. $s = ut + \frac {1} {2}at^2$ where: The final velocity, 𝑣, the initial velocity, 𝑢, and the distance covered, 𝑠, for an object undergoing a uniform. Acceleration is the second derivative of distance with respect to time. Units of force \(f_{\text {net }}=m a\) is used to define the units of force in terms of the three basic units for mass, length, and time. In this explainer, we will learn how to calculate. If the motion is along one dimension (x) we can write: The first derivative is velocity. The relationship between acceleration, velocity change and the time taken for the change is given by this formula. In figure \(\pageindex{1}\), we see that if we extend the solution beyond the point when the velocity is. Acceleration over distance and time physics • first year of secondary school. $s$ is the displacement (distance traveled). The acceleration function is linear in time so the integration involves simple polynomials. The key equation that relates acceleration to distance is:
from www.updateans.com
If the motion is along one dimension (x) we can write: Acceleration is the second derivative of distance with respect to time. $s$ is the displacement (distance traveled). Units of force \(f_{\text {net }}=m a\) is used to define the units of force in terms of the three basic units for mass, length, and time. The final velocity, 𝑣, the initial velocity, 𝑢, and the distance covered, 𝑠, for an object undergoing a uniform. \ (\text {acceleration}=\frac {\text {change in velocity}} {\text. In this explainer, we will learn how to calculate. Acceleration over distance and time physics • first year of secondary school. $s = ut + \frac {1} {2}at^2$ where: The si unit of force is called the newton.
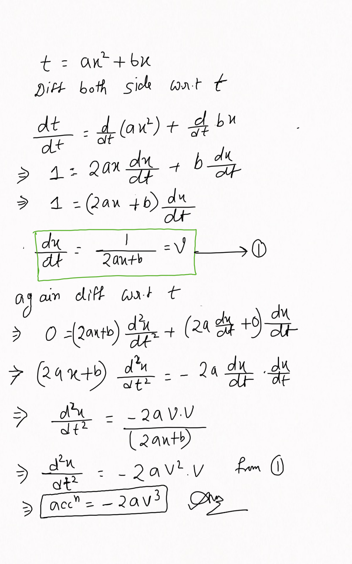
Update ANS The relation between time t and distance x is t=ax^2+bx
Relation Between Distance Acceleration The first derivative is velocity. Units of force \(f_{\text {net }}=m a\) is used to define the units of force in terms of the three basic units for mass, length, and time. In figure \(\pageindex{1}\), we see that if we extend the solution beyond the point when the velocity is. The acceleration function is linear in time so the integration involves simple polynomials. Acceleration over distance and time physics • first year of secondary school. $s = ut + \frac {1} {2}at^2$ where: The final velocity, 𝑣, the initial velocity, 𝑢, and the distance covered, 𝑠, for an object undergoing a uniform. $s$ is the displacement (distance traveled). \ (\text {acceleration}=\frac {\text {change in velocity}} {\text. The first derivative is velocity. The key equation that relates acceleration to distance is: In this explainer, we will learn how to calculate. If the motion is along one dimension (x) we can write: Acceleration is the second derivative of distance with respect to time. The si unit of force is called the newton. The relationship between acceleration, velocity change and the time taken for the change is given by this formula.
From www.linquip.com
Velocity vs Acceleration A Clear Comparison Linquip Relation Between Distance Acceleration \ (\text {acceleration}=\frac {\text {change in velocity}} {\text. Acceleration over distance and time physics • first year of secondary school. Acceleration is the second derivative of distance with respect to time. The acceleration function is linear in time so the integration involves simple polynomials. The relationship between acceleration, velocity change and the time taken for the change is given by. Relation Between Distance Acceleration.
From www.tffn.net
How to Find Distance Traveled from Acceleration The Enlightened Mindset Relation Between Distance Acceleration $s = ut + \frac {1} {2}at^2$ where: The acceleration function is linear in time so the integration involves simple polynomials. Acceleration over distance and time physics • first year of secondary school. \ (\text {acceleration}=\frac {\text {change in velocity}} {\text. If the motion is along one dimension (x) we can write: Acceleration is the second derivative of distance with. Relation Between Distance Acceleration.
From testbook.com
Relation Between Linear Acceleration and Angular Acceleration Relation Between Distance Acceleration The key equation that relates acceleration to distance is: The si unit of force is called the newton. Units of force \(f_{\text {net }}=m a\) is used to define the units of force in terms of the three basic units for mass, length, and time. Acceleration over distance and time physics • first year of secondary school. $s = ut. Relation Between Distance Acceleration.
From studylib.net
Circular Motion Tangential & Angular Acceleration θ Relation Between Distance Acceleration The si unit of force is called the newton. The final velocity, 𝑣, the initial velocity, 𝑢, and the distance covered, 𝑠, for an object undergoing a uniform. The first derivative is velocity. The relationship between acceleration, velocity change and the time taken for the change is given by this formula. Acceleration over distance and time physics • first year. Relation Between Distance Acceleration.
From www.pinterest.com.mx
Forceacceleration relationship Acceleration, Newtons second law, How Relation Between Distance Acceleration The key equation that relates acceleration to distance is: $s = ut + \frac {1} {2}at^2$ where: Acceleration is the second derivative of distance with respect to time. If the motion is along one dimension (x) we can write: The final velocity, 𝑣, the initial velocity, 𝑢, and the distance covered, 𝑠, for an object undergoing a uniform. Units of. Relation Between Distance Acceleration.
From www.nagwa.com
Question Video Understanding the Relation between Acceleration and Relation Between Distance Acceleration In figure \(\pageindex{1}\), we see that if we extend the solution beyond the point when the velocity is. The acceleration function is linear in time so the integration involves simple polynomials. The first derivative is velocity. $s$ is the displacement (distance traveled). Units of force \(f_{\text {net }}=m a\) is used to define the units of force in terms of. Relation Between Distance Acceleration.
From www.slideserve.com
PPT Physics 1 11 Mechanics Lecture 2 PowerPoint Presentation, free Relation Between Distance Acceleration In figure \(\pageindex{1}\), we see that if we extend the solution beyond the point when the velocity is. The final velocity, 𝑣, the initial velocity, 𝑢, and the distance covered, 𝑠, for an object undergoing a uniform. In this explainer, we will learn how to calculate. The relationship between acceleration, velocity change and the time taken for the change is. Relation Between Distance Acceleration.
From www.spyloadedng.com
[Physics 4] Speed, Velocity And Acceleration Science SpyLoaded Forum Relation Between Distance Acceleration $s$ is the displacement (distance traveled). The si unit of force is called the newton. The relationship between acceleration, velocity change and the time taken for the change is given by this formula. The first derivative is velocity. The acceleration function is linear in time so the integration involves simple polynomials. If the motion is along one dimension (x) we. Relation Between Distance Acceleration.
From examples.yourdictionary.com
Difference Between Velocity and Acceleration Explained Relation Between Distance Acceleration $s = ut + \frac {1} {2}at^2$ where: Units of force \(f_{\text {net }}=m a\) is used to define the units of force in terms of the three basic units for mass, length, and time. Acceleration is the second derivative of distance with respect to time. The acceleration function is linear in time so the integration involves simple polynomials. The. Relation Between Distance Acceleration.
From mathsathome.com
How to Find Displacement, Velocity and Acceleration Relation Between Distance Acceleration The relationship between acceleration, velocity change and the time taken for the change is given by this formula. $s = ut + \frac {1} {2}at^2$ where: The final velocity, 𝑣, the initial velocity, 𝑢, and the distance covered, 𝑠, for an object undergoing a uniform. Units of force \(f_{\text {net }}=m a\) is used to define the units of force. Relation Between Distance Acceleration.
From www.youtube.com
Calculation of Distance from Acceleration YouTube Relation Between Distance Acceleration The key equation that relates acceleration to distance is: Acceleration over distance and time physics • first year of secondary school. Acceleration is the second derivative of distance with respect to time. The relationship between acceleration, velocity change and the time taken for the change is given by this formula. Units of force \(f_{\text {net }}=m a\) is used to. Relation Between Distance Acceleration.
From www.updateans.com
Update ANS The relation between time t and distance x is t=ax^2+bx Relation Between Distance Acceleration The si unit of force is called the newton. The relationship between acceleration, velocity change and the time taken for the change is given by this formula. $s = ut + \frac {1} {2}at^2$ where: Acceleration is the second derivative of distance with respect to time. The final velocity, 𝑣, the initial velocity, 𝑢, and the distance covered, 𝑠, for. Relation Between Distance Acceleration.
From byjus.com
the relation between the acceleration and time for an object is given Relation Between Distance Acceleration The relationship between acceleration, velocity change and the time taken for the change is given by this formula. The key equation that relates acceleration to distance is: The final velocity, 𝑣, the initial velocity, 𝑢, and the distance covered, 𝑠, for an object undergoing a uniform. Acceleration over distance and time physics • first year of secondary school. Acceleration is. Relation Between Distance Acceleration.
From www.youtube.com
Acceleration Formula with Velocity and Time YouTube Relation Between Distance Acceleration The acceleration function is linear in time so the integration involves simple polynomials. In figure \(\pageindex{1}\), we see that if we extend the solution beyond the point when the velocity is. $s = ut + \frac {1} {2}at^2$ where: The key equation that relates acceleration to distance is: Units of force \(f_{\text {net }}=m a\) is used to define the. Relation Between Distance Acceleration.
From www.geeksforgeeks.org
Tangential Acceleration Definition, Formula, Solved Examples Relation Between Distance Acceleration The acceleration function is linear in time so the integration involves simple polynomials. The first derivative is velocity. The key equation that relates acceleration to distance is: If the motion is along one dimension (x) we can write: Acceleration is the second derivative of distance with respect to time. $s = ut + \frac {1} {2}at^2$ where: The si unit. Relation Between Distance Acceleration.
From www.physicsbootcamp.org
Position, Velocity, Acceleration Summary Relation Between Distance Acceleration The final velocity, 𝑣, the initial velocity, 𝑢, and the distance covered, 𝑠, for an object undergoing a uniform. Units of force \(f_{\text {net }}=m a\) is used to define the units of force in terms of the three basic units for mass, length, and time. The key equation that relates acceleration to distance is: If the motion is along. Relation Between Distance Acceleration.
From morioh.com
Velocity Time Graphs, Acceleration & Position Time Graphs Physics Relation Between Distance Acceleration The relationship between acceleration, velocity change and the time taken for the change is given by this formula. The first derivative is velocity. If the motion is along one dimension (x) we can write: The key equation that relates acceleration to distance is: Acceleration is the second derivative of distance with respect to time. $s$ is the displacement (distance traveled).. Relation Between Distance Acceleration.
From www.meritnation.com
Establish the relation between acceleration and distance travelled by Relation Between Distance Acceleration The first derivative is velocity. Units of force \(f_{\text {net }}=m a\) is used to define the units of force in terms of the three basic units for mass, length, and time. Acceleration is the second derivative of distance with respect to time. The si unit of force is called the newton. Acceleration over distance and time physics • first. Relation Between Distance Acceleration.
From www.slideserve.com
PPT PHYS 1441 Section 001 Lecture 5 PowerPoint Presentation, free Relation Between Distance Acceleration The relationship between acceleration, velocity change and the time taken for the change is given by this formula. The si unit of force is called the newton. The acceleration function is linear in time so the integration involves simple polynomials. \ (\text {acceleration}=\frac {\text {change in velocity}} {\text. Acceleration is the second derivative of distance with respect to time. In. Relation Between Distance Acceleration.
From www.animalia-life.club
Angular Acceleration Examples Relation Between Distance Acceleration In this explainer, we will learn how to calculate. $s$ is the displacement (distance traveled). Units of force \(f_{\text {net }}=m a\) is used to define the units of force in terms of the three basic units for mass, length, and time. $s = ut + \frac {1} {2}at^2$ where: If the motion is along one dimension (x) we can. Relation Between Distance Acceleration.
From copyprogramming.com
Linear acceleration vs angular acceleration equation Rotational dynamics Relation Between Distance Acceleration $s = ut + \frac {1} {2}at^2$ where: $s$ is the displacement (distance traveled). In figure \(\pageindex{1}\), we see that if we extend the solution beyond the point when the velocity is. The relationship between acceleration, velocity change and the time taken for the change is given by this formula. The first derivative is velocity. Acceleration is the second derivative. Relation Between Distance Acceleration.
From byjus.com
96. How the graph is plotted between g( acceleration due to gravity Relation Between Distance Acceleration The final velocity, 𝑣, the initial velocity, 𝑢, and the distance covered, 𝑠, for an object undergoing a uniform. The si unit of force is called the newton. Acceleration over distance and time physics • first year of secondary school. $s = ut + \frac {1} {2}at^2$ where: If the motion is along one dimension (x) we can write: \. Relation Between Distance Acceleration.
From relationshipbetween.com
Relation Between Linear Acceleration And Angular Acceleration Relation Between Distance Acceleration \ (\text {acceleration}=\frac {\text {change in velocity}} {\text. $s$ is the displacement (distance traveled). Units of force \(f_{\text {net }}=m a\) is used to define the units of force in terms of the three basic units for mass, length, and time. Acceleration over distance and time physics • first year of secondary school. If the motion is along one dimension. Relation Between Distance Acceleration.
From sciencequery.com
Formula for angular acceleration Science Query Relation Between Distance Acceleration The relationship between acceleration, velocity change and the time taken for the change is given by this formula. In this explainer, we will learn how to calculate. Units of force \(f_{\text {net }}=m a\) is used to define the units of force in terms of the three basic units for mass, length, and time. Acceleration over distance and time physics. Relation Between Distance Acceleration.
From examples.yourdictionary.com
Difference Between Velocity and Acceleration Explained YourDictionary Relation Between Distance Acceleration If the motion is along one dimension (x) we can write: $s = ut + \frac {1} {2}at^2$ where: The acceleration function is linear in time so the integration involves simple polynomials. \ (\text {acceleration}=\frac {\text {change in velocity}} {\text. In figure \(\pageindex{1}\), we see that if we extend the solution beyond the point when the velocity is. The si. Relation Between Distance Acceleration.
From www.slideserve.com
PPT Speed, Velocity, and Acceleration PowerPoint Presentation, free Relation Between Distance Acceleration If the motion is along one dimension (x) we can write: $s$ is the displacement (distance traveled). Units of force \(f_{\text {net }}=m a\) is used to define the units of force in terms of the three basic units for mass, length, and time. Acceleration over distance and time physics • first year of secondary school. The first derivative is. Relation Between Distance Acceleration.
From byjus.com
132.The relation between time t and distance x is given as t= ax+bx Relation Between Distance Acceleration \ (\text {acceleration}=\frac {\text {change in velocity}} {\text. $s$ is the displacement (distance traveled). The final velocity, 𝑣, the initial velocity, 𝑢, and the distance covered, 𝑠, for an object undergoing a uniform. The first derivative is velocity. Units of force \(f_{\text {net }}=m a\) is used to define the units of force in terms of the three basic units. Relation Between Distance Acceleration.
From studylib.net
How do you relate the angular acceleration of the object... particular Relation Between Distance Acceleration $s = ut + \frac {1} {2}at^2$ where: The acceleration function is linear in time so the integration involves simple polynomials. Acceleration is the second derivative of distance with respect to time. Acceleration over distance and time physics • first year of secondary school. The si unit of force is called the newton. If the motion is along one dimension. Relation Between Distance Acceleration.
From www.tessshebaylo.com
Equation For Velocity And Acceleration Physics Tessshebaylo Relation Between Distance Acceleration If the motion is along one dimension (x) we can write: In this explainer, we will learn how to calculate. The relationship between acceleration, velocity change and the time taken for the change is given by this formula. In figure \(\pageindex{1}\), we see that if we extend the solution beyond the point when the velocity is. The final velocity, 𝑣,. Relation Between Distance Acceleration.
From www.ncl.ac.uk
Numeracy, Maths and Statistics Academic Skills Kit Relation Between Distance Acceleration $s = ut + \frac {1} {2}at^2$ where: The key equation that relates acceleration to distance is: The si unit of force is called the newton. The first derivative is velocity. \ (\text {acceleration}=\frac {\text {change in velocity}} {\text. The relationship between acceleration, velocity change and the time taken for the change is given by this formula. If the motion. Relation Between Distance Acceleration.
From mathsathome.com
How to Find Displacement, Velocity and Acceleration Relation Between Distance Acceleration In this explainer, we will learn how to calculate. $s$ is the displacement (distance traveled). \ (\text {acceleration}=\frac {\text {change in velocity}} {\text. If the motion is along one dimension (x) we can write: $s = ut + \frac {1} {2}at^2$ where: The si unit of force is called the newton. Acceleration is the second derivative of distance with respect. Relation Between Distance Acceleration.
From www.meritnation.com
In the figure shown the relation between acceleration is between 8 Relation Between Distance Acceleration The si unit of force is called the newton. Acceleration over distance and time physics • first year of secondary school. If the motion is along one dimension (x) we can write: In this explainer, we will learn how to calculate. $s = ut + \frac {1} {2}at^2$ where: The key equation that relates acceleration to distance is: The acceleration. Relation Between Distance Acceleration.
From www.slideserve.com
PPT ORBITAL MECHANICS HOW OBJECTS MOVE IN SPACE PowerPoint Relation Between Distance Acceleration \ (\text {acceleration}=\frac {\text {change in velocity}} {\text. The final velocity, 𝑣, the initial velocity, 𝑢, and the distance covered, 𝑠, for an object undergoing a uniform. The first derivative is velocity. The key equation that relates acceleration to distance is: $s$ is the displacement (distance traveled). Units of force \(f_{\text {net }}=m a\) is used to define the units. Relation Between Distance Acceleration.
From www.nagwa.com
Lesson Video Acceleration over a Distance Nagwa Relation Between Distance Acceleration If the motion is along one dimension (x) we can write: Acceleration over distance and time physics • first year of secondary school. The relationship between acceleration, velocity change and the time taken for the change is given by this formula. In this explainer, we will learn how to calculate. The acceleration function is linear in time so the integration. Relation Between Distance Acceleration.
From mathsathome.com
How to Find Displacement, Velocity and Acceleration Relation Between Distance Acceleration \ (\text {acceleration}=\frac {\text {change in velocity}} {\text. The first derivative is velocity. $s$ is the displacement (distance traveled). In this explainer, we will learn how to calculate. The final velocity, 𝑣, the initial velocity, 𝑢, and the distance covered, 𝑠, for an object undergoing a uniform. The key equation that relates acceleration to distance is: The acceleration function is. Relation Between Distance Acceleration.