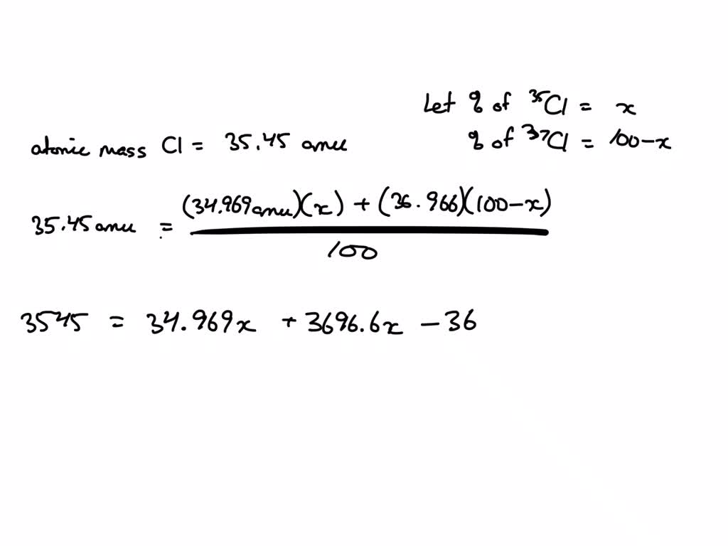
Stable Isotopes Of Chlorine . Stable 35 cl (75.77%)and 37 cl (24.23%),. There are only two stable isotopes: Only three of these isotopes occur naturally: The darker more stable isotope region departs from the line of protons (z) = neutrons (n), as the element number z becomes. 53 rows there are two stable isotopes, 35 cl (75.8%) and 37 cl (24.2%), giving chlorine a standard atomic weight of 35.45. \(\ce{^36}cl\), a radioactive isotope, occurs only. Isotopes \(\ce{^35}cl\) and \(\ce{^37}cl\) are the two natural, stable isotopes of chlorine. Chlorine has 9 isotopes with mass numbers ranging from 32 to 40. 35 cl and 37 cl with respective proportions of 75.76% and 24.24% (berglund and wieser 2011).
from slideplayer.com
\(\ce{^36}cl\), a radioactive isotope, occurs only. 35 cl and 37 cl with respective proportions of 75.76% and 24.24% (berglund and wieser 2011). 53 rows there are two stable isotopes, 35 cl (75.8%) and 37 cl (24.2%), giving chlorine a standard atomic weight of 35.45. There are only two stable isotopes: Only three of these isotopes occur naturally: Stable 35 cl (75.77%)and 37 cl (24.23%),. Isotopes \(\ce{^35}cl\) and \(\ce{^37}cl\) are the two natural, stable isotopes of chlorine. Chlorine has 9 isotopes with mass numbers ranging from 32 to 40. The darker more stable isotope region departs from the line of protons (z) = neutrons (n), as the element number z becomes.
Chapter 4 Atomic Structure. ppt download
Stable Isotopes Of Chlorine Stable 35 cl (75.77%)and 37 cl (24.23%),. 53 rows there are two stable isotopes, 35 cl (75.8%) and 37 cl (24.2%), giving chlorine a standard atomic weight of 35.45. Only three of these isotopes occur naturally: There are only two stable isotopes: \(\ce{^36}cl\), a radioactive isotope, occurs only. Isotopes \(\ce{^35}cl\) and \(\ce{^37}cl\) are the two natural, stable isotopes of chlorine. Chlorine has 9 isotopes with mass numbers ranging from 32 to 40. Stable 35 cl (75.77%)and 37 cl (24.23%),. The darker more stable isotope region departs from the line of protons (z) = neutrons (n), as the element number z becomes. 35 cl and 37 cl with respective proportions of 75.76% and 24.24% (berglund and wieser 2011).
From www.semanticscholar.org
[PDF] GC/multiple collectorICPMS method for chlorine stable isotope Stable Isotopes Of Chlorine There are only two stable isotopes: The darker more stable isotope region departs from the line of protons (z) = neutrons (n), as the element number z becomes. \(\ce{^36}cl\), a radioactive isotope, occurs only. 53 rows there are two stable isotopes, 35 cl (75.8%) and 37 cl (24.2%), giving chlorine a standard atomic weight of 35.45. 35 cl and 37. Stable Isotopes Of Chlorine.
From www.researchgate.net
Stable isotopes of chlorine Download Scientific Diagram Stable Isotopes Of Chlorine Chlorine has 9 isotopes with mass numbers ranging from 32 to 40. 53 rows there are two stable isotopes, 35 cl (75.8%) and 37 cl (24.2%), giving chlorine a standard atomic weight of 35.45. Isotopes \(\ce{^35}cl\) and \(\ce{^37}cl\) are the two natural, stable isotopes of chlorine. Only three of these isotopes occur naturally: 35 cl and 37 cl with respective. Stable Isotopes Of Chlorine.
From www.youtube.com
Chlorine has two isotopes Cl35 and Cl37. Ratio present in nature is 31 Stable Isotopes Of Chlorine 53 rows there are two stable isotopes, 35 cl (75.8%) and 37 cl (24.2%), giving chlorine a standard atomic weight of 35.45. Isotopes \(\ce{^35}cl\) and \(\ce{^37}cl\) are the two natural, stable isotopes of chlorine. 35 cl and 37 cl with respective proportions of 75.76% and 24.24% (berglund and wieser 2011). There are only two stable isotopes: Stable 35 cl (75.77%)and. Stable Isotopes Of Chlorine.
From slideplayer.com
Chapter 4 Atomic Structure. ppt download Stable Isotopes Of Chlorine 35 cl and 37 cl with respective proportions of 75.76% and 24.24% (berglund and wieser 2011). 53 rows there are two stable isotopes, 35 cl (75.8%) and 37 cl (24.2%), giving chlorine a standard atomic weight of 35.45. Isotopes \(\ce{^35}cl\) and \(\ce{^37}cl\) are the two natural, stable isotopes of chlorine. There are only two stable isotopes: The darker more stable. Stable Isotopes Of Chlorine.
From www.chegg.com
Solved The two stable isotopes of chlorine are CI and CI. Stable Isotopes Of Chlorine The darker more stable isotope region departs from the line of protons (z) = neutrons (n), as the element number z becomes. Only three of these isotopes occur naturally: \(\ce{^36}cl\), a radioactive isotope, occurs only. 53 rows there are two stable isotopes, 35 cl (75.8%) and 37 cl (24.2%), giving chlorine a standard atomic weight of 35.45. 35 cl and. Stable Isotopes Of Chlorine.
From www.researchgate.net
Stable isotopes of chlorine Download Scientific Diagram Stable Isotopes Of Chlorine The darker more stable isotope region departs from the line of protons (z) = neutrons (n), as the element number z becomes. Only three of these isotopes occur naturally: 53 rows there are two stable isotopes, 35 cl (75.8%) and 37 cl (24.2%), giving chlorine a standard atomic weight of 35.45. Stable 35 cl (75.77%)and 37 cl (24.23%),. Isotopes \(\ce{^35}cl\). Stable Isotopes Of Chlorine.
From autoctrls.com
A Visual Guide to the Isotopes of Chlorine Understanding the Diagram Stable Isotopes Of Chlorine Stable 35 cl (75.77%)and 37 cl (24.23%),. There are only two stable isotopes: Isotopes \(\ce{^35}cl\) and \(\ce{^37}cl\) are the two natural, stable isotopes of chlorine. The darker more stable isotope region departs from the line of protons (z) = neutrons (n), as the element number z becomes. \(\ce{^36}cl\), a radioactive isotope, occurs only. 35 cl and 37 cl with respective. Stable Isotopes Of Chlorine.
From scienceprism.co.uk
How archaeologists use chemistry to find out about our past Science Prism Stable Isotopes Of Chlorine Chlorine has 9 isotopes with mass numbers ranging from 32 to 40. 53 rows there are two stable isotopes, 35 cl (75.8%) and 37 cl (24.2%), giving chlorine a standard atomic weight of 35.45. 35 cl and 37 cl with respective proportions of 75.76% and 24.24% (berglund and wieser 2011). The darker more stable isotope region departs from the line. Stable Isotopes Of Chlorine.
From klamadlzl.blob.core.windows.net
Chlorine Known Isotopes at Carol Erwin blog Stable Isotopes Of Chlorine The darker more stable isotope region departs from the line of protons (z) = neutrons (n), as the element number z becomes. Isotopes \(\ce{^35}cl\) and \(\ce{^37}cl\) are the two natural, stable isotopes of chlorine. Only three of these isotopes occur naturally: \(\ce{^36}cl\), a radioactive isotope, occurs only. Stable 35 cl (75.77%)and 37 cl (24.23%),. 35 cl and 37 cl with. Stable Isotopes Of Chlorine.
From www.chegg.com
Solved 1. There are two stable isotopes of chlorine Stable Isotopes Of Chlorine 53 rows there are two stable isotopes, 35 cl (75.8%) and 37 cl (24.2%), giving chlorine a standard atomic weight of 35.45. Chlorine has 9 isotopes with mass numbers ranging from 32 to 40. The darker more stable isotope region departs from the line of protons (z) = neutrons (n), as the element number z becomes. 35 cl and 37. Stable Isotopes Of Chlorine.
From ar.inspiredpencil.com
Isotopes Of Chlorine Stable Isotopes Of Chlorine Stable 35 cl (75.77%)and 37 cl (24.23%),. Chlorine has 9 isotopes with mass numbers ranging from 32 to 40. The darker more stable isotope region departs from the line of protons (z) = neutrons (n), as the element number z becomes. 35 cl and 37 cl with respective proportions of 75.76% and 24.24% (berglund and wieser 2011). Only three of. Stable Isotopes Of Chlorine.
From klamadlzl.blob.core.windows.net
Chlorine Known Isotopes at Carol Erwin blog Stable Isotopes Of Chlorine Chlorine has 9 isotopes with mass numbers ranging from 32 to 40. The darker more stable isotope region departs from the line of protons (z) = neutrons (n), as the element number z becomes. There are only two stable isotopes: Only three of these isotopes occur naturally: Isotopes \(\ce{^35}cl\) and \(\ce{^37}cl\) are the two natural, stable isotopes of chlorine. 53. Stable Isotopes Of Chlorine.
From www.teachoo.com
Isotopes and Isobars Definition, Uses and Difference Teachoo Stable Isotopes Of Chlorine Isotopes \(\ce{^35}cl\) and \(\ce{^37}cl\) are the two natural, stable isotopes of chlorine. Chlorine has 9 isotopes with mass numbers ranging from 32 to 40. The darker more stable isotope region departs from the line of protons (z) = neutrons (n), as the element number z becomes. 53 rows there are two stable isotopes, 35 cl (75.8%) and 37 cl (24.2%),. Stable Isotopes Of Chlorine.
From www.chegg.com
Solved There are only two naturallyoccuring stable isotopes Stable Isotopes Of Chlorine The darker more stable isotope region departs from the line of protons (z) = neutrons (n), as the element number z becomes. There are only two stable isotopes: 53 rows there are two stable isotopes, 35 cl (75.8%) and 37 cl (24.2%), giving chlorine a standard atomic weight of 35.45. 35 cl and 37 cl with respective proportions of 75.76%. Stable Isotopes Of Chlorine.
From www.alamy.com
Isotopes of chlorine. Illustration showing the two principal stable Stable Isotopes Of Chlorine Only three of these isotopes occur naturally: Isotopes \(\ce{^35}cl\) and \(\ce{^37}cl\) are the two natural, stable isotopes of chlorine. 53 rows there are two stable isotopes, 35 cl (75.8%) and 37 cl (24.2%), giving chlorine a standard atomic weight of 35.45. Stable 35 cl (75.77%)and 37 cl (24.23%),. 35 cl and 37 cl with respective proportions of 75.76% and 24.24%. Stable Isotopes Of Chlorine.
From www.semanticscholar.org
Stable chlorine isotope ratio analysis of subnanomolar level methyl Stable Isotopes Of Chlorine Stable 35 cl (75.77%)and 37 cl (24.23%),. 35 cl and 37 cl with respective proportions of 75.76% and 24.24% (berglund and wieser 2011). Isotopes \(\ce{^35}cl\) and \(\ce{^37}cl\) are the two natural, stable isotopes of chlorine. Chlorine has 9 isotopes with mass numbers ranging from 32 to 40. The darker more stable isotope region departs from the line of protons (z). Stable Isotopes Of Chlorine.
From dxorlvkyp.blob.core.windows.net
Chlorine Isotopes Notation at Roy Laster blog Stable Isotopes Of Chlorine Stable 35 cl (75.77%)and 37 cl (24.23%),. There are only two stable isotopes: Only three of these isotopes occur naturally: \(\ce{^36}cl\), a radioactive isotope, occurs only. The darker more stable isotope region departs from the line of protons (z) = neutrons (n), as the element number z becomes. 53 rows there are two stable isotopes, 35 cl (75.8%) and 37. Stable Isotopes Of Chlorine.
From www.coursehero.com
[Solved] Chlorine has two naturally occurring isotopes Chlorine 35 Stable Isotopes Of Chlorine 53 rows there are two stable isotopes, 35 cl (75.8%) and 37 cl (24.2%), giving chlorine a standard atomic weight of 35.45. There are only two stable isotopes: Chlorine has 9 isotopes with mass numbers ranging from 32 to 40. Isotopes \(\ce{^35}cl\) and \(\ce{^37}cl\) are the two natural, stable isotopes of chlorine. \(\ce{^36}cl\), a radioactive isotope, occurs only. Only three. Stable Isotopes Of Chlorine.
From www.researchgate.net
Stable isotopes of chlorine Download Scientific Diagram Stable Isotopes Of Chlorine Only three of these isotopes occur naturally: \(\ce{^36}cl\), a radioactive isotope, occurs only. The darker more stable isotope region departs from the line of protons (z) = neutrons (n), as the element number z becomes. 53 rows there are two stable isotopes, 35 cl (75.8%) and 37 cl (24.2%), giving chlorine a standard atomic weight of 35.45. Stable 35 cl. Stable Isotopes Of Chlorine.
From www.alamy.com
Isotopes of chlorine. Illustration showing the two principal stable Stable Isotopes Of Chlorine Stable 35 cl (75.77%)and 37 cl (24.23%),. There are only two stable isotopes: \(\ce{^36}cl\), a radioactive isotope, occurs only. 35 cl and 37 cl with respective proportions of 75.76% and 24.24% (berglund and wieser 2011). 53 rows there are two stable isotopes, 35 cl (75.8%) and 37 cl (24.2%), giving chlorine a standard atomic weight of 35.45. The darker more. Stable Isotopes Of Chlorine.
From www.amazon.com
The Geochemistry of Stable Chlorine and Bromine Isotopes (Advances in Stable Isotopes Of Chlorine 35 cl and 37 cl with respective proportions of 75.76% and 24.24% (berglund and wieser 2011). Isotopes \(\ce{^35}cl\) and \(\ce{^37}cl\) are the two natural, stable isotopes of chlorine. There are only two stable isotopes: Stable 35 cl (75.77%)and 37 cl (24.23%),. Only three of these isotopes occur naturally: \(\ce{^36}cl\), a radioactive isotope, occurs only. 53 rows there are two stable. Stable Isotopes Of Chlorine.
From www.researchgate.net
Chlorine stable isotope downcore distribution in pore waters separated Stable Isotopes Of Chlorine Stable 35 cl (75.77%)and 37 cl (24.23%),. Only three of these isotopes occur naturally: 53 rows there are two stable isotopes, 35 cl (75.8%) and 37 cl (24.2%), giving chlorine a standard atomic weight of 35.45. \(\ce{^36}cl\), a radioactive isotope, occurs only. There are only two stable isotopes: Chlorine has 9 isotopes with mass numbers ranging from 32 to 40.. Stable Isotopes Of Chlorine.
From www.researchgate.net
Stable isotopes of chlorine Download Scientific Diagram Stable Isotopes Of Chlorine 35 cl and 37 cl with respective proportions of 75.76% and 24.24% (berglund and wieser 2011). 53 rows there are two stable isotopes, 35 cl (75.8%) and 37 cl (24.2%), giving chlorine a standard atomic weight of 35.45. Only three of these isotopes occur naturally: The darker more stable isotope region departs from the line of protons (z) = neutrons. Stable Isotopes Of Chlorine.
From www.semanticscholar.org
Figure 2 from Development and validation of an universal interface for Stable Isotopes Of Chlorine Only three of these isotopes occur naturally: The darker more stable isotope region departs from the line of protons (z) = neutrons (n), as the element number z becomes. \(\ce{^36}cl\), a radioactive isotope, occurs only. Chlorine has 9 isotopes with mass numbers ranging from 32 to 40. Stable 35 cl (75.77%)and 37 cl (24.23%),. Isotopes \(\ce{^35}cl\) and \(\ce{^37}cl\) are the. Stable Isotopes Of Chlorine.
From www.chegg.com
Solved Chlorine35 is the most common stable isotope of Stable Isotopes Of Chlorine Isotopes \(\ce{^35}cl\) and \(\ce{^37}cl\) are the two natural, stable isotopes of chlorine. There are only two stable isotopes: Only three of these isotopes occur naturally: Stable 35 cl (75.77%)and 37 cl (24.23%),. \(\ce{^36}cl\), a radioactive isotope, occurs only. The darker more stable isotope region departs from the line of protons (z) = neutrons (n), as the element number z becomes.. Stable Isotopes Of Chlorine.
From www.alamy.com
chlorine chemical element isotopes atomic structure illustration Stable Isotopes Of Chlorine Chlorine has 9 isotopes with mass numbers ranging from 32 to 40. Stable 35 cl (75.77%)and 37 cl (24.23%),. 53 rows there are two stable isotopes, 35 cl (75.8%) and 37 cl (24.2%), giving chlorine a standard atomic weight of 35.45. Only three of these isotopes occur naturally: 35 cl and 37 cl with respective proportions of 75.76% and 24.24%. Stable Isotopes Of Chlorine.
From studiousguy.com
Chlorine (Cl) Properties & Uses StudiousGuy Stable Isotopes Of Chlorine \(\ce{^36}cl\), a radioactive isotope, occurs only. The darker more stable isotope region departs from the line of protons (z) = neutrons (n), as the element number z becomes. 35 cl and 37 cl with respective proportions of 75.76% and 24.24% (berglund and wieser 2011). Chlorine has 9 isotopes with mass numbers ranging from 32 to 40. Only three of these. Stable Isotopes Of Chlorine.
From allwiringsketch.com
A Visual Guide to Chlorine Isotopes Stable Isotopes Of Chlorine Isotopes \(\ce{^35}cl\) and \(\ce{^37}cl\) are the two natural, stable isotopes of chlorine. Chlorine has 9 isotopes with mass numbers ranging from 32 to 40. Only three of these isotopes occur naturally: 53 rows there are two stable isotopes, 35 cl (75.8%) and 37 cl (24.2%), giving chlorine a standard atomic weight of 35.45. Stable 35 cl (75.77%)and 37 cl (24.23%),.. Stable Isotopes Of Chlorine.
From www.researchgate.net
(PDF) Online analysis of chlorine stable isotopes in chlorinated Stable Isotopes Of Chlorine There are only two stable isotopes: 53 rows there are two stable isotopes, 35 cl (75.8%) and 37 cl (24.2%), giving chlorine a standard atomic weight of 35.45. Only three of these isotopes occur naturally: Stable 35 cl (75.77%)and 37 cl (24.23%),. \(\ce{^36}cl\), a radioactive isotope, occurs only. Chlorine has 9 isotopes with mass numbers ranging from 32 to 40.. Stable Isotopes Of Chlorine.
From www.numerade.com
SOLVED There are only two naturallyoccurring stable isotopes of Stable Isotopes Of Chlorine \(\ce{^36}cl\), a radioactive isotope, occurs only. Chlorine has 9 isotopes with mass numbers ranging from 32 to 40. The darker more stable isotope region departs from the line of protons (z) = neutrons (n), as the element number z becomes. 35 cl and 37 cl with respective proportions of 75.76% and 24.24% (berglund and wieser 2011). 53 rows there are. Stable Isotopes Of Chlorine.
From www.chegg.com
Solved There are only two naturally occuring stable isotopes Stable Isotopes Of Chlorine Only three of these isotopes occur naturally: Chlorine has 9 isotopes with mass numbers ranging from 32 to 40. 35 cl and 37 cl with respective proportions of 75.76% and 24.24% (berglund and wieser 2011). \(\ce{^36}cl\), a radioactive isotope, occurs only. 53 rows there are two stable isotopes, 35 cl (75.8%) and 37 cl (24.2%), giving chlorine a standard atomic. Stable Isotopes Of Chlorine.
From www.researchgate.net
Concentrations of the main elements in the precipitates (a), chlorine Stable Isotopes Of Chlorine \(\ce{^36}cl\), a radioactive isotope, occurs only. There are only two stable isotopes: Stable 35 cl (75.77%)and 37 cl (24.23%),. The darker more stable isotope region departs from the line of protons (z) = neutrons (n), as the element number z becomes. Isotopes \(\ce{^35}cl\) and \(\ce{^37}cl\) are the two natural, stable isotopes of chlorine. 53 rows there are two stable isotopes,. Stable Isotopes Of Chlorine.
From slideplayer.com
Medical Chemistry (1st year) Lecture I ppt download Stable Isotopes Of Chlorine The darker more stable isotope region departs from the line of protons (z) = neutrons (n), as the element number z becomes. 53 rows there are two stable isotopes, 35 cl (75.8%) and 37 cl (24.2%), giving chlorine a standard atomic weight of 35.45. Chlorine has 9 isotopes with mass numbers ranging from 32 to 40. \(\ce{^36}cl\), a radioactive isotope,. Stable Isotopes Of Chlorine.
From www.narodnatribuna.info
Stable Isotopes Of Chlorine Download Scientific Diagram Stable Isotopes Of Chlorine \(\ce{^36}cl\), a radioactive isotope, occurs only. The darker more stable isotope region departs from the line of protons (z) = neutrons (n), as the element number z becomes. Stable 35 cl (75.77%)and 37 cl (24.23%),. 35 cl and 37 cl with respective proportions of 75.76% and 24.24% (berglund and wieser 2011). Only three of these isotopes occur naturally: Chlorine has. Stable Isotopes Of Chlorine.
From 1wedding-love.blogspot.com
Isotopes Of Chlorine wedding love Stable Isotopes Of Chlorine 53 rows there are two stable isotopes, 35 cl (75.8%) and 37 cl (24.2%), giving chlorine a standard atomic weight of 35.45. 35 cl and 37 cl with respective proportions of 75.76% and 24.24% (berglund and wieser 2011). Chlorine has 9 isotopes with mass numbers ranging from 32 to 40. The darker more stable isotope region departs from the line. Stable Isotopes Of Chlorine.