Matlab Z Score . The task automatically generates matlab ® code for your live. This is known as the z. The matlab command zscore standardises across. It can also be used to detect outliers. What i meant by ‘in most situations’ is that the test considers that a. This matlab function returns a test decision for the null hypothesis that the data in the vector x comes from a normal distribution with mean m and a standard deviation sigma,. Z = zscore(x) 返回 x 的每个元素的 z 分数,对列 x 进行中心化和缩放处理,使其均值为 0,标准差为 1。 z 与 x 的大小相同。 如果 x 是向量,则 z 是 z 分数组成的. Z = zscore (d) returns the deviation of each column of d from its mean, normalized by its standard deviation. This is also called standardization of data. Z score, also called as standard score, is used to scale the features in a dataset for machine learning model training.
from www.numerade.com
Z score, also called as standard score, is used to scale the features in a dataset for machine learning model training. This is also called standardization of data. It can also be used to detect outliers. The task automatically generates matlab ® code for your live. Z = zscore(x) 返回 x 的每个元素的 z 分数,对列 x 进行中心化和缩放处理,使其均值为 0,标准差为 1。 z 与 x 的大小相同。 如果 x 是向量,则 z 是 z 分数组成的. What i meant by ‘in most situations’ is that the test considers that a. The matlab command zscore standardises across. Z = zscore (d) returns the deviation of each column of d from its mean, normalized by its standard deviation. This matlab function returns a test decision for the null hypothesis that the data in the vector x comes from a normal distribution with mean m and a standard deviation sigma,. This is known as the z.
SOLVED Please use z score table to determine percentile rank for score
Matlab Z Score This is also called standardization of data. Z score, also called as standard score, is used to scale the features in a dataset for machine learning model training. This is known as the z. Z = zscore(x) 返回 x 的每个元素的 z 分数,对列 x 进行中心化和缩放处理,使其均值为 0,标准差为 1。 z 与 x 的大小相同。 如果 x 是向量,则 z 是 z 分数组成的. This is also called standardization of data. Z = zscore (d) returns the deviation of each column of d from its mean, normalized by its standard deviation. It can also be used to detect outliers. This matlab function returns a test decision for the null hypothesis that the data in the vector x comes from a normal distribution with mean m and a standard deviation sigma,. The matlab command zscore standardises across. The task automatically generates matlab ® code for your live. What i meant by ‘in most situations’ is that the test considers that a.
From eduinput.com
ZScoreDefinition, Calculation, Interpretation, and Examples Matlab Z Score The task automatically generates matlab ® code for your live. Z = zscore (d) returns the deviation of each column of d from its mean, normalized by its standard deviation. This is known as the z. Z score, also called as standard score, is used to scale the features in a dataset for machine learning model training. It can also. Matlab Z Score.
From www.youtube.com
Z Transform of a Function in MATLAB DSP using MATLAB YouTube Matlab Z Score The matlab command zscore standardises across. Z = zscore (d) returns the deviation of each column of d from its mean, normalized by its standard deviation. Z score, also called as standard score, is used to scale the features in a dataset for machine learning model training. Z = zscore(x) 返回 x 的每个元素的 z 分数,对列 x 进行中心化和缩放处理,使其均值为 0,标准差为 1。 z. Matlab Z Score.
From www.youtube.com
Finding Areas Under And What Is The Standard Normal Distribution Curve Matlab Z Score What i meant by ‘in most situations’ is that the test considers that a. This is known as the z. Z = zscore (d) returns the deviation of each column of d from its mean, normalized by its standard deviation. Z score, also called as standard score, is used to scale the features in a dataset for machine learning model. Matlab Z Score.
From testbookpdf.com
ZScores Standardization And The Standard Normal Distribution Matlab Z Score The matlab command zscore standardises across. The task automatically generates matlab ® code for your live. Z score, also called as standard score, is used to scale the features in a dataset for machine learning model training. This is also called standardization of data. It can also be used to detect outliers. This is known as the z. Z =. Matlab Z Score.
From blog.eunsukim.me
Normalization(정규화) 개념 정리 Matlab Z Score It can also be used to detect outliers. Z = zscore(x) 返回 x 的每个元素的 z 分数,对列 x 进行中心化和缩放处理,使其均值为 0,标准差为 1。 z 与 x 的大小相同。 如果 x 是向量,则 z 是 z 分数组成的. The task automatically generates matlab ® code for your live. This is also called standardization of data. What i meant by ‘in most situations’ is that the test considers. Matlab Z Score.
From studyfinder.org
How to Conduct a MATLAB ZTest for Statistical Analysis Matlab Z Score What i meant by ‘in most situations’ is that the test considers that a. It can also be used to detect outliers. Z = zscore (d) returns the deviation of each column of d from its mean, normalized by its standard deviation. Z = zscore(x) 返回 x 的每个元素的 z 分数,对列 x 进行中心化和缩放处理,使其均值为 0,标准差为 1。 z 与 x 的大小相同。 如果 x. Matlab Z Score.
From www.datasciencesmachinelearning.com
Data Science Simplified ZScores Explained with Examples A Beginner's Matlab Z Score The task automatically generates matlab ® code for your live. Z score, also called as standard score, is used to scale the features in a dataset for machine learning model training. What i meant by ‘in most situations’ is that the test considers that a. Z = zscore (d) returns the deviation of each column of d from its mean,. Matlab Z Score.
From access-excel.tips
Calculate probability of a range using Z Score Matlab Z Score This matlab function returns a test decision for the null hypothesis that the data in the vector x comes from a normal distribution with mean m and a standard deviation sigma,. Z score, also called as standard score, is used to scale the features in a dataset for machine learning model training. The matlab command zscore standardises across. The task. Matlab Z Score.
From mathsathome.com
How To Understand And Calculate ZScores Matlab Z Score The task automatically generates matlab ® code for your live. This matlab function returns a test decision for the null hypothesis that the data in the vector x comes from a normal distribution with mean m and a standard deviation sigma,. What i meant by ‘in most situations’ is that the test considers that a. It can also be used. Matlab Z Score.
From www.youtube.com
Z score for Outlier Detection MATLAB YouTube Matlab Z Score What i meant by ‘in most situations’ is that the test considers that a. This matlab function returns a test decision for the null hypothesis that the data in the vector x comes from a normal distribution with mean m and a standard deviation sigma,. This is also called standardization of data. This is known as the z. The task. Matlab Z Score.
From calcworkshop.com
How to find Z Scores and use Z Tables? (9 Amazing Examples!) Matlab Z Score The task automatically generates matlab ® code for your live. This is known as the z. What i meant by ‘in most situations’ is that the test considers that a. The matlab command zscore standardises across. Z score, also called as standard score, is used to scale the features in a dataset for machine learning model training. Z = zscore. Matlab Z Score.
From www.theengineeringprojects.com
Introduction to Z Transform in Signal and Systems with MATLAB The Matlab Z Score The task automatically generates matlab ® code for your live. This is also called standardization of data. What i meant by ‘in most situations’ is that the test considers that a. Z = zscore(x) 返回 x 的每个元素的 z 分数,对列 x 进行中心化和缩放处理,使其均值为 0,标准差为 1。 z 与 x 的大小相同。 如果 x 是向量,则 z 是 z 分数组成的. Z = zscore (d) returns the. Matlab Z Score.
From www.sophia.org
Using zScores to find a Probability Tutorial Sophia Learning Matlab Z Score This is also called standardization of data. What i meant by ‘in most situations’ is that the test considers that a. It can also be used to detect outliers. The task automatically generates matlab ® code for your live. Z = zscore(x) 返回 x 的每个元素的 z 分数,对列 x 进行中心化和缩放处理,使其均值为 0,标准差为 1。 z 与 x 的大小相同。 如果 x 是向量,则 z 是. Matlab Z Score.
From edutized.com
How to interpret z scores (with examples) Edutized Matlab Z Score Z = zscore(x) 返回 x 的每个元素的 z 分数,对列 x 进行中心化和缩放处理,使其均值为 0,标准差为 1。 z 与 x 的大小相同。 如果 x 是向量,则 z 是 z 分数组成的. This matlab function returns a test decision for the null hypothesis that the data in the vector x comes from a normal distribution with mean m and a standard deviation sigma,. It can also be used to. Matlab Z Score.
From www.numerade.com
SOLVED Please use z score table to determine percentile rank for score Matlab Z Score This matlab function returns a test decision for the null hypothesis that the data in the vector x comes from a normal distribution with mean m and a standard deviation sigma,. Z = zscore (d) returns the deviation of each column of d from its mean, normalized by its standard deviation. The task automatically generates matlab ® code for your. Matlab Z Score.
From www.chegg.com
Solved 3838Use the standard normal table to find the zscore Matlab Z Score The matlab command zscore standardises across. It can also be used to detect outliers. The task automatically generates matlab ® code for your live. Z score, also called as standard score, is used to scale the features in a dataset for machine learning model training. This matlab function returns a test decision for the null hypothesis that the data in. Matlab Z Score.
From blog.naver.com
How To Use The ZScore Table (Standard Normal Table) 네이버 블로그 Matlab Z Score It can also be used to detect outliers. This is known as the z. The matlab command zscore standardises across. The task automatically generates matlab ® code for your live. Z score, also called as standard score, is used to scale the features in a dataset for machine learning model training. Z = zscore (d) returns the deviation of each. Matlab Z Score.
From edutized.com
Z score Table or Z score chart Edutized Matlab Z Score This matlab function returns a test decision for the null hypothesis that the data in the vector x comes from a normal distribution with mean m and a standard deviation sigma,. Z = zscore (d) returns the deviation of each column of d from its mean, normalized by its standard deviation. Z score, also called as standard score, is used. Matlab Z Score.
From www.coursehero.com
[Solved] Find the indicated z score. The graph depicts the standard Matlab Z Score Z = zscore(x) 返回 x 的每个元素的 z 分数,对列 x 进行中心化和缩放处理,使其均值为 0,标准差为 1。 z 与 x 的大小相同。 如果 x 是向量,则 z 是 z 分数组成的. Z = zscore (d) returns the deviation of each column of d from its mean, normalized by its standard deviation. Z score, also called as standard score, is used to scale the features in a dataset for. Matlab Z Score.
From www.youtube.com
MATLAB Z transform and convolution YouTube Matlab Z Score This is known as the z. It can also be used to detect outliers. Z = zscore(x) 返回 x 的每个元素的 z 分数,对列 x 进行中心化和缩放处理,使其均值为 0,标准差为 1。 z 与 x 的大小相同。 如果 x 是向量,则 z 是 z 分数组成的. This is also called standardization of data. What i meant by ‘in most situations’ is that the test considers that a. The task. Matlab Z Score.
From stackoverflow.com
predict r gamlss predicting standard deviation and calculating z Matlab Z Score Z score, also called as standard score, is used to scale the features in a dataset for machine learning model training. The matlab command zscore standardises across. This is also called standardization of data. This is known as the z. Z = zscore (d) returns the deviation of each column of d from its mean, normalized by its standard deviation.. Matlab Z Score.
From mathsathome.com
How To Understand And Calculate ZScores Matlab Z Score Z score, also called as standard score, is used to scale the features in a dataset for machine learning model training. Z = zscore(x) 返回 x 的每个元素的 z 分数,对列 x 进行中心化和缩放处理,使其均值为 0,标准差为 1。 z 与 x 的大小相同。 如果 x 是向量,则 z 是 z 分数组成的. The task automatically generates matlab ® code for your live. Z = zscore (d) returns the. Matlab Z Score.
From squadret.weebly.com
Standard normal table z score statcrunch squadret Matlab Z Score Z score, also called as standard score, is used to scale the features in a dataset for machine learning model training. Z = zscore(x) 返回 x 的每个元素的 z 分数,对列 x 进行中心化和缩放处理,使其均值为 0,标准差为 1。 z 与 x 的大小相同。 如果 x 是向量,则 z 是 z 分数组成的. It can also be used to detect outliers. This is also called standardization of data. What. Matlab Z Score.
From nsaroad.weebly.com
Standard normal table z score nsaroad Matlab Z Score This is also called standardization of data. It can also be used to detect outliers. What i meant by ‘in most situations’ is that the test considers that a. This matlab function returns a test decision for the null hypothesis that the data in the vector x comes from a normal distribution with mean m and a standard deviation sigma,.. Matlab Z Score.
From officialbruinsshop.com
How To Read Z Score Table Pdf Bruin Blog Matlab Z Score The matlab command zscore standardises across. Z = zscore(x) 返回 x 的每个元素的 z 分数,对列 x 进行中心化和缩放处理,使其均值为 0,标准差为 1。 z 与 x 的大小相同。 如果 x 是向量,则 z 是 z 分数组成的. What i meant by ‘in most situations’ is that the test considers that a. This matlab function returns a test decision for the null hypothesis that the data in the vector. Matlab Z Score.
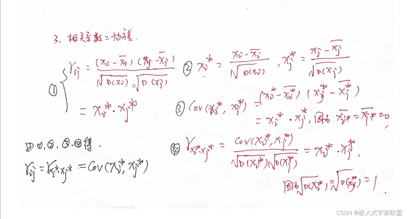
From blog.csdn.net
matlab期望、方差、协方差、标准差、数据标准化(zscore)及性质证明_matlab zscoreCSDN博客 Matlab Z Score Z = zscore(x) 返回 x 的每个元素的 z 分数,对列 x 进行中心化和缩放处理,使其均值为 0,标准差为 1。 z 与 x 的大小相同。 如果 x 是向量,则 z 是 z 分数组成的. Z score, also called as standard score, is used to scale the features in a dataset for machine learning model training. This is also called standardization of data. What i meant by ‘in most situations’ is that. Matlab Z Score.
From blog.csdn.net
zscore函数的数据标准化处理及MATLAB实现_matlab zscoreCSDN博客 Matlab Z Score It can also be used to detect outliers. This is also called standardization of data. The task automatically generates matlab ® code for your live. This is known as the z. The matlab command zscore standardises across. Z = zscore (d) returns the deviation of each column of d from its mean, normalized by its standard deviation. This matlab function. Matlab Z Score.
From www.youtube.com
Normalized Table Understand z scores, p values, critical values YouTube Matlab Z Score This matlab function returns a test decision for the null hypothesis that the data in the vector x comes from a normal distribution with mean m and a standard deviation sigma,. This is known as the z. Z score, also called as standard score, is used to scale the features in a dataset for machine learning model training. It can. Matlab Z Score.
From studyfinder.org
How to Conduct a MATLAB ZTest for Statistical Analysis Matlab Z Score What i meant by ‘in most situations’ is that the test considers that a. The task automatically generates matlab ® code for your live. This is also called standardization of data. Z score, also called as standard score, is used to scale the features in a dataset for machine learning model training. Z = zscore (d) returns the deviation of. Matlab Z Score.
From www.ee-diary.com
Computing the Ztransform in MATLAB eediary Matlab Z Score This is known as the z. Z = zscore (d) returns the deviation of each column of d from its mean, normalized by its standard deviation. What i meant by ‘in most situations’ is that the test considers that a. This matlab function returns a test decision for the null hypothesis that the data in the vector x comes from. Matlab Z Score.
From testbookpdf.com
ZScores Standardization And The Standard Normal Distribution Matlab Z Score The task automatically generates matlab ® code for your live. It can also be used to detect outliers. The matlab command zscore standardises across. Z = zscore (d) returns the deviation of each column of d from its mean, normalized by its standard deviation. This is known as the z. What i meant by ‘in most situations’ is that the. Matlab Z Score.
From www.thedataschool.co.uk
Stats 101 ZScore The Data School Matlab Z Score The task automatically generates matlab ® code for your live. It can also be used to detect outliers. Z = zscore(x) 返回 x 的每个元素的 z 分数,对列 x 进行中心化和缩放处理,使其均值为 0,标准差为 1。 z 与 x 的大小相同。 如果 x 是向量,则 z 是 z 分数组成的. Z = zscore (d) returns the deviation of each column of d from its mean, normalized by its standard. Matlab Z Score.
From www.theengineeringprojects.com
Introduction to Z Transform in Signal and Systems with MATLAB The Matlab Z Score What i meant by ‘in most situations’ is that the test considers that a. This is known as the z. The matlab command zscore standardises across. Z = zscore (d) returns the deviation of each column of d from its mean, normalized by its standard deviation. It can also be used to detect outliers. The task automatically generates matlab ®. Matlab Z Score.
From edutized.com
How to interpret z scores (with examples) Edutized Matlab Z Score It can also be used to detect outliers. This is known as the z. The task automatically generates matlab ® code for your live. Z score, also called as standard score, is used to scale the features in a dataset for machine learning model training. Z = zscore(x) 返回 x 的每个元素的 z 分数,对列 x 进行中心化和缩放处理,使其均值为 0,标准差为 1。 z 与 x. Matlab Z Score.
From www.vrogue.co
How To Find Z Score Standard Normal Distribution Tabl vrogue.co Matlab Z Score Z = zscore (d) returns the deviation of each column of d from its mean, normalized by its standard deviation. This is known as the z. This matlab function returns a test decision for the null hypothesis that the data in the vector x comes from a normal distribution with mean m and a standard deviation sigma,. What i meant. Matlab Z Score.