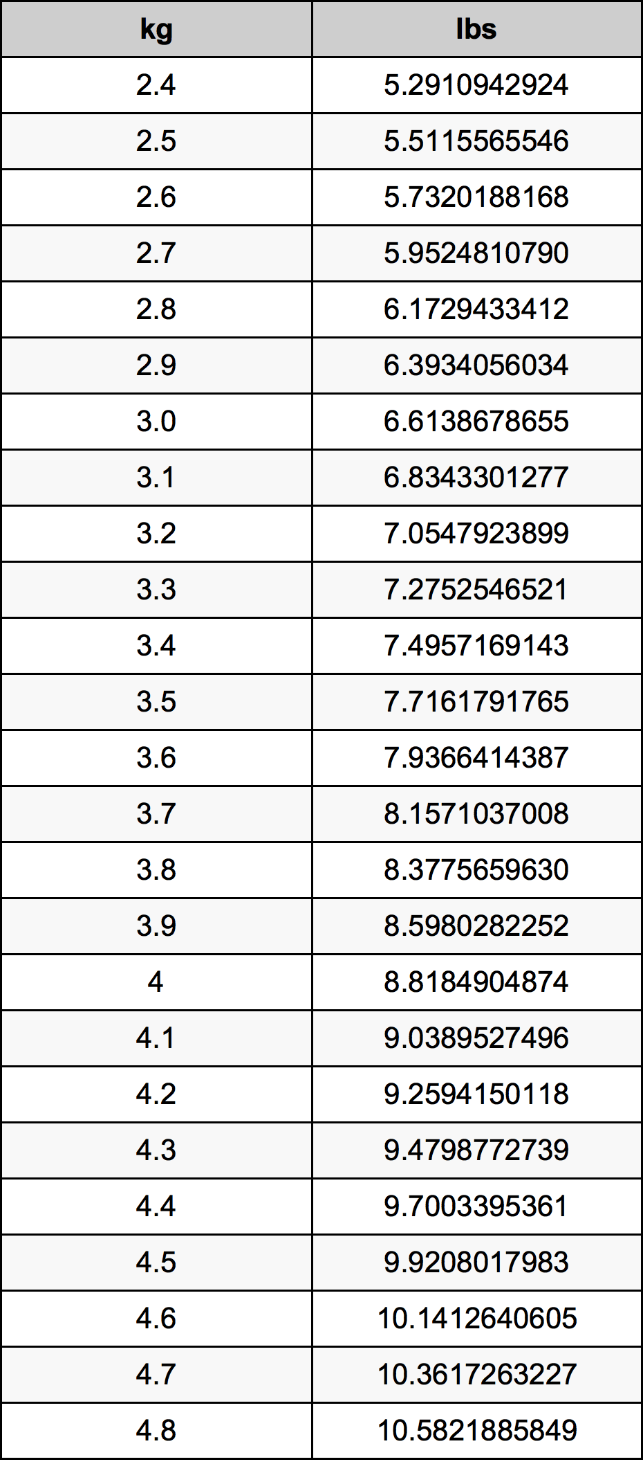
Converter Kg Para Libras . 1 kg = 2,20462262185 libras. Instant free online tool for kilogram to pound conversion or vice versa. 23 rows cómo convertir kilogramos a libras. Convert between the units (kg → lb) or see the. Digite a quantidade que você deseja converter e pressione o botão converter. To convert a weight or mass measurement from kilograms (kg) to pounds (lbs), follow these simple steps: To convert kilograms to pounds you simply have to multiply to pounds. Multiply the weight by the conversion factor 2.2046. 1000000 kilos = 2204622.62 pounds. 1 kilogramo (kg) es igual a 2.20462262185 libras (lbs). Converter de quilos em libras. You can view more details on each. We assume you are converting between kilogram and libra [ancient rome]. The kilogram [kg] to pound [lbs] conversion table and conversion. A massa m em libras (lb) é igual à massa m em quilogramas (kg) dividida por 0,45359237:
from materialmediafascias.z14.web.core.windows.net
We assume you are converting between kilogram and libra [ancient rome]. Convert between the units (kg → lb) or see the. Multiply the weight by the conversion factor 2.2046. 23 rows 1 kg = 2,20462262185 lb. Converter de quilos em libras. 1000000 kilos = 2204622.62 pounds. To convert kilograms to pounds you simply have to multiply to pounds. 1000 kilos = 2204.62 pounds. Digite a quantidade que você deseja converter e pressione o botão converter. You can view more details on each.
Pounds To Kilograms Conversion Chart Printable
Converter Kg Para Libras Instant free online tool for kilogram to pound conversion or vice versa. A massa m em libras (lb) é igual à massa m em quilogramas (kg) dividida por 0,45359237: Instant free online tool for kilogram to pound conversion or vice versa. 1 kg = 2,20462262185 libras. 1 kilogramo (kg) es igual a 2.20462262185 libras (lbs). We assume you are converting between kilogram and libra [ancient rome]. Converter de quilos em libras. 1000 kilos = 2204.62 pounds. Digite a quantidade que você deseja converter e pressione o botão converter. M (lb) = m (kg) /. The kilogram [kg] to pound [lbs] conversion table and conversion. How do you convert kilograms (kg) to pounds (lbs)? 23 rows 1 kg = 2,20462262185 lb. To convert kilograms to pounds you simply have to multiply to pounds. 1000000 kilos = 2204622.62 pounds. To convert a weight or mass measurement from kilograms (kg) to pounds (lbs), follow these simple steps:
From pt.wikihow.com
Como Converter Libras em Quilogramas 3 Passos Converter Kg Para Libras 1 kg = 2,20462262185 libras. We assume you are converting between kilogram and libra [ancient rome]. Converter de quilos em libras. A massa m em libras (lb) é igual à massa m em quilogramas (kg) dividida por 0,45359237: 1000000 kilos = 2204622.62 pounds. To convert kilograms to pounds you simply have to multiply to pounds. To convert a weight or. Converter Kg Para Libras.
From es.wikihow.com
Cómo convertir kilogramos a libras 8 Pasos Converter Kg Para Libras Converter de quilos em libras. Multiply the weight by the conversion factor 2.2046. 1000000 kilos = 2204622.62 pounds. 1000 kilos = 2204.62 pounds. To convert a weight or mass measurement from kilograms (kg) to pounds (lbs), follow these simple steps: You can view more details on each. A massa m em libras (lb) é igual à massa m em quilogramas. Converter Kg Para Libras.
From www.sycor.com
Conversion Charts KG to LB Sycor Technology Converter Kg Para Libras A massa m em libras (lb) é igual à massa m em quilogramas (kg) dividida por 0,45359237: Multiply the weight by the conversion factor 2.2046. The kilogram [kg] to pound [lbs] conversion table and conversion. Convert between the units (kg → lb) or see the. You can view more details on each. 1000000 kilos = 2204622.62 pounds. We assume you. Converter Kg Para Libras.
From robot.ekstrabladet.dk
Transformar Libras Em Kg Converter Kg Para Libras 1 kilogramo (kg) es igual a 2.20462262185 libras (lbs). To convert kilograms to pounds you simply have to multiply to pounds. A massa m em libras (lb) é igual à massa m em quilogramas (kg) dividida por 0,45359237: M (lb) = m (kg) /. To convert a weight or mass measurement from kilograms (kg) to pounds (lbs), follow these simple. Converter Kg Para Libras.
From robot.ekstrabladet.dk
Conversão De Libras Para Kg Converter Kg Para Libras We assume you are converting between kilogram and libra [ancient rome]. 1000000 kilos = 2204622.62 pounds. 1 kilogramo (kg) es igual a 2.20462262185 libras (lbs). M (lb) = m (kg) /. The kilogram [kg] to pound [lbs] conversion table and conversion. To convert a weight or mass measurement from kilograms (kg) to pounds (lbs), follow these simple steps: Instant free. Converter Kg Para Libras.
From studybeglerbegs.z4.web.core.windows.net
12kg Is How Many Pounds Converter Kg Para Libras Digite a quantidade que você deseja converter e pressione o botão converter. 1000000 kilos = 2204622.62 pounds. M (lb) = m (kg) /. 23 rows 1 kg = 2,20462262185 lb. To convert kilograms to pounds you simply have to multiply to pounds. We assume you are converting between kilogram and libra [ancient rome]. 1 kg = 2,20462262185 libras. 1 kilogramo. Converter Kg Para Libras.
From quizdbpharmacies.z4.web.core.windows.net
15kg Is How Many Pounds Converter Kg Para Libras How do you convert kilograms (kg) to pounds (lbs)? To convert kilograms to pounds you simply have to multiply to pounds. 1 kilogramo (kg) es igual a 2.20462262185 libras (lbs). 1000 kilos = 2204.62 pounds. Instant free online tool for kilogram to pound conversion or vice versa. The kilogram [kg] to pound [lbs] conversion table and conversion. Convert between the. Converter Kg Para Libras.
From materialmediafascias.z14.web.core.windows.net
Pounds To Kilograms Conversion Chart Printable Converter Kg Para Libras M (lb) = m (kg) /. 1 kilogramo (kg) es igual a 2.20462262185 libras (lbs). To convert kilograms to pounds you simply have to multiply to pounds. To convert a weight or mass measurement from kilograms (kg) to pounds (lbs), follow these simple steps: 1000000 kilos = 2204622.62 pounds. You can view more details on each. We assume you are. Converter Kg Para Libras.
From www.butterflyindia.ch
On your actually to no manner until receiving beter Converter Kg Para Libras Convert between the units (kg → lb) or see the. To convert kilograms to pounds you simply have to multiply to pounds. The kilogram [kg] to pound [lbs] conversion table and conversion. 1000000 kilos = 2204622.62 pounds. 1 kilogramo (kg) es igual a 2.20462262185 libras (lbs). We assume you are converting between kilogram and libra [ancient rome]. Instant free online. Converter Kg Para Libras.
From educationabayas.z4.web.core.windows.net
How Much Pounds Is 25 Kg Converter Kg Para Libras How do you convert kilograms (kg) to pounds (lbs)? Digite a quantidade que você deseja converter e pressione o botão converter. Instant free online tool for kilogram to pound conversion or vice versa. Multiply the weight by the conversion factor 2.2046. To convert a weight or mass measurement from kilograms (kg) to pounds (lbs), follow these simple steps: We assume. Converter Kg Para Libras.
From robot.ekstrabladet.dk
Transformar Libras Em Kg Converter Kg Para Libras The kilogram [kg] to pound [lbs] conversion table and conversion. 1 kilogramo (kg) es igual a 2.20462262185 libras (lbs). 23 rows cómo convertir kilogramos a libras. M (lb) = m (kg) /. 23 rows 1 kg = 2,20462262185 lb. To convert a weight or mass measurement from kilograms (kg) to pounds (lbs), follow these simple steps: We assume you are. Converter Kg Para Libras.
From robot.ekstrabladet.dk
Conversao De Libra Para Kilo Converter Kg Para Libras To convert kilograms to pounds you simply have to multiply to pounds. Instant free online tool for kilogram to pound conversion or vice versa. 1 kilogramo (kg) es igual a 2.20462262185 libras (lbs). Multiply the weight by the conversion factor 2.2046. M (lb) = m (kg) /. Convert between the units (kg → lb) or see the. 1000 kilos =. Converter Kg Para Libras.
From learningmagicumlauting.z13.web.core.windows.net
Lbs To Kg Conversion Printable Chart Converter Kg Para Libras You can view more details on each. 1000000 kilos = 2204622.62 pounds. 1 kg = 2,20462262185 libras. The kilogram [kg] to pound [lbs] conversion table and conversion. 23 rows 1 kg = 2,20462262185 lb. Digite a quantidade que você deseja converter e pressione o botão converter. We assume you are converting between kilogram and libra [ancient rome]. 1 kilogramo (kg). Converter Kg Para Libras.
From www.pinterest.com
Pounds to Kilograms (lbs to kg) conversion chart for weight Measurement Converter Kg Para Libras 1000000 kilos = 2204622.62 pounds. 23 rows 1 kg = 2,20462262185 lb. The kilogram [kg] to pound [lbs] conversion table and conversion. 23 rows cómo convertir kilogramos a libras. Instant free online tool for kilogram to pound conversion or vice versa. 1 kg = 2,20462262185 libras. M (lb) = m (kg) /. Multiply the weight by the conversion factor 2.2046.. Converter Kg Para Libras.
From jeuserieuxensocio.univ-lorraine.fr
Infecter Agression participer tableau convertisseur kg Soldat Matériel Converter Kg Para Libras How do you convert kilograms (kg) to pounds (lbs)? 1000000 kilos = 2204622.62 pounds. Instant free online tool for kilogram to pound conversion or vice versa. 23 rows 1 kg = 2,20462262185 lb. Digite a quantidade que você deseja converter e pressione o botão converter. M (lb) = m (kg) /. You can view more details on each. To convert. Converter Kg Para Libras.
From tavik.com
80 pounds is how many kilograms A comprehensive guide and conversion Converter Kg Para Libras 1 kilogramo (kg) es igual a 2.20462262185 libras (lbs). Converter de quilos em libras. You can view more details on each. A massa m em libras (lb) é igual à massa m em quilogramas (kg) dividida por 0,45359237: How do you convert kilograms (kg) to pounds (lbs)? Convert between the units (kg → lb) or see the. 1000 kilos =. Converter Kg Para Libras.
From www.youtube.com
CONVERTIR LIBRAS a KILOGRAMOS y de KILOGRAMOS a LIBRAS Convertir de Converter Kg Para Libras 1000000 kilos = 2204622.62 pounds. How do you convert kilograms (kg) to pounds (lbs)? 1000 kilos = 2204.62 pounds. 23 rows 1 kg = 2,20462262185 lb. Convert between the units (kg → lb) or see the. M (lb) = m (kg) /. Instant free online tool for kilogram to pound conversion or vice versa. A massa m em libras (lb). Converter Kg Para Libras.
From cuantoson.com
Como pasar kilogramos a libras [kg a lb] Converter Kg Para Libras To convert kilograms to pounds you simply have to multiply to pounds. Converter de quilos em libras. 1 kilogramo (kg) es igual a 2.20462262185 libras (lbs). The kilogram [kg] to pound [lbs] conversion table and conversion. 1 kg = 2,20462262185 libras. Instant free online tool for kilogram to pound conversion or vice versa. You can view more details on each.. Converter Kg Para Libras.
From es.wikihow.com
Cómo convertir libras a kilos 3 pasos (con fotos) Converter Kg Para Libras 23 rows 1 kg = 2,20462262185 lb. To convert kilograms to pounds you simply have to multiply to pounds. Digite a quantidade que você deseja converter e pressione o botão converter. 1000 kilos = 2204.62 pounds. 1000000 kilos = 2204622.62 pounds. We assume you are converting between kilogram and libra [ancient rome]. Instant free online tool for kilogram to pound. Converter Kg Para Libras.
From yoshiko-tamura.com
22 Best 1/2 lb in grams Converter Kg Para Libras M (lb) = m (kg) /. How do you convert kilograms (kg) to pounds (lbs)? 1000000 kilos = 2204622.62 pounds. You can view more details on each. 1 kg = 2,20462262185 libras. To convert kilograms to pounds you simply have to multiply to pounds. Instant free online tool for kilogram to pound conversion or vice versa. Multiply the weight by. Converter Kg Para Libras.
From quizdbhandicraft.z4.web.core.windows.net
What Is 102 Cm In Feet Converter Kg Para Libras 1000 kilos = 2204.62 pounds. To convert a weight or mass measurement from kilograms (kg) to pounds (lbs), follow these simple steps: We assume you are converting between kilogram and libra [ancient rome]. Digite a quantidade que você deseja converter e pressione o botão converter. To convert kilograms to pounds you simply have to multiply to pounds. How do you. Converter Kg Para Libras.
From www.efj.org.jm
Conversor Avanzado de Kilogramos a Libras Converter Kg Para Libras Multiply the weight by the conversion factor 2.2046. Digite a quantidade que você deseja converter e pressione o botão converter. We assume you are converting between kilogram and libra [ancient rome]. How do you convert kilograms (kg) to pounds (lbs)? 23 rows cómo convertir kilogramos a libras. Convert between the units (kg → lb) or see the. The kilogram [kg]. Converter Kg Para Libras.
From read.cholonautas.edu.pe
Libras A Kg Converter Printable Templates Free Converter Kg Para Libras 1000 kilos = 2204.62 pounds. 1000000 kilos = 2204622.62 pounds. The kilogram [kg] to pound [lbs] conversion table and conversion. To convert kilograms to pounds you simply have to multiply to pounds. You can view more details on each. Multiply the weight by the conversion factor 2.2046. How do you convert kilograms (kg) to pounds (lbs)? 1 kg = 2,20462262185. Converter Kg Para Libras.
From www.youtube.com
Convertir de Libras a Kilogramos (lb a kg) YouTube Converter Kg Para Libras 23 rows cómo convertir kilogramos a libras. Digite a quantidade que você deseja converter e pressione o botão converter. A massa m em libras (lb) é igual à massa m em quilogramas (kg) dividida por 0,45359237: We assume you are converting between kilogram and libra [ancient rome]. Instant free online tool for kilogram to pound conversion or vice versa. The. Converter Kg Para Libras.
From educationcoarbs.z4.web.core.windows.net
34 Kilograms Is How Many Pounds Converter Kg Para Libras M (lb) = m (kg) /. 1000000 kilos = 2204622.62 pounds. To convert a weight or mass measurement from kilograms (kg) to pounds (lbs), follow these simple steps: How do you convert kilograms (kg) to pounds (lbs)? You can view more details on each. Instant free online tool for kilogram to pound conversion or vice versa. 1 kilogramo (kg) es. Converter Kg Para Libras.
From www.youtube.com
Convertir de kilogramos por minutos a libras por segundos (kg/min a lb Converter Kg Para Libras 23 rows cómo convertir kilogramos a libras. Digite a quantidade que você deseja converter e pressione o botão converter. Convert between the units (kg → lb) or see the. To convert kilograms to pounds you simply have to multiply to pounds. How do you convert kilograms (kg) to pounds (lbs)? The kilogram [kg] to pound [lbs] conversion table and conversion.. Converter Kg Para Libras.
From images.maplenest.com
Conversão Kg Em Libras EDUBRAINAZ Converter Kg Para Libras Multiply the weight by the conversion factor 2.2046. 1 kg = 2,20462262185 libras. 1000 kilos = 2204.62 pounds. 1000000 kilos = 2204622.62 pounds. Digite a quantidade que você deseja converter e pressione o botão converter. To convert kilograms to pounds you simply have to multiply to pounds. You can view more details on each. The kilogram [kg] to pound [lbs]. Converter Kg Para Libras.
From learningschoolmaltings.z14.web.core.windows.net
Convert 176 Lbs To Kg Converter Kg Para Libras 1 kg = 2,20462262185 libras. 1 kilogramo (kg) es igual a 2.20462262185 libras (lbs). A massa m em libras (lb) é igual à massa m em quilogramas (kg) dividida por 0,45359237: How do you convert kilograms (kg) to pounds (lbs)? M (lb) = m (kg) /. To convert kilograms to pounds you simply have to multiply to pounds. 1000000 kilos. Converter Kg Para Libras.
From estudiar.informacion.my.id
51 Kilos En Libras Estudiar Converter Kg Para Libras To convert kilograms to pounds you simply have to multiply to pounds. 23 rows cómo convertir kilogramos a libras. Convert between the units (kg → lb) or see the. 1 kg = 2,20462262185 libras. You can view more details on each. The kilogram [kg] to pound [lbs] conversion table and conversion. A massa m em libras (lb) é igual à. Converter Kg Para Libras.
From read.cholonautas.edu.pe
Como Convertir Libras A Kilogramos Operacion Printable Templates Free Converter Kg Para Libras To convert kilograms to pounds you simply have to multiply to pounds. Convert between the units (kg → lb) or see the. Instant free online tool for kilogram to pound conversion or vice versa. 1000000 kilos = 2204622.62 pounds. M (lb) = m (kg) /. You can view more details on each. We assume you are converting between kilogram and. Converter Kg Para Libras.
From www.youtube.com
CONVERSIÓN DE KILOGRAMOS A LIBRAS LORENA GARCÍA YouTube Converter Kg Para Libras Multiply the weight by the conversion factor 2.2046. Digite a quantidade que você deseja converter e pressione o botão converter. You can view more details on each. Converter de quilos em libras. A massa m em libras (lb) é igual à massa m em quilogramas (kg) dividida por 0,45359237: 1 kilogramo (kg) es igual a 2.20462262185 libras (lbs). To convert. Converter Kg Para Libras.
From www.pinterest.es
Conversión de libras a kilogramos (lb a kg) parte 3 Libra, Converter Kg Para Libras 1 kilogramo (kg) es igual a 2.20462262185 libras (lbs). Convert between the units (kg → lb) or see the. To convert a weight or mass measurement from kilograms (kg) to pounds (lbs), follow these simple steps: To convert kilograms to pounds you simply have to multiply to pounds. Converter de quilos em libras. Instant free online tool for kilogram to. Converter Kg Para Libras.
From bid.meetbirmingham.com
Quantas Libras Tem 1 Kg EDULEARN Converter Kg Para Libras The kilogram [kg] to pound [lbs] conversion table and conversion. 1 kg = 2,20462262185 libras. 23 rows cómo convertir kilogramos a libras. 1 kilogramo (kg) es igual a 2.20462262185 libras (lbs). Multiply the weight by the conversion factor 2.2046. To convert a weight or mass measurement from kilograms (kg) to pounds (lbs), follow these simple steps: How do you convert. Converter Kg Para Libras.
From estudiar.informacion.my.id
3libras A Kilos Estudiar Converter Kg Para Libras 1000 kilos = 2204.62 pounds. A massa m em libras (lb) é igual à massa m em quilogramas (kg) dividida por 0,45359237: Multiply the weight by the conversion factor 2.2046. 23 rows 1 kg = 2,20462262185 lb. Convert between the units (kg → lb) or see the. 1000000 kilos = 2204622.62 pounds. 23 rows cómo convertir kilogramos a libras. How. Converter Kg Para Libras.
From quizdbhandicraft.z4.web.core.windows.net
What Is 102 Cm In Feet Converter Kg Para Libras 1000000 kilos = 2204622.62 pounds. To convert a weight or mass measurement from kilograms (kg) to pounds (lbs), follow these simple steps: A massa m em libras (lb) é igual à massa m em quilogramas (kg) dividida por 0,45359237: You can view more details on each. Converter de quilos em libras. M (lb) = m (kg) /. 23 rows cómo. Converter Kg Para Libras.