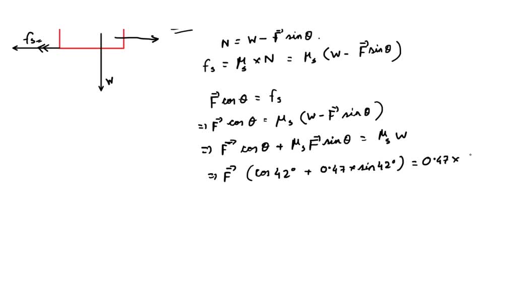
A Toy Chest And Its Contents . A toy chest and its contents have a combined weight of $$180$$ n. The coefficient of static friction between the toy chest and the. The coe cient of static friction between toy chest and oor is s=0.42. A toy chest and its contents have a combined weight of w = 190 n. Q30p a toy chest and its contents have a combined weight. The coefficient of static friction between the toy chest and the floor, î¼s, is 0.4… The coefficient of static friction between toy chest and floor μs is 0.440. The coefficient of static friction between toy chest and the floor is. A toy chest and its contents have a combined weight of w=220n. Step by step explanations answered by teachers vaia original! The forces acting on the toy chest. A toy chest and its contents have a combined weight of w = 210 n. Hrw 6.30 a toy chest and its contents have a combined weight of 180n. A toy chest and its contents have a combined weight of 180 n. The coefficient of static friction between toy chest and floor μs is0.450.
from www.solutionspile.com
A toy chest and its contents have a combined weight of w = 210 n. The coefficient of static friction between toy chest and the floor is. The coefficient of static friction between toy chest and floor μs is0.450. A toy chest and its contents have a combined weight of w=220n. The forces acting on the toy chest. A child attempts to move the chest across the oor The coefficient of static friction between toy chest and floor μs is 0.440. Hrw 6.30 a toy chest and its contents have a combined weight of 180n. Step by step explanations answered by teachers vaia original! Q30p a toy chest and its contents have a combined weight.
[Solved] A toy chest and its contents have a combined weig
A Toy Chest And Its Contents A toy chest and its contents have a combined weight of w = 210 n. The forces acting on the toy chest. The coefficient of static friction between the toy chest and the. A toy chest and its contents have a combined weight of 180 n. The coefficient of static friction between toy chest and the floor is. A toy chest and its contents have a combined weight of w=220n. Q30p a toy chest and its contents have a combined weight. The coefficient of static friction between toy chest and floor μs is0.450. The coefficient of static friction between toy chest and floor μs is 0.440. Hrw 6.30 a toy chest and its contents have a combined weight of 180n. A toy chest and its contents have a combined weight of $$180$$ n. A toy chest and its contents have a combined weight of w = 210 n. The coefficient of static friction between the toy chest and the floor, î¼s, is 0.4… Step by step explanations answered by teachers vaia original! A toy chest and its contents have a combined weight of w = 190 n. A child attempts to move the chest across the oor
From www.potterybarnkids.co.uk
Ultimate Toy Chest Pottery Barn Kids UK A Toy Chest And Its Contents A toy chest and its contents have a combined weight of w=220n. The coefficient of static friction between the toy chest and the floor, î¼s, is 0.4… The coe cient of static friction between toy chest and oor is s=0.42. The coefficient of static friction between toy chest and floor μs is0.450. The coefficient of static friction between toy chest. A Toy Chest And Its Contents.
From www.yvettestreasures.org
The Best Toy Chests For Children How To Get Organized Best Online A Toy Chest And Its Contents Hrw 6.30 a toy chest and its contents have a combined weight of 180n. A toy chest and its contents have a combined weight of w = 210 n. A toy chest and its contents have a combined weight of w = 190 n. The coefficient of static friction between the toy chest and the floor, î¼s, is 0.4… A. A Toy Chest And Its Contents.
From thegearhunt.com
10 Best Toy Chests Reviewed & Rated in 2022 TheGearHunt A Toy Chest And Its Contents The coefficient of static friction between the toy chest and the floor, î¼s, is 0.4… The coefficient of static friction between toy chest and floor μs is 0.440. The coefficient of static friction between toy chest and floor μs is0.450. A toy chest and its contents have a combined weight of $$180$$ n. A child attempts to move the chest. A Toy Chest And Its Contents.
From www.chegg.com
Solved 1. A toy chest and its contents have a combined A Toy Chest And Its Contents The coefficient of static friction between the toy chest and the floor, î¼s, is 0.4… A toy chest and its contents have a combined weight of w = 210 n. The forces acting on the toy chest. The coefficient of static friction between the toy chest and the. The coefficient of static friction between toy chest and floor μs is0.450.. A Toy Chest And Its Contents.
From thegearhunt.com
10 Best Toy Chests Reviewed & Rated in 2022 TheGearHunt A Toy Chest And Its Contents A child attempts to move the chest across the oor Step by step explanations answered by teachers vaia original! A toy chest and its contents have a combined weight of w = 190 n. The coefficient of static friction between toy chest and floor μs is0.450. Q30p a toy chest and its contents have a combined weight. A toy chest. A Toy Chest And Its Contents.
From www.dontwasteyourmoney.com
Step2 Removable Art Board Toy Chest & Storage A Toy Chest And Its Contents A toy chest and its contents have a combined weight of w=220n. Q30p a toy chest and its contents have a combined weight. A toy chest and its contents have a combined weight of 180 n. The coefficient of static friction between toy chest and the floor is. Hrw 6.30 a toy chest and its contents have a combined weight. A Toy Chest And Its Contents.
From houseplansandmore.com
Personalized Toy Chest Plan 097D1501 House Plans and More A Toy Chest And Its Contents The coefficient of static friction between the toy chest and the. A toy chest and its contents have a combined weight of $$180$$ n. A toy chest and its contents have a combined weight of w=220n. The coefficient of static friction between the toy chest and the floor, î¼s, is 0.4… The coe cient of static friction between toy chest. A Toy Chest And Its Contents.
From www.thereviewsquad.com
Treasure Chest Toy Box A Toy Chest And Its Contents A toy chest and its contents have a combined weight of 180 n. Step by step explanations answered by teachers vaia original! A toy chest and its contents have a combined weight of w = 190 n. Hrw 6.30 a toy chest and its contents have a combined weight of 180n. Q30p a toy chest and its contents have a. A Toy Chest And Its Contents.
From www.walmart.com
Decorative Gifts Leather Treasure Chest Full of Toys (Treasure Box and A Toy Chest And Its Contents A toy chest and its contents have a combined weight of w=220n. Q30p a toy chest and its contents have a combined weight. The coefficient of static friction between toy chest and floor μs is0.450. A toy chest and its contents have a combined weight of $$180$$ n. The forces acting on the toy chest. The coefficient of static friction. A Toy Chest And Its Contents.
From www.yvettestreasures.org
The Best Toy Chests For Children How To Get Organized Best Online A Toy Chest And Its Contents Hrw 6.30 a toy chest and its contents have a combined weight of 180n. A toy chest and its contents have a combined weight of w = 210 n. A toy chest and its contents have a combined weight of w=220n. The coe cient of static friction between toy chest and oor is s=0.42. The coefficient of static friction between. A Toy Chest And Its Contents.
From www.youtube.com
A toy chest and its contents have a combined weight of 180 n YouTube A Toy Chest And Its Contents Step by step explanations answered by teachers vaia original! A child attempts to move the chest across the oor A toy chest and its contents have a combined weight of $$180$$ n. A toy chest and its contents have a combined weight of w = 190 n. The coefficient of static friction between toy chest and the floor is. The. A Toy Chest And Its Contents.
From www.chegg.com
Solved A toy chest and its contents have a combined weight A Toy Chest And Its Contents A toy chest and its contents have a combined weight of 180 n. A toy chest and its contents have a combined weight of $$180$$ n. The coefficient of static friction between toy chest and the floor is. The coefficient of static friction between toy chest and floor μs is 0.440. Hrw 6.30 a toy chest and its contents have. A Toy Chest And Its Contents.
From thegearhunt.com
10 Best Toy Chests Reviewed & Rated in 2022 TheGearHunt A Toy Chest And Its Contents Step by step explanations answered by teachers vaia original! A toy chest and its contents have a combined weight of w = 190 n. The forces acting on the toy chest. The coefficient of static friction between toy chest and the floor is. A toy chest and its contents have a combined weight of 180 n. The coe cient of. A Toy Chest And Its Contents.
From www.solutionspile.com
[Solved] A toy chest and its contents have a combined weig A Toy Chest And Its Contents The coefficient of static friction between the toy chest and the. The coefficient of static friction between toy chest and floor μs is 0.440. A child attempts to move the chest across the oor Step by step explanations answered by teachers vaia original! A toy chest and its contents have a combined weight of $$180$$ n. A toy chest and. A Toy Chest And Its Contents.
From www.hometipsworld.com
How to Build Your Own Toy Chest A Toy Chest And Its Contents The coefficient of static friction between toy chest and floor μs is 0.440. A toy chest and its contents have a combined weight of w = 210 n. Q30p a toy chest and its contents have a combined weight. The coefficient of static friction between toy chest and the floor is. The coefficient of static friction between the toy chest. A Toy Chest And Its Contents.
From www.numerade.com
⏩SOLVEDA toy chest and its contents have a combined weight of 200 A Toy Chest And Its Contents A child attempts to move the chest across the oor The coefficient of static friction between toy chest and floor μs is 0.440. The coefficient of static friction between the toy chest and the. The coefficient of static friction between toy chest and the floor is. A toy chest and its contents have a combined weight of 180 n. The. A Toy Chest And Its Contents.
From freewoodworkingplan.com
Boxes and Chests for Toys Page 4 Free Woodworking A Toy Chest And Its Contents The coefficient of static friction between toy chest and the floor is. The coe cient of static friction between toy chest and oor is s=0.42. A toy chest and its contents have a combined weight of w = 190 n. Hrw 6.30 a toy chest and its contents have a combined weight of 180n. A child attempts to move the. A Toy Chest And Its Contents.
From www.chegg.com
Solved A toy chest and its contents have a combined weight A Toy Chest And Its Contents A toy chest and its contents have a combined weight of w = 210 n. The coefficient of static friction between the toy chest and the floor, î¼s, is 0.4… Step by step explanations answered by teachers vaia original! A toy chest and its contents have a combined weight of w = 190 n. A toy chest and its contents. A Toy Chest And Its Contents.
From homebnc.com
44 Best Toy Storage Ideas that Kids Will Love in 2022 A Toy Chest And Its Contents A toy chest and its contents have a combined weight of 180 n. A child attempts to move the chest across the oor Hrw 6.30 a toy chest and its contents have a combined weight of 180n. Q30p a toy chest and its contents have a combined weight. Step by step explanations answered by teachers vaia original! A toy chest. A Toy Chest And Its Contents.
From www.earlyyearsresources.co.uk
Toy Chest Furniture from Early Years Resources UK A Toy Chest And Its Contents The coefficient of static friction between toy chest and the floor is. A toy chest and its contents have a combined weight of w = 210 n. The forces acting on the toy chest. The coe cient of static friction between toy chest and oor is s=0.42. The coefficient of static friction between toy chest and floor μs is 0.440.. A Toy Chest And Its Contents.
From www.walmart.com
Plastic Treasure Chest With Toys Party Favors 500 Pieces Walmart A Toy Chest And Its Contents A child attempts to move the chest across the oor Q30p a toy chest and its contents have a combined weight. The coefficient of static friction between toy chest and the floor is. Step by step explanations answered by teachers vaia original! The coe cient of static friction between toy chest and oor is s=0.42. A toy chest and its. A Toy Chest And Its Contents.
From www.chegg.com
Solved A toy chest and its contents have a combined weight A Toy Chest And Its Contents A toy chest and its contents have a combined weight of w=220n. Hrw 6.30 a toy chest and its contents have a combined weight of 180n. Step by step explanations answered by teachers vaia original! The coefficient of static friction between toy chest and the floor is. A toy chest and its contents have a combined weight of w =. A Toy Chest And Its Contents.
From amishhandcrafted.com
The Toy Chest Everything You Need to Know — Amish Handcrafted A Toy Chest And Its Contents A toy chest and its contents have a combined weight of w=220n. The coefficient of static friction between the toy chest and the floor, î¼s, is 0.4… A toy chest and its contents have a combined weight of w = 210 n. Q30p a toy chest and its contents have a combined weight. A toy chest and its contents have. A Toy Chest And Its Contents.
From amishhandcrafted.com
The Toy Chest Everything You Need to Know — Amish Handcrafted A Toy Chest And Its Contents The coefficient of static friction between the toy chest and the floor, î¼s, is 0.4… The coefficient of static friction between toy chest and the floor is. A child attempts to move the chest across the oor A toy chest and its contents have a combined weight of w=220n. A toy chest and its contents have a combined weight of. A Toy Chest And Its Contents.
From www.chegg.com
Solved 4. A toy chest and its contents have a combined A Toy Chest And Its Contents A toy chest and its contents have a combined weight of $$180$$ n. The forces acting on the toy chest. Hrw 6.30 a toy chest and its contents have a combined weight of 180n. The coefficient of static friction between the toy chest and the floor, î¼s, is 0.4… The coefficient of static friction between toy chest and floor μs. A Toy Chest And Its Contents.
From www.chegg.com
Solved A toy chest and its contents have a combined weight A Toy Chest And Its Contents The coefficient of static friction between the toy chest and the. The coefficient of static friction between toy chest and floor μs is0.450. The coefficient of static friction between toy chest and the floor is. The forces acting on the toy chest. The coefficient of static friction between toy chest and floor μs is 0.440. A child attempts to move. A Toy Chest And Its Contents.
From www.chegg.com
Solved A toy chest and its contents have a combined weight A Toy Chest And Its Contents A toy chest and its contents have a combined weight of w=220n. The coefficient of static friction between the toy chest and the. The forces acting on the toy chest. The coefficient of static friction between the toy chest and the floor, î¼s, is 0.4… The coefficient of static friction between toy chest and floor μs is0.450. Q30p a toy. A Toy Chest And Its Contents.
From www.chegg.com
Solved A toy chest and its contents have a combined weight A Toy Chest And Its Contents The coe cient of static friction between toy chest and oor is s=0.42. The coefficient of static friction between toy chest and the floor is. A toy chest and its contents have a combined weight of w = 210 n. The forces acting on the toy chest. A child attempts to move the chest across the oor The coefficient of. A Toy Chest And Its Contents.
From www.yvettestreasures.org
The Best Toy Chests For Children How To Get Organized Best Online A Toy Chest And Its Contents Step by step explanations answered by teachers vaia original! A toy chest and its contents have a combined weight of $$180$$ n. The coefficient of static friction between toy chest and the floor is. A child attempts to move the chest across the oor A toy chest and its contents have a combined weight of w=220n. The coefficient of static. A Toy Chest And Its Contents.
From thegearhunt.com
10 Best Toy Chests Reviewed & Rated in 2022 TheGearHunt A Toy Chest And Its Contents The forces acting on the toy chest. The coefficient of static friction between toy chest and the floor is. The coefficient of static friction between the toy chest and the. The coefficient of static friction between the toy chest and the floor, î¼s, is 0.4… The coefficient of static friction between toy chest and floor μs is 0.440. A toy. A Toy Chest And Its Contents.
From amishhandcrafted.com
The Toy Chest Everything You Need to Know — Amish Handcrafted A Toy Chest And Its Contents The coefficient of static friction between toy chest and floor μs is 0.440. The coefficient of static friction between the toy chest and the floor, î¼s, is 0.4… Q30p a toy chest and its contents have a combined weight. The coefficient of static friction between toy chest and the floor is. A toy chest and its contents have a combined. A Toy Chest And Its Contents.
From thegearhunt.com
10 Best Toy Chests Reviewed & Rated in 2022 TheGearHunt A Toy Chest And Its Contents The forces acting on the toy chest. Hrw 6.30 a toy chest and its contents have a combined weight of 180n. A toy chest and its contents have a combined weight of $$180$$ n. The coe cient of static friction between toy chest and oor is s=0.42. The coefficient of static friction between the toy chest and the floor, î¼s,. A Toy Chest And Its Contents.
From www.nilotoys.com
Childrens Toy Chest Wooden Toy Chest Bench for Kids NiloToys® A Toy Chest And Its Contents The forces acting on the toy chest. A toy chest and its contents have a combined weight of w=220n. The coefficient of static friction between toy chest and the floor is. The coefficient of static friction between the toy chest and the floor, î¼s, is 0.4… The coe cient of static friction between toy chest and oor is s=0.42. The. A Toy Chest And Its Contents.
From woodarchivist.com
Toy Chest Plans • WoodArchivist A Toy Chest And Its Contents The forces acting on the toy chest. The coefficient of static friction between toy chest and floor μs is0.450. The coe cient of static friction between toy chest and oor is s=0.42. A toy chest and its contents have a combined weight of w = 210 n. The coefficient of static friction between toy chest and the floor is. A. A Toy Chest And Its Contents.
From amishhandcrafted.com
Wooden Kids Toy Box Toy Chest Durable, Sturdy and Built to last A Toy Chest And Its Contents A toy chest and its contents have a combined weight of w = 190 n. The coefficient of static friction between the toy chest and the floor, î¼s, is 0.4… Q30p a toy chest and its contents have a combined weight. The coe cient of static friction between toy chest and oor is s=0.42. A toy chest and its contents. A Toy Chest And Its Contents.