Brick Course Dimensions Australia . Brickwork coursing charts are fairly simple to use. The bricks are either 76mm or 162mm high to match two standard size brick courses,. The standard brick size is 76mm high x. 40 rows there are multiple brick sizes in australia depending on the type of brick you are using. In australia, standard brick sizes are typically 230mm long, 110mm wide, and 76mm high. Enter bricks, length or height and the corresponding items on the chart will highlight. This interactive chart is useful for. Other sizes are available, but these. The midland brick coursing chart is free, and available at midland brick branches and online. Victoria also manufactures a range of concrete bricks. A brick coursing chart is a handy document used.
        
        from www.pinterest.se 
     
        
        The midland brick coursing chart is free, and available at midland brick branches and online. This interactive chart is useful for. Other sizes are available, but these. Enter bricks, length or height and the corresponding items on the chart will highlight. The standard brick size is 76mm high x. Brickwork coursing charts are fairly simple to use. In australia, standard brick sizes are typically 230mm long, 110mm wide, and 76mm high. The bricks are either 76mm or 162mm high to match two standard size brick courses,. 40 rows there are multiple brick sizes in australia depending on the type of brick you are using. A brick coursing chart is a handy document used.
    
    	
            
	
		 
         
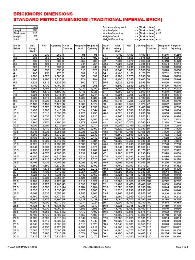
    Brickwork dimensions Brick, Brick construction, Brickwork 
    Brick Course Dimensions Australia  The midland brick coursing chart is free, and available at midland brick branches and online. The bricks are either 76mm or 162mm high to match two standard size brick courses,. 40 rows there are multiple brick sizes in australia depending on the type of brick you are using. Other sizes are available, but these. The standard brick size is 76mm high x. The midland brick coursing chart is free, and available at midland brick branches and online. Enter bricks, length or height and the corresponding items on the chart will highlight. Victoria also manufactures a range of concrete bricks. Brickwork coursing charts are fairly simple to use. A brick coursing chart is a handy document used. In australia, standard brick sizes are typically 230mm long, 110mm wide, and 76mm high. This interactive chart is useful for.
            
	
		 
         
 
    
        From reviewhomedesign.blogspot.com 
                    101 Types of Bricks (Size and Dimension Charts for Every Brick Option Brick Course Dimensions Australia  Other sizes are available, but these. In australia, standard brick sizes are typically 230mm long, 110mm wide, and 76mm high. A brick coursing chart is a handy document used. The midland brick coursing chart is free, and available at midland brick branches and online. 40 rows there are multiple brick sizes in australia depending on the type of brick you. Brick Course Dimensions Australia.
     
    
        From dailycivil.com 
                    Standard Sizes Of Bricks Standard Brick Sizes (Country Wise) Brick Course Dimensions Australia  40 rows there are multiple brick sizes in australia depending on the type of brick you are using. Other sizes are available, but these. The midland brick coursing chart is free, and available at midland brick branches and online. This interactive chart is useful for. A brick coursing chart is a handy document used. Victoria also manufactures a range of. Brick Course Dimensions Australia.
     
    
        From 757brick.com 
                    A Guide to Brick Shapes and Sizes Batchelder & Collins Brick Course Dimensions Australia  A brick coursing chart is a handy document used. Enter bricks, length or height and the corresponding items on the chart will highlight. Other sizes are available, but these. The midland brick coursing chart is free, and available at midland brick branches and online. This interactive chart is useful for. The standard brick size is 76mm high x. In australia,. Brick Course Dimensions Australia.
     
    
        From www.archtoolbox.com 
                    Brick Sizes, Shapes, Types, and Grades Archtoolbox Brick Course Dimensions Australia  Brickwork coursing charts are fairly simple to use. A brick coursing chart is a handy document used. Victoria also manufactures a range of concrete bricks. Other sizes are available, but these. This interactive chart is useful for. The bricks are either 76mm or 162mm high to match two standard size brick courses,. Enter bricks, length or height and the corresponding. Brick Course Dimensions Australia.
     
    
        From designingidea.com 
                    Brick Dimensions (Types & Sizes Guide) Designing Idea Brick Course Dimensions Australia  Enter bricks, length or height and the corresponding items on the chart will highlight. In australia, standard brick sizes are typically 230mm long, 110mm wide, and 76mm high. The standard brick size is 76mm high x. This interactive chart is useful for. Other sizes are available, but these. Victoria also manufactures a range of concrete bricks. A brick coursing chart. Brick Course Dimensions Australia.
     
    
        From alanyailanlar.com 
                    101 Types of Bricks (Size and Dimension Charts for Every Brick Option Brick Course Dimensions Australia  A brick coursing chart is a handy document used. The standard brick size is 76mm high x. Brickwork coursing charts are fairly simple to use. This interactive chart is useful for. Other sizes are available, but these. In australia, standard brick sizes are typically 230mm long, 110mm wide, and 76mm high. 40 rows there are multiple brick sizes in australia. Brick Course Dimensions Australia.
     
    
        From www.firstinarchitecture.co.uk 
                    Brick Dimension Tables Explained First In Architecture Brick Course Dimensions Australia  Brickwork coursing charts are fairly simple to use. Victoria also manufactures a range of concrete bricks. This interactive chart is useful for. Other sizes are available, but these. A brick coursing chart is a handy document used. Enter bricks, length or height and the corresponding items on the chart will highlight. The standard brick size is 76mm high x. 40. Brick Course Dimensions Australia.
     
    
        From architizer.com 
                    Technical Details An Architect’s Guide to Setting Out Brickwork Brick Course Dimensions Australia  In australia, standard brick sizes are typically 230mm long, 110mm wide, and 76mm high. The standard brick size is 76mm high x. Other sizes are available, but these. The bricks are either 76mm or 162mm high to match two standard size brick courses,. This interactive chart is useful for. A brick coursing chart is a handy document used. Brickwork coursing. Brick Course Dimensions Australia.
     
    
        From alanyailanlar.com 
                    101 Types of Bricks (Size and Dimension Charts for Every Brick Option Brick Course Dimensions Australia  This interactive chart is useful for. A brick coursing chart is a handy document used. Enter bricks, length or height and the corresponding items on the chart will highlight. Other sizes are available, but these. Brickwork coursing charts are fairly simple to use. Victoria also manufactures a range of concrete bricks. The midland brick coursing chart is free, and available. Brick Course Dimensions Australia.
     
    
        From architizer.com 
                    Technical Details An Architect’s Guide to Setting Out Brickwork Brick Course Dimensions Australia  The bricks are either 76mm or 162mm high to match two standard size brick courses,. The midland brick coursing chart is free, and available at midland brick branches and online. In australia, standard brick sizes are typically 230mm long, 110mm wide, and 76mm high. 40 rows there are multiple brick sizes in australia depending on the type of brick you. Brick Course Dimensions Australia.
     
    
        From www.scribd.com 
                    Australian Standard Brick Dimensions Quick Reference Metric and Brick Course Dimensions Australia  The midland brick coursing chart is free, and available at midland brick branches and online. 40 rows there are multiple brick sizes in australia depending on the type of brick you are using. The standard brick size is 76mm high x. This interactive chart is useful for. In australia, standard brick sizes are typically 230mm long, 110mm wide, and 76mm. Brick Course Dimensions Australia.
     
    
        From www.firstinarchitecture.co.uk 
                    Standard Brick Sizes and Dimensions First In Architecture Brick Course Dimensions Australia  Other sizes are available, but these. A brick coursing chart is a handy document used. The bricks are either 76mm or 162mm high to match two standard size brick courses,. The standard brick size is 76mm high x. Enter bricks, length or height and the corresponding items on the chart will highlight. The midland brick coursing chart is free, and. Brick Course Dimensions Australia.
     
    
        From reviewhomedesign.blogspot.com 
                    101 Types of Bricks (Size and Dimension Charts for Every Brick Option Brick Course Dimensions Australia  Other sizes are available, but these. The standard brick size is 76mm high x. A brick coursing chart is a handy document used. The midland brick coursing chart is free, and available at midland brick branches and online. 40 rows there are multiple brick sizes in australia depending on the type of brick you are using. This interactive chart is. Brick Course Dimensions Australia.
     
    
        From www.homestratosphere.com 
                    101 Types of Bricks (Size and Dimension Charts for Every Brick Option) Brick Course Dimensions Australia  This interactive chart is useful for. In australia, standard brick sizes are typically 230mm long, 110mm wide, and 76mm high. Brickwork coursing charts are fairly simple to use. Other sizes are available, but these. A brick coursing chart is a handy document used. Enter bricks, length or height and the corresponding items on the chart will highlight. The bricks are. Brick Course Dimensions Australia.
     
    
        From www.bigrentz.com 
                    Brick Dimensions Guide Common Shapes and Sizes BigRentz Brick Course Dimensions Australia  This interactive chart is useful for. The standard brick size is 76mm high x. In australia, standard brick sizes are typically 230mm long, 110mm wide, and 76mm high. 40 rows there are multiple brick sizes in australia depending on the type of brick you are using. The bricks are either 76mm or 162mm high to match two standard size brick. Brick Course Dimensions Australia.
     
    
        From es.scribd.com 
                    TIS 09 Brickwork Dimensions Tables Brick Masonry Brick Course Dimensions Australia  This interactive chart is useful for. Victoria also manufactures a range of concrete bricks. Brickwork coursing charts are fairly simple to use. The midland brick coursing chart is free, and available at midland brick branches and online. 40 rows there are multiple brick sizes in australia depending on the type of brick you are using. The bricks are either 76mm. Brick Course Dimensions Australia.
     
    
        From www.dimensions.com 
                    Brick Standard (Australia) Dimensions & Drawings Brick Course Dimensions Australia  The midland brick coursing chart is free, and available at midland brick branches and online. Enter bricks, length or height and the corresponding items on the chart will highlight. 40 rows there are multiple brick sizes in australia depending on the type of brick you are using. Victoria also manufactures a range of concrete bricks. In australia, standard brick sizes. Brick Course Dimensions Australia.
     
    
        From solutionsbuilt.com.au 
                    What Are The Standard Brick Dimensions In Australia? Solutions Built Brick Course Dimensions Australia  The midland brick coursing chart is free, and available at midland brick branches and online. This interactive chart is useful for. Enter bricks, length or height and the corresponding items on the chart will highlight. Other sizes are available, but these. Brickwork coursing charts are fairly simple to use. Victoria also manufactures a range of concrete bricks. The bricks are. Brick Course Dimensions Australia.
     
    
        From www.midlandbrick.com.au 
                    History of Brick Sizes Midland Brick Brick Course Dimensions Australia  Other sizes are available, but these. In australia, standard brick sizes are typically 230mm long, 110mm wide, and 76mm high. 40 rows there are multiple brick sizes in australia depending on the type of brick you are using. The standard brick size is 76mm high x. This interactive chart is useful for. Victoria also manufactures a range of concrete bricks.. Brick Course Dimensions Australia.
     
    
        From alanyailanlar.com 
                    101 Types of Bricks (Size and Dimension Charts for Every Brick Option Brick Course Dimensions Australia  Other sizes are available, but these. Victoria also manufactures a range of concrete bricks. The midland brick coursing chart is free, and available at midland brick branches and online. The standard brick size is 76mm high x. 40 rows there are multiple brick sizes in australia depending on the type of brick you are using. Brickwork coursing charts are fairly. Brick Course Dimensions Australia.
     
    
        From architizer.com 
                    Technical Details An Architect’s Guide to Setting Out Brickwork Brick Course Dimensions Australia  Victoria also manufactures a range of concrete bricks. 40 rows there are multiple brick sizes in australia depending on the type of brick you are using. A brick coursing chart is a handy document used. In australia, standard brick sizes are typically 230mm long, 110mm wide, and 76mm high. This interactive chart is useful for. The midland brick coursing chart. Brick Course Dimensions Australia.
     
    
        From www.scribd.com 
                    midland brick coursing chart Brick Course Dimensions Australia  40 rows there are multiple brick sizes in australia depending on the type of brick you are using. Other sizes are available, but these. A brick coursing chart is a handy document used. The midland brick coursing chart is free, and available at midland brick branches and online. Enter bricks, length or height and the corresponding items on the chart. Brick Course Dimensions Australia.
     
    
        From www.midlandbrick.com.au 
                    Maxibrick Midland Brick Brick Course Dimensions Australia  Victoria also manufactures a range of concrete bricks. The standard brick size is 76mm high x. 40 rows there are multiple brick sizes in australia depending on the type of brick you are using. The midland brick coursing chart is free, and available at midland brick branches and online. A brick coursing chart is a handy document used. Other sizes. Brick Course Dimensions Australia.
     
    
        From www.sydneybrickmatching.com.au 
                    What is the standard brick size in Australia? Photos and tolerances. Brick Course Dimensions Australia  Other sizes are available, but these. The bricks are either 76mm or 162mm high to match two standard size brick courses,. Enter bricks, length or height and the corresponding items on the chart will highlight. The standard brick size is 76mm high x. A brick coursing chart is a handy document used. This interactive chart is useful for. 40 rows. Brick Course Dimensions Australia.
     
    
        From architizer.com 
                    Technical Details An Architect’s Guide to Setting Out Brickwork Brick Course Dimensions Australia  Enter bricks, length or height and the corresponding items on the chart will highlight. 40 rows there are multiple brick sizes in australia depending on the type of brick you are using. Victoria also manufactures a range of concrete bricks. The midland brick coursing chart is free, and available at midland brick branches and online. A brick coursing chart is. Brick Course Dimensions Australia.
     
    
        From reviewhomedesign.blogspot.com 
                    101 Types of Bricks (Size and Dimension Charts for Every Brick Option Brick Course Dimensions Australia  This interactive chart is useful for. Other sizes are available, but these. Brickwork coursing charts are fairly simple to use. Enter bricks, length or height and the corresponding items on the chart will highlight. Victoria also manufactures a range of concrete bricks. The standard brick size is 76mm high x. The midland brick coursing chart is free, and available at. Brick Course Dimensions Australia.
     
    
        From www.pghbricks.com.au 
                    Brick Coursing Chart Brick Chart PGH Bricks Brick Course Dimensions Australia  In australia, standard brick sizes are typically 230mm long, 110mm wide, and 76mm high. The bricks are either 76mm or 162mm high to match two standard size brick courses,. Other sizes are available, but these. A brick coursing chart is a handy document used. Victoria also manufactures a range of concrete bricks. Enter bricks, length or height and the corresponding. Brick Course Dimensions Australia.
     
    
        From buildipedia.com 
                    Brick Masonry Buildipedia Brick Course Dimensions Australia  The midland brick coursing chart is free, and available at midland brick branches and online. 40 rows there are multiple brick sizes in australia depending on the type of brick you are using. A brick coursing chart is a handy document used. The standard brick size is 76mm high x. Enter bricks, length or height and the corresponding items on. Brick Course Dimensions Australia.
     
    
        From buildsearch.tumblr.com 
                    Standard Brick Size and Dimensions BuildSearch Perth Building Broker Brick Course Dimensions Australia  This interactive chart is useful for. The standard brick size is 76mm high x. A brick coursing chart is a handy document used. Victoria also manufactures a range of concrete bricks. The midland brick coursing chart is free, and available at midland brick branches and online. Other sizes are available, but these. In australia, standard brick sizes are typically 230mm. Brick Course Dimensions Australia.
     
    
        From homeporio.blogspot.com 
                    101 Types of Bricks (Size and Dimension Charts for Every Brick Option Brick Course Dimensions Australia  A brick coursing chart is a handy document used. Other sizes are available, but these. This interactive chart is useful for. The midland brick coursing chart is free, and available at midland brick branches and online. Brickwork coursing charts are fairly simple to use. Victoria also manufactures a range of concrete bricks. Enter bricks, length or height and the corresponding. Brick Course Dimensions Australia.
     
    
        From www.firstinarchitecture.co.uk 
                    Standard Brick Sizes and Dimensions First In Architecture Brick Course Dimensions Australia  The midland brick coursing chart is free, and available at midland brick branches and online. In australia, standard brick sizes are typically 230mm long, 110mm wide, and 76mm high. Enter bricks, length or height and the corresponding items on the chart will highlight. 40 rows there are multiple brick sizes in australia depending on the type of brick you are. Brick Course Dimensions Australia.
     
    
        From www.firstinarchitecture.co.uk 
                    Standard Brick Sizes and Dimensions First In Architecture Brick Course Dimensions Australia  The bricks are either 76mm or 162mm high to match two standard size brick courses,. Enter bricks, length or height and the corresponding items on the chart will highlight. A brick coursing chart is a handy document used. In australia, standard brick sizes are typically 230mm long, 110mm wide, and 76mm high. Other sizes are available, but these. Victoria also. Brick Course Dimensions Australia.
     
    
        From ausaca.blogspot.com.au 
                    Aussie ACA (ADT) SNAP setting for Brick setout. Brick Course Dimensions Australia  The standard brick size is 76mm high x. In australia, standard brick sizes are typically 230mm long, 110mm wide, and 76mm high. The midland brick coursing chart is free, and available at midland brick branches and online. Victoria also manufactures a range of concrete bricks. Enter bricks, length or height and the corresponding items on the chart will highlight. The. Brick Course Dimensions Australia.
     
    
        From allphotosdiary.blogspot.com 
                    Standard Brick Coursing Dimensions For quick reference in a hurry Brick Course Dimensions Australia  Victoria also manufactures a range of concrete bricks. The bricks are either 76mm or 162mm high to match two standard size brick courses,. Other sizes are available, but these. The midland brick coursing chart is free, and available at midland brick branches and online. In australia, standard brick sizes are typically 230mm long, 110mm wide, and 76mm high. Enter bricks,. Brick Course Dimensions Australia.
     
    
        From www.pinterest.se 
                    Brickwork dimensions Brick, Brick construction, Brickwork Brick Course Dimensions Australia  Brickwork coursing charts are fairly simple to use. A brick coursing chart is a handy document used. Victoria also manufactures a range of concrete bricks. The midland brick coursing chart is free, and available at midland brick branches and online. This interactive chart is useful for. Other sizes are available, but these. In australia, standard brick sizes are typically 230mm. Brick Course Dimensions Australia.