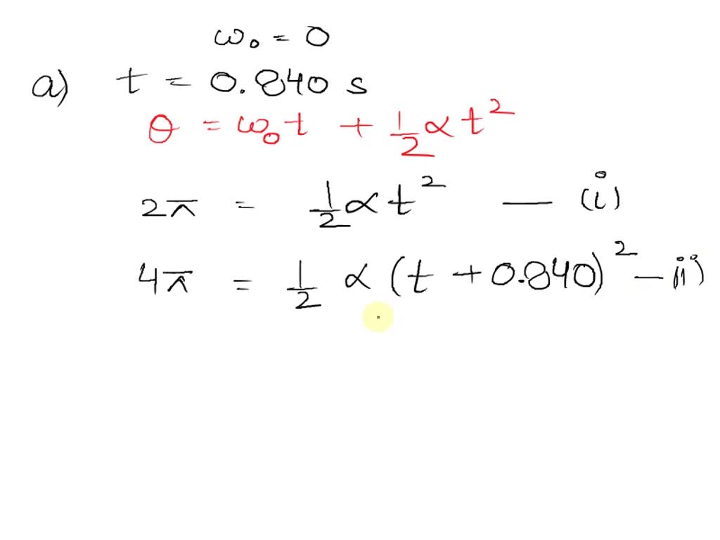
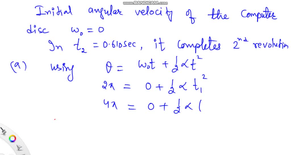
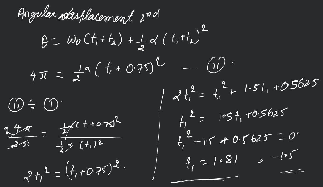
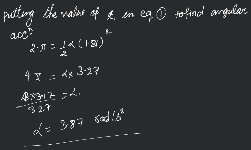
A Computer Disc Drive Is Turned On Starting From Rest . If it took 0.690s for the drive to. If it took 0.0865 s for the drive to make its $second$ complete revolution, (a) how long did it. If it took $0.750 \mathrm{~s}$ for the drive to. A computer disk drive is turned on starting from rest and has constant angular acceleration. If it took \(0.0865 \mathrm{~s}\) for the drive to. A computer disk drive is turned on starting from rest and has constant angular acceleration. The computer disk drive is turned on starting from rest and has constant angular acceleration. If it took 0.790 s for the drive to make its second. A computer disk drive is turned on starting from rest and has constant angular acceleration. A)if it took 0.480 s for the drive to. Q66p (page 1) a computer disk drive is turned on starting from rest. A computer disk drive is turned on starting from rest and has constant angular acceleration. A computer disk drive is turned on starting from rest and has constant angular acceleration. And has constant angular acceleration.
from www.chegg.com
If it took 0.790 s for the drive to make its second. And has constant angular acceleration. A computer disk drive is turned on starting from rest and has constant angular acceleration. Q66p (page 1) a computer disk drive is turned on starting from rest. A computer disk drive is turned on starting from rest and has constant angular acceleration. If it took $0.750 \mathrm{~s}$ for the drive to. If it took 0.0865 s for the drive to make its $second$ complete revolution, (a) how long did it. A)if it took 0.480 s for the drive to. If it took \(0.0865 \mathrm{~s}\) for the drive to. If it took 0.690s for the drive to.
Solved Problem 9.68 A computer disk drive is turned on
A Computer Disc Drive Is Turned On Starting From Rest If it took 0.790 s for the drive to make its second. Q66p (page 1) a computer disk drive is turned on starting from rest. A computer disk drive is turned on starting from rest and has constant angular acceleration. A)if it took 0.480 s for the drive to. The computer disk drive is turned on starting from rest and has constant angular acceleration. A computer disk drive is turned on starting from rest and has constant angular acceleration. And has constant angular acceleration. A computer disk drive is turned on starting from rest and has constant angular acceleration. If it took $0.750 \mathrm{~s}$ for the drive to. A computer disk drive is turned on starting from rest and has constant angular acceleration. If it took \(0.0865 \mathrm{~s}\) for the drive to. If it took 0.790 s for the drive to make its second. If it took 0.0865 s for the drive to make its $second$ complete revolution, (a) how long did it. If it took 0.690s for the drive to. A computer disk drive is turned on starting from rest and has constant angular acceleration.
From www.numerade.com
SOLVED a computer disk drive is turned on starting from the rest and A Computer Disc Drive Is Turned On Starting From Rest If it took 0.790 s for the drive to make its second. A computer disk drive is turned on starting from rest and has constant angular acceleration. If it took \(0.0865 \mathrm{~s}\) for the drive to. A computer disk drive is turned on starting from rest and has constant angular acceleration. The computer disk drive is turned on starting from. A Computer Disc Drive Is Turned On Starting From Rest.
From www.numerade.com
SOLVED A computer disk drive is turned on starting from rest and has A Computer Disc Drive Is Turned On Starting From Rest The computer disk drive is turned on starting from rest and has constant angular acceleration. If it took 0.690s for the drive to. A computer disk drive is turned on starting from rest and has constant angular acceleration. And has constant angular acceleration. A computer disk drive is turned on starting from rest and has constant angular acceleration. If it. A Computer Disc Drive Is Turned On Starting From Rest.
From www.chegg.com
Solved A computer disk drive is turned on starting from rest A Computer Disc Drive Is Turned On Starting From Rest A computer disk drive is turned on starting from rest and has constant angular acceleration. If it took 0.790 s for the drive to make its second. If it took \(0.0865 \mathrm{~s}\) for the drive to. A computer disk drive is turned on starting from rest and has constant angular acceleration. A)if it took 0.480 s for the drive to.. A Computer Disc Drive Is Turned On Starting From Rest.
From www.numerade.com
SOLVED 1. A computer disk drive is turned on starting from rest and A Computer Disc Drive Is Turned On Starting From Rest A computer disk drive is turned on starting from rest and has constant angular acceleration. A computer disk drive is turned on starting from rest and has constant angular acceleration. Q66p (page 1) a computer disk drive is turned on starting from rest. A computer disk drive is turned on starting from rest and has constant angular acceleration. A computer. A Computer Disc Drive Is Turned On Starting From Rest.
From askfilo.com
A computer disk drive is turned on starting from the rest and has constan.. A Computer Disc Drive Is Turned On Starting From Rest A computer disk drive is turned on starting from rest and has constant angular acceleration. If it took \(0.0865 \mathrm{~s}\) for the drive to. A computer disk drive is turned on starting from rest and has constant angular acceleration. A)if it took 0.480 s for the drive to. A computer disk drive is turned on starting from rest and has. A Computer Disc Drive Is Turned On Starting From Rest.
From www.numerade.com
SOLVED A computer disk drive is turned on starting from rest and has A Computer Disc Drive Is Turned On Starting From Rest A computer disk drive is turned on starting from rest and has constant angular acceleration. If it took \(0.0865 \mathrm{~s}\) for the drive to. And has constant angular acceleration. The computer disk drive is turned on starting from rest and has constant angular acceleration. A computer disk drive is turned on starting from rest and has constant angular acceleration. A. A Computer Disc Drive Is Turned On Starting From Rest.
From www.toppr.com
A disk rotated about its central axis starting from rest and A Computer Disc Drive Is Turned On Starting From Rest A computer disk drive is turned on starting from rest and has constant angular acceleration. The computer disk drive is turned on starting from rest and has constant angular acceleration. If it took \(0.0865 \mathrm{~s}\) for the drive to. If it took 0.690s for the drive to. Q66p (page 1) a computer disk drive is turned on starting from rest.. A Computer Disc Drive Is Turned On Starting From Rest.
From fyornwrfu.blob.core.windows.net
A Computer Disk Drive Is Turned On Starting From Rest at Heather Oakley A Computer Disc Drive Is Turned On Starting From Rest A computer disk drive is turned on starting from rest and has constant angular acceleration. If it took 0.690s for the drive to. A computer disk drive is turned on starting from rest and has constant angular acceleration. If it took \(0.0865 \mathrm{~s}\) for the drive to. If it took $0.750 \mathrm{~s}$ for the drive to. And has constant angular. A Computer Disc Drive Is Turned On Starting From Rest.
From www.numerade.com
SOLVED A computer disk drive is turned on starting from rest and has A Computer Disc Drive Is Turned On Starting From Rest If it took 0.790 s for the drive to make its second. If it took \(0.0865 \mathrm{~s}\) for the drive to. A computer disk drive is turned on starting from rest and has constant angular acceleration. Q66p (page 1) a computer disk drive is turned on starting from rest. If it took $0.750 \mathrm{~s}$ for the drive to. If it. A Computer Disc Drive Is Turned On Starting From Rest.
From www.numerade.com
SOLVEDA computer hard disk starts from rest, then speeds up with an A Computer Disc Drive Is Turned On Starting From Rest And has constant angular acceleration. If it took \(0.0865 \mathrm{~s}\) for the drive to. If it took 0.0865 s for the drive to make its $second$ complete revolution, (a) how long did it. If it took 0.790 s for the drive to make its second. A computer disk drive is turned on starting from rest and has constant angular acceleration.. A Computer Disc Drive Is Turned On Starting From Rest.
From askfilo.com
A computer disk drive is turned on starting from the rest and has constan.. A Computer Disc Drive Is Turned On Starting From Rest A computer disk drive is turned on starting from rest and has constant angular acceleration. A computer disk drive is turned on starting from rest and has constant angular acceleration. A)if it took 0.480 s for the drive to. And has constant angular acceleration. If it took 0.690s for the drive to. A computer disk drive is turned on starting. A Computer Disc Drive Is Turned On Starting From Rest.
From www.chegg.com
Solved A computer disk drive is turned on starting from rest A Computer Disc Drive Is Turned On Starting From Rest If it took \(0.0865 \mathrm{~s}\) for the drive to. And has constant angular acceleration. Q66p (page 1) a computer disk drive is turned on starting from rest. A computer disk drive is turned on starting from rest and has constant angular acceleration. If it took 0.690s for the drive to. A computer disk drive is turned on starting from rest. A Computer Disc Drive Is Turned On Starting From Rest.
From fyornwrfu.blob.core.windows.net
A Computer Disk Drive Is Turned On Starting From Rest at Heather Oakley A Computer Disc Drive Is Turned On Starting From Rest A)if it took 0.480 s for the drive to. If it took 0.690s for the drive to. Q66p (page 1) a computer disk drive is turned on starting from rest. A computer disk drive is turned on starting from rest and has constant angular acceleration. A computer disk drive is turned on starting from rest and has constant angular acceleration.. A Computer Disc Drive Is Turned On Starting From Rest.
From www.chegg.com
Solved Problem 9.68 A computer disk drive is turned on A Computer Disc Drive Is Turned On Starting From Rest If it took 0.0865 s for the drive to make its $second$ complete revolution, (a) how long did it. A computer disk drive is turned on starting from rest and has constant angular acceleration. A computer disk drive is turned on starting from rest and has constant angular acceleration. And has constant angular acceleration. If it took 0.690s for the. A Computer Disc Drive Is Turned On Starting From Rest.
From www.chegg.com
Solved A computer disk drive is turned on starting from rest A Computer Disc Drive Is Turned On Starting From Rest The computer disk drive is turned on starting from rest and has constant angular acceleration. If it took 0.690s for the drive to. If it took \(0.0865 \mathrm{~s}\) for the drive to. A computer disk drive is turned on starting from rest and has constant angular acceleration. And has constant angular acceleration. If it took $0.750 \mathrm{~s}$ for the drive. A Computer Disc Drive Is Turned On Starting From Rest.
From www.bartleby.com
Answered A computer disk drive is turned on… bartleby A Computer Disc Drive Is Turned On Starting From Rest Q66p (page 1) a computer disk drive is turned on starting from rest. A computer disk drive is turned on starting from rest and has constant angular acceleration. If it took 0.0865 s for the drive to make its $second$ complete revolution, (a) how long did it. A)if it took 0.480 s for the drive to. If it took \(0.0865. A Computer Disc Drive Is Turned On Starting From Rest.
From www.numerade.com
SOLVED A computer disk drive is turned on, starting from rest, and has A Computer Disc Drive Is Turned On Starting From Rest If it took $0.750 \mathrm{~s}$ for the drive to. If it took \(0.0865 \mathrm{~s}\) for the drive to. If it took 0.690s for the drive to. A computer disk drive is turned on starting from rest and has constant angular acceleration. Q66p (page 1) a computer disk drive is turned on starting from rest. A computer disk drive is turned. A Computer Disc Drive Is Turned On Starting From Rest.
From guide.directindustry.com
Choosing the Right Hard Disk Drive Buying Guides DirectIndustry A Computer Disc Drive Is Turned On Starting From Rest A computer disk drive is turned on starting from rest and has constant angular acceleration. If it took $0.750 \mathrm{~s}$ for the drive to. If it took 0.690s for the drive to. A computer disk drive is turned on starting from rest and has constant angular acceleration. A computer disk drive is turned on starting from rest and has constant. A Computer Disc Drive Is Turned On Starting From Rest.
From www.numerade.com
SOLVED A computer disk drive is turned on starting from rest and has A Computer Disc Drive Is Turned On Starting From Rest A computer disk drive is turned on starting from rest and has constant angular acceleration. A computer disk drive is turned on starting from rest and has constant angular acceleration. The computer disk drive is turned on starting from rest and has constant angular acceleration. Q66p (page 1) a computer disk drive is turned on starting from rest. A computer. A Computer Disc Drive Is Turned On Starting From Rest.
From www.numerade.com
SOLVED A computer disk drive is turned on starting from rest and has A Computer Disc Drive Is Turned On Starting From Rest A computer disk drive is turned on starting from rest and has constant angular acceleration. The computer disk drive is turned on starting from rest and has constant angular acceleration. If it took 0.690s for the drive to. And has constant angular acceleration. A)if it took 0.480 s for the drive to. If it took 0.0865 s for the drive. A Computer Disc Drive Is Turned On Starting From Rest.
From www.numerade.com
A computer disk drive is turned on starting from rest and has constant A Computer Disc Drive Is Turned On Starting From Rest A computer disk drive is turned on starting from rest and has constant angular acceleration. If it took \(0.0865 \mathrm{~s}\) for the drive to. And has constant angular acceleration. A computer disk drive is turned on starting from rest and has constant angular acceleration. If it took $0.750 \mathrm{~s}$ for the drive to. A computer disk drive is turned on. A Computer Disc Drive Is Turned On Starting From Rest.
From askfilo.com
A computer disk drive is turned on starting from the rest and has constan.. A Computer Disc Drive Is Turned On Starting From Rest And has constant angular acceleration. A computer disk drive is turned on starting from rest and has constant angular acceleration. If it took 0.0865 s for the drive to make its $second$ complete revolution, (a) how long did it. A computer disk drive is turned on starting from rest and has constant angular acceleration. A computer disk drive is turned. A Computer Disc Drive Is Turned On Starting From Rest.
From www.chegg.com
Solved A computer disk drive is turned on starting from rest A Computer Disc Drive Is Turned On Starting From Rest If it took \(0.0865 \mathrm{~s}\) for the drive to. Q66p (page 1) a computer disk drive is turned on starting from rest. If it took 0.690s for the drive to. If it took 0.790 s for the drive to make its second. A computer disk drive is turned on starting from rest and has constant angular acceleration. A)if it took. A Computer Disc Drive Is Turned On Starting From Rest.
From www.chegg.com
Solved A computer disk drive is turned on starting from rest A Computer Disc Drive Is Turned On Starting From Rest And has constant angular acceleration. If it took $0.750 \mathrm{~s}$ for the drive to. If it took 0.0865 s for the drive to make its $second$ complete revolution, (a) how long did it. Q66p (page 1) a computer disk drive is turned on starting from rest. The computer disk drive is turned on starting from rest and has constant angular. A Computer Disc Drive Is Turned On Starting From Rest.
From www.chegg.com
Solved A computer disk drive is turned on starting from rest A Computer Disc Drive Is Turned On Starting From Rest A computer disk drive is turned on starting from rest and has constant angular acceleration. A computer disk drive is turned on starting from rest and has constant angular acceleration. If it took 0.0865 s for the drive to make its $second$ complete revolution, (a) how long did it. If it took 0.790 s for the drive to make its. A Computer Disc Drive Is Turned On Starting From Rest.
From www.chegg.com
Solved A computer disk drive is turned on starting from rest A Computer Disc Drive Is Turned On Starting From Rest The computer disk drive is turned on starting from rest and has constant angular acceleration. If it took 0.690s for the drive to. A)if it took 0.480 s for the drive to. A computer disk drive is turned on starting from rest and has constant angular acceleration. And has constant angular acceleration. A computer disk drive is turned on starting. A Computer Disc Drive Is Turned On Starting From Rest.
From www.numerade.com
A computer disk drive is turned on starting from rest and has constant A Computer Disc Drive Is Turned On Starting From Rest A computer disk drive is turned on starting from rest and has constant angular acceleration. A computer disk drive is turned on starting from rest and has constant angular acceleration. Q66p (page 1) a computer disk drive is turned on starting from rest. And has constant angular acceleration. If it took 0.690s for the drive to. The computer disk drive. A Computer Disc Drive Is Turned On Starting From Rest.
From www.i-programmer.info
Hard disks A Computer Disc Drive Is Turned On Starting From Rest If it took \(0.0865 \mathrm{~s}\) for the drive to. A computer disk drive is turned on starting from rest and has constant angular acceleration. If it took $0.750 \mathrm{~s}$ for the drive to. Q66p (page 1) a computer disk drive is turned on starting from rest. A)if it took 0.480 s for the drive to. A computer disk drive is. A Computer Disc Drive Is Turned On Starting From Rest.
From www.sciencephoto.com
Compact disc in a computer CDROM disc drive Stock Image T410/0084 A Computer Disc Drive Is Turned On Starting From Rest Q66p (page 1) a computer disk drive is turned on starting from rest. The computer disk drive is turned on starting from rest and has constant angular acceleration. If it took \(0.0865 \mathrm{~s}\) for the drive to. If it took 0.790 s for the drive to make its second. If it took $0.750 \mathrm{~s}$ for the drive to. A computer. A Computer Disc Drive Is Turned On Starting From Rest.
From www.chegg.com
Solved A computer disk drive is turned on starting from rest A Computer Disc Drive Is Turned On Starting From Rest A computer disk drive is turned on starting from rest and has constant angular acceleration. If it took 0.790 s for the drive to make its second. The computer disk drive is turned on starting from rest and has constant angular acceleration. If it took 0.690s for the drive to. And has constant angular acceleration. A computer disk drive is. A Computer Disc Drive Is Turned On Starting From Rest.
From www.chegg.com
Solved 4) A Lap Top disk drive is turned on starting from A Computer Disc Drive Is Turned On Starting From Rest If it took 0.690s for the drive to. A)if it took 0.480 s for the drive to. If it took $0.750 \mathrm{~s}$ for the drive to. A computer disk drive is turned on starting from rest and has constant angular acceleration. A computer disk drive is turned on starting from rest and has constant angular acceleration. A computer disk drive. A Computer Disc Drive Is Turned On Starting From Rest.
From www.numerade.com
A computer disk drive is turned on starting from rest and has constant A Computer Disc Drive Is Turned On Starting From Rest A computer disk drive is turned on starting from rest and has constant angular acceleration. If it took 0.0865 s for the drive to make its $second$ complete revolution, (a) how long did it. And has constant angular acceleration. A computer disk drive is turned on starting from rest and has constant angular acceleration. A computer disk drive is turned. A Computer Disc Drive Is Turned On Starting From Rest.
From www.numerade.com
SOLVEDA computer disk drive is turned on starting from rest and has A Computer Disc Drive Is Turned On Starting From Rest A computer disk drive is turned on starting from rest and has constant angular acceleration. A)if it took 0.480 s for the drive to. If it took 0.690s for the drive to. A computer disk drive is turned on starting from rest and has constant angular acceleration. A computer disk drive is turned on starting from rest and has constant. A Computer Disc Drive Is Turned On Starting From Rest.
From www.chegg.com
Solved A computer disk drive is turned on starting from rest A Computer Disc Drive Is Turned On Starting From Rest A computer disk drive is turned on starting from rest and has constant angular acceleration. A computer disk drive is turned on starting from rest and has constant angular acceleration. If it took $0.750 \mathrm{~s}$ for the drive to. And has constant angular acceleration. A computer disk drive is turned on starting from rest and has constant angular acceleration. If. A Computer Disc Drive Is Turned On Starting From Rest.
From www.chegg.com
Solved A computer disk drive is turned on starting from rest A Computer Disc Drive Is Turned On Starting From Rest If it took 0.790 s for the drive to make its second. A computer disk drive is turned on starting from rest and has constant angular acceleration. If it took \(0.0865 \mathrm{~s}\) for the drive to. If it took 0.0865 s for the drive to make its $second$ complete revolution, (a) how long did it. Q66p (page 1) a computer. A Computer Disc Drive Is Turned On Starting From Rest.