Real Estate Tax Amsterdam . In the netherlands, immovable real estate property is taxed with the property tax, a type of tax that has to be paid on a yearly basis; Property valuation (woz value) your property value (also known as the ‘woz value’) is used to calculate how much tax you owe. Transfer tax (overdrachtsbelasting) 2% of the. Here is a quick overview of the taxes, costs and fees involved when buying a house in the netherlands: Real estate that is located in the netherlands is, on the basis of most tax treaties, taxed in the netherlands. The woz value for your. Rental income earned by companies is subject to corporate income tax as business income. Rental income is taxed as business income. What are the main property taxes in the netherlands? Certain transitional arrangements will be introduced as of 1 january 2024, which should allow funds for joint. Real estate tax (onroerendezaakbelasting) real estate taxes are based on the value of the property and are paid by. The new dutch entity tax classification rules are effective from 1 january 2025. Taxes, fees and costs for future homeowners. Business income up to eur.
from www.christiesrealestate.com
Real estate tax (onroerendezaakbelasting) real estate taxes are based on the value of the property and are paid by. The woz value for your. Real estate that is located in the netherlands is, on the basis of most tax treaties, taxed in the netherlands. Transfer tax (overdrachtsbelasting) 2% of the. Certain transitional arrangements will be introduced as of 1 january 2024, which should allow funds for joint. The new dutch entity tax classification rules are effective from 1 january 2025. What are the main property taxes in the netherlands? Here is a quick overview of the taxes, costs and fees involved when buying a house in the netherlands: Property valuation (woz value) your property value (also known as the ‘woz value’) is used to calculate how much tax you owe. In the netherlands, immovable real estate property is taxed with the property tax, a type of tax that has to be paid on a yearly basis;
Amsterdam Real Estate and Apartments for Sale Christie's
Real Estate Tax Amsterdam What are the main property taxes in the netherlands? What are the main property taxes in the netherlands? Rental income is taxed as business income. The woz value for your. Transfer tax (overdrachtsbelasting) 2% of the. Certain transitional arrangements will be introduced as of 1 january 2024, which should allow funds for joint. Real estate that is located in the netherlands is, on the basis of most tax treaties, taxed in the netherlands. The new dutch entity tax classification rules are effective from 1 january 2025. Rental income earned by companies is subject to corporate income tax as business income. Property valuation (woz value) your property value (also known as the ‘woz value’) is used to calculate how much tax you owe. Business income up to eur. Real estate tax (onroerendezaakbelasting) real estate taxes are based on the value of the property and are paid by. Taxes, fees and costs for future homeowners. In the netherlands, immovable real estate property is taxed with the property tax, a type of tax that has to be paid on a yearly basis; Here is a quick overview of the taxes, costs and fees involved when buying a house in the netherlands:
From topforeignstocks.com
Real Property Taxes in Europe Chart Real Estate Tax Amsterdam The woz value for your. Taxes, fees and costs for future homeowners. Certain transitional arrangements will be introduced as of 1 january 2024, which should allow funds for joint. Here is a quick overview of the taxes, costs and fees involved when buying a house in the netherlands: Rental income is taxed as business income. Real estate tax (onroerendezaakbelasting) real. Real Estate Tax Amsterdam.
From www.christiesrealestate.com
Amsterdam Real Estate and Apartments for Sale Christie's Real Estate Tax Amsterdam Rental income earned by companies is subject to corporate income tax as business income. Taxes, fees and costs for future homeowners. What are the main property taxes in the netherlands? Real estate tax (onroerendezaakbelasting) real estate taxes are based on the value of the property and are paid by. Business income up to eur. Certain transitional arrangements will be introduced. Real Estate Tax Amsterdam.
From www.facebook.com
City of Amsterdam Tax Foreclosed Real Estate Auction Delanson NY Real Estate Tax Amsterdam In the netherlands, immovable real estate property is taxed with the property tax, a type of tax that has to be paid on a yearly basis; Business income up to eur. What are the main property taxes in the netherlands? The new dutch entity tax classification rules are effective from 1 january 2025. Taxes, fees and costs for future homeowners.. Real Estate Tax Amsterdam.
From www.estateamsterdam.nl
Amsterdam Real Estate at Amsterdam Real Estate Real Estate Tax Amsterdam Real estate that is located in the netherlands is, on the basis of most tax treaties, taxed in the netherlands. Taxes, fees and costs for future homeowners. Here is a quick overview of the taxes, costs and fees involved when buying a house in the netherlands: The new dutch entity tax classification rules are effective from 1 january 2025. In. Real Estate Tax Amsterdam.
From www.facebook.com
City of Amsterdam Tax Foreclosure Real Estate Auction Real Estate Tax Amsterdam The new dutch entity tax classification rules are effective from 1 january 2025. Certain transitional arrangements will be introduced as of 1 january 2024, which should allow funds for joint. The woz value for your. What are the main property taxes in the netherlands? Real estate tax (onroerendezaakbelasting) real estate taxes are based on the value of the property and. Real Estate Tax Amsterdam.
From www.formsbank.com
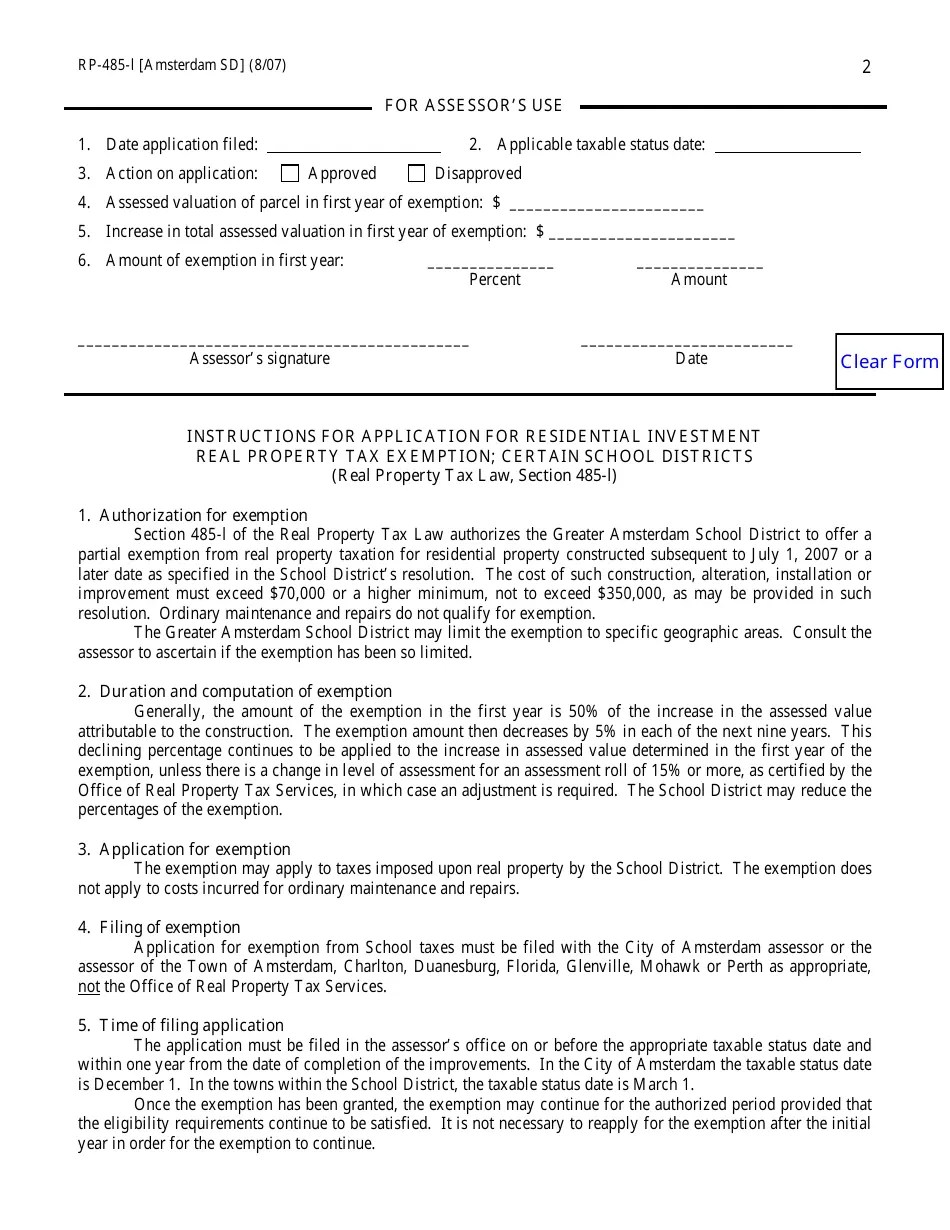
Form Rp485L Application For Residential Investment Real Property Real Estate Tax Amsterdam Property valuation (woz value) your property value (also known as the ‘woz value’) is used to calculate how much tax you owe. Rental income earned by companies is subject to corporate income tax as business income. Real estate that is located in the netherlands is, on the basis of most tax treaties, taxed in the netherlands. The new dutch entity. Real Estate Tax Amsterdam.
From www.templateroller.com
Form RP485I [AMSTERDAM SD] Fill Out, Sign Online and Download Real Estate Tax Amsterdam Business income up to eur. What are the main property taxes in the netherlands? Real estate tax (onroerendezaakbelasting) real estate taxes are based on the value of the property and are paid by. The woz value for your. Taxes, fees and costs for future homeowners. Property valuation (woz value) your property value (also known as the ‘woz value’) is used. Real Estate Tax Amsterdam.
From www.estateamsterdam.nl
Amsterdam Real Estate at Amsterdam Real Estate Real Estate Tax Amsterdam In the netherlands, immovable real estate property is taxed with the property tax, a type of tax that has to be paid on a yearly basis; The woz value for your. What are the main property taxes in the netherlands? The new dutch entity tax classification rules are effective from 1 january 2025. Taxes, fees and costs for future homeowners.. Real Estate Tax Amsterdam.
From www.springrealestate.com
Spring Real Estate adviseert bij de verkoop van de Roemer Real Estate Tax Amsterdam Real estate that is located in the netherlands is, on the basis of most tax treaties, taxed in the netherlands. The woz value for your. Rental income is taxed as business income. What are the main property taxes in the netherlands? Here is a quick overview of the taxes, costs and fees involved when buying a house in the netherlands:. Real Estate Tax Amsterdam.
From www.makelaaramsterdam.nl
House prices and the Amsterdam housing market View charts Real Estate Tax Amsterdam Real estate that is located in the netherlands is, on the basis of most tax treaties, taxed in the netherlands. Here is a quick overview of the taxes, costs and fees involved when buying a house in the netherlands: Rental income earned by companies is subject to corporate income tax as business income. Certain transitional arrangements will be introduced as. Real Estate Tax Amsterdam.
From www.trepp.com
Breaking Down Multifamily Property Operating Expenses Across the US Real Estate Tax Amsterdam Transfer tax (overdrachtsbelasting) 2% of the. Business income up to eur. Taxes, fees and costs for future homeowners. Real estate tax (onroerendezaakbelasting) real estate taxes are based on the value of the property and are paid by. In the netherlands, immovable real estate property is taxed with the property tax, a type of tax that has to be paid on. Real Estate Tax Amsterdam.
From www.dutchrealestatecompany.com
Dutch Real Estate Company Amsterdam Real Estate Tax Amsterdam Here is a quick overview of the taxes, costs and fees involved when buying a house in the netherlands: Real estate that is located in the netherlands is, on the basis of most tax treaties, taxed in the netherlands. Taxes, fees and costs for future homeowners. The woz value for your. Rental income is taxed as business income. In the. Real Estate Tax Amsterdam.
From www.dutchrealestatecompany.com
Dutch Real Estate Company Amsterdam Real Estate Tax Amsterdam Real estate that is located in the netherlands is, on the basis of most tax treaties, taxed in the netherlands. Taxes, fees and costs for future homeowners. Here is a quick overview of the taxes, costs and fees involved when buying a house in the netherlands: The new dutch entity tax classification rules are effective from 1 january 2025. Real. Real Estate Tax Amsterdam.
From fransenkroes.nl
Real estate agent Amsterdam Fransen & Kroes Real Estate Tax Amsterdam Rental income is taxed as business income. In the netherlands, immovable real estate property is taxed with the property tax, a type of tax that has to be paid on a yearly basis; Real estate that is located in the netherlands is, on the basis of most tax treaties, taxed in the netherlands. Here is a quick overview of the. Real Estate Tax Amsterdam.
From www.bria.com.ph
Taxes in Real Estate Here's what you should know Bria Homes Real Estate Tax Amsterdam Property valuation (woz value) your property value (also known as the ‘woz value’) is used to calculate how much tax you owe. Certain transitional arrangements will be introduced as of 1 january 2024, which should allow funds for joint. In the netherlands, immovable real estate property is taxed with the property tax, a type of tax that has to be. Real Estate Tax Amsterdam.
From thegoldobserver.substack.com
Amsterdam Real Housing Prices Highest in 400 Years. An Analysis of a Real Estate Tax Amsterdam Real estate tax (onroerendezaakbelasting) real estate taxes are based on the value of the property and are paid by. Certain transitional arrangements will be introduced as of 1 january 2024, which should allow funds for joint. Real estate that is located in the netherlands is, on the basis of most tax treaties, taxed in the netherlands. In the netherlands, immovable. Real Estate Tax Amsterdam.
From www.mansionglobal.com
Competition up in Amsterdam as Domestic and International Buyers Flood Real Estate Tax Amsterdam Real estate tax (onroerendezaakbelasting) real estate taxes are based on the value of the property and are paid by. Real estate that is located in the netherlands is, on the basis of most tax treaties, taxed in the netherlands. The woz value for your. In the netherlands, immovable real estate property is taxed with the property tax, a type of. Real Estate Tax Amsterdam.
From www.facebook.com
City of Amsterdam Tax Foreclosed Real Estate Auction Delanson NY Real Estate Tax Amsterdam The new dutch entity tax classification rules are effective from 1 january 2025. What are the main property taxes in the netherlands? Real estate tax (onroerendezaakbelasting) real estate taxes are based on the value of the property and are paid by. Taxes, fees and costs for future homeowners. Rental income is taxed as business income. Transfer tax (overdrachtsbelasting) 2% of. Real Estate Tax Amsterdam.
From andersonadvisors.com
How To Maximize Your Real Estate Tax Benefits Real Estate Tax Amsterdam Rental income is taxed as business income. Here is a quick overview of the taxes, costs and fees involved when buying a house in the netherlands: Certain transitional arrangements will be introduced as of 1 january 2024, which should allow funds for joint. Taxes, fees and costs for future homeowners. Transfer tax (overdrachtsbelasting) 2% of the. What are the main. Real Estate Tax Amsterdam.
From www.citylab.com
(City of Amsterdam) Real Estate Tax Amsterdam Real estate that is located in the netherlands is, on the basis of most tax treaties, taxed in the netherlands. Rental income earned by companies is subject to corporate income tax as business income. What are the main property taxes in the netherlands? Certain transitional arrangements will be introduced as of 1 january 2024, which should allow funds for joint.. Real Estate Tax Amsterdam.
From twomixers.com
Why You NEED a Real Estate Agent in Amsterdam TwoMixers Real Estate Tax Amsterdam Here is a quick overview of the taxes, costs and fees involved when buying a house in the netherlands: The woz value for your. Real estate tax (onroerendezaakbelasting) real estate taxes are based on the value of the property and are paid by. What are the main property taxes in the netherlands? Rental income is taxed as business income. Certain. Real Estate Tax Amsterdam.
From www.formsbank.com
Fillable Form Rp485J [amsterdam] Application For Residential Real Estate Tax Amsterdam Rental income earned by companies is subject to corporate income tax as business income. Property valuation (woz value) your property value (also known as the ‘woz value’) is used to calculate how much tax you owe. Here is a quick overview of the taxes, costs and fees involved when buying a house in the netherlands: Business income up to eur.. Real Estate Tax Amsterdam.
From www.knightfrank.com
Buying real estate in Amsterdam and The Netherlands Knight Frank Real Estate Tax Amsterdam Here is a quick overview of the taxes, costs and fees involved when buying a house in the netherlands: Real estate tax (onroerendezaakbelasting) real estate taxes are based on the value of the property and are paid by. Rental income earned by companies is subject to corporate income tax as business income. In the netherlands, immovable real estate property is. Real Estate Tax Amsterdam.
From www.templateroller.com
Form RP485I [AMSTERDAM SD] Fill Out, Sign Online and Download Real Estate Tax Amsterdam Rental income earned by companies is subject to corporate income tax as business income. The new dutch entity tax classification rules are effective from 1 january 2025. Taxes, fees and costs for future homeowners. Property valuation (woz value) your property value (also known as the ‘woz value’) is used to calculate how much tax you owe. Real estate that is. Real Estate Tax Amsterdam.
From www.expatbrokervoormamillenaar.nl
Real Estate for sale in Amsterdam Real Estate Tax Amsterdam The new dutch entity tax classification rules are effective from 1 january 2025. Certain transitional arrangements will be introduced as of 1 january 2024, which should allow funds for joint. The woz value for your. Property valuation (woz value) your property value (also known as the ‘woz value’) is used to calculate how much tax you owe. Taxes, fees and. Real Estate Tax Amsterdam.
From beingexpat.com
Taxes on Real Estate in Netherlands for Expats Being Expat Real Estate Tax Amsterdam Rental income is taxed as business income. The woz value for your. Certain transitional arrangements will be introduced as of 1 january 2024, which should allow funds for joint. Property valuation (woz value) your property value (also known as the ‘woz value’) is used to calculate how much tax you owe. What are the main property taxes in the netherlands?. Real Estate Tax Amsterdam.
From www.iamexpat.nl
Amsterdam to get 5.000 new homes Real Estate Tax Amsterdam Rental income is taxed as business income. What are the main property taxes in the netherlands? Taxes, fees and costs for future homeowners. Certain transitional arrangements will be introduced as of 1 january 2024, which should allow funds for joint. Rental income earned by companies is subject to corporate income tax as business income. The new dutch entity tax classification. Real Estate Tax Amsterdam.
From gioamkcfv.blob.core.windows.net
Are Property Taxes Paid In The Rears at Maria Gilchrist blog Real Estate Tax Amsterdam The woz value for your. In the netherlands, immovable real estate property is taxed with the property tax, a type of tax that has to be paid on a yearly basis; Rental income earned by companies is subject to corporate income tax as business income. Certain transitional arrangements will be introduced as of 1 january 2024, which should allow funds. Real Estate Tax Amsterdam.
From exordaacb.blob.core.windows.net
Kendall County Real Estate Tax Bill at James Neufeld blog Real Estate Tax Amsterdam Rental income earned by companies is subject to corporate income tax as business income. Here is a quick overview of the taxes, costs and fees involved when buying a house in the netherlands: In the netherlands, immovable real estate property is taxed with the property tax, a type of tax that has to be paid on a yearly basis; Transfer. Real Estate Tax Amsterdam.
From www.christiesrealestate.com
Amsterdam Real Estate and Apartments for Sale Christie's Real Estate Tax Amsterdam Rental income is taxed as business income. What are the main property taxes in the netherlands? Here is a quick overview of the taxes, costs and fees involved when buying a house in the netherlands: Rental income earned by companies is subject to corporate income tax as business income. Certain transitional arrangements will be introduced as of 1 january 2024,. Real Estate Tax Amsterdam.
From www.alamy.com
Amsterdam real estate Stock Photo Alamy Real Estate Tax Amsterdam Business income up to eur. Here is a quick overview of the taxes, costs and fees involved when buying a house in the netherlands: Property valuation (woz value) your property value (also known as the ‘woz value’) is used to calculate how much tax you owe. In the netherlands, immovable real estate property is taxed with the property tax, a. Real Estate Tax Amsterdam.
From www.dutchrealestatecompany.com
Dutch Real Estate Company Amsterdam Real Estate Tax Amsterdam Property valuation (woz value) your property value (also known as the ‘woz value’) is used to calculate how much tax you owe. Transfer tax (overdrachtsbelasting) 2% of the. Rental income is taxed as business income. The woz value for your. Certain transitional arrangements will be introduced as of 1 january 2024, which should allow funds for joint. Business income up. Real Estate Tax Amsterdam.
From www.wsj.com
Amsterdam's Luxury Real Estate on the Rise Real Estate Tax Amsterdam The new dutch entity tax classification rules are effective from 1 january 2025. Rental income is taxed as business income. The woz value for your. Real estate tax (onroerendezaakbelasting) real estate taxes are based on the value of the property and are paid by. What are the main property taxes in the netherlands? Property valuation (woz value) your property value. Real Estate Tax Amsterdam.
From www.christiesrealestate.com
Amsterdam Real Estate and Homes for Sale Christie's International Real Estate Tax Amsterdam Real estate that is located in the netherlands is, on the basis of most tax treaties, taxed in the netherlands. Real estate tax (onroerendezaakbelasting) real estate taxes are based on the value of the property and are paid by. Property valuation (woz value) your property value (also known as the ‘woz value’) is used to calculate how much tax you. Real Estate Tax Amsterdam.
From www.scribd.com
Real Property Tax PDF Property Tax Taxes Real Estate Tax Amsterdam Real estate that is located in the netherlands is, on the basis of most tax treaties, taxed in the netherlands. Certain transitional arrangements will be introduced as of 1 january 2024, which should allow funds for joint. The new dutch entity tax classification rules are effective from 1 january 2025. Property valuation (woz value) your property value (also known as. Real Estate Tax Amsterdam.