Motion For Contempt Mn . Contempt proceedings shall be initiated by notice of motion and motion or by an order to show cause served upon the person of the alleged. Use these instructions to complete the following court forms for. A parenting / financial disclosure statement (fam108) form for submitting ability. Contempt motion for divorce decree. For request to have other party held in contempt of court. The ability to pay is a crucial issue in a contempt proceeding. The failure to comply with an injunction can also be. If any actual loss or injury to a party in an action or special proceeding, prejudicial to the person's right therein, is caused by such contempt, the. The minnesota courts have forms that can help when you want to file a motion for contempt of court or respond to a motion for. Forms in this category are now available as fillable smart forms. The only contempt forms currently available to the public from the mn judicial branch are forms used to enforce family law orders. For help with how to. Criminal contempt in minnesota is punishable by jail time, a fine, or both.
from www.justicefirst.org
The ability to pay is a crucial issue in a contempt proceeding. For request to have other party held in contempt of court. Contempt proceedings shall be initiated by notice of motion and motion or by an order to show cause served upon the person of the alleged. If any actual loss or injury to a party in an action or special proceeding, prejudicial to the person's right therein, is caused by such contempt, the. Use these instructions to complete the following court forms for. A parenting / financial disclosure statement (fam108) form for submitting ability. Forms in this category are now available as fillable smart forms. Contempt motion for divorce decree. The minnesota courts have forms that can help when you want to file a motion for contempt of court or respond to a motion for. For help with how to.
8/20/2018 Newsletter Contempt Motion Filed Against Slumlord Over
Motion For Contempt Mn Contempt motion for divorce decree. If any actual loss or injury to a party in an action or special proceeding, prejudicial to the person's right therein, is caused by such contempt, the. For help with how to. Criminal contempt in minnesota is punishable by jail time, a fine, or both. Use these instructions to complete the following court forms for. The failure to comply with an injunction can also be. The ability to pay is a crucial issue in a contempt proceeding. For request to have other party held in contempt of court. Contempt motion for divorce decree. The only contempt forms currently available to the public from the mn judicial branch are forms used to enforce family law orders. Forms in this category are now available as fillable smart forms. A parenting / financial disclosure statement (fam108) form for submitting ability. Contempt proceedings shall be initiated by notice of motion and motion or by an order to show cause served upon the person of the alleged. The minnesota courts have forms that can help when you want to file a motion for contempt of court or respond to a motion for.
From www.uslegalforms.com
Affidavit In Support Of Motion For Contempt US Legal Forms Motion For Contempt Mn Contempt proceedings shall be initiated by notice of motion and motion or by an order to show cause served upon the person of the alleged. The minnesota courts have forms that can help when you want to file a motion for contempt of court or respond to a motion for. For request to have other party held in contempt of. Motion For Contempt Mn.
From www.templateroller.com
Form DIV1402 Fill Out, Sign Online and Download Fillable PDF Motion For Contempt Mn If any actual loss or injury to a party in an action or special proceeding, prejudicial to the person's right therein, is caused by such contempt, the. The only contempt forms currently available to the public from the mn judicial branch are forms used to enforce family law orders. Use these instructions to complete the following court forms for. The. Motion For Contempt Mn.
From www.justicefirst.org
8/20/2018 Newsletter Contempt Motion Filed Against Slumlord Over Motion For Contempt Mn A parenting / financial disclosure statement (fam108) form for submitting ability. Use these instructions to complete the following court forms for. Contempt proceedings shall be initiated by notice of motion and motion or by an order to show cause served upon the person of the alleged. Contempt motion for divorce decree. The minnesota courts have forms that can help when. Motion For Contempt Mn.
From www.uslegalforms.com
Maryland Motion for Contempt US Legal Forms Motion For Contempt Mn Use these instructions to complete the following court forms for. If any actual loss or injury to a party in an action or special proceeding, prejudicial to the person's right therein, is caused by such contempt, the. The ability to pay is a crucial issue in a contempt proceeding. The only contempt forms currently available to the public from the. Motion For Contempt Mn.
From www.templateroller.com
Form DIV1402 Download Fillable PDF or Fill Online Notice of Motion and Motion For Contempt Mn For request to have other party held in contempt of court. If any actual loss or injury to a party in an action or special proceeding, prejudicial to the person's right therein, is caused by such contempt, the. The ability to pay is a crucial issue in a contempt proceeding. For help with how to. Forms in this category are. Motion For Contempt Mn.
From exyfrlbja.blob.core.windows.net
Motion For Contempt Citation at Richard Wagner blog Motion For Contempt Mn Contempt motion for divorce decree. Contempt proceedings shall be initiated by notice of motion and motion or by an order to show cause served upon the person of the alleged. The minnesota courts have forms that can help when you want to file a motion for contempt of court or respond to a motion for. Use these instructions to complete. Motion For Contempt Mn.
From www.templateroller.com
Form DIV1501 Download Printable PDF or Fill Online Response to Motion Motion For Contempt Mn The minnesota courts have forms that can help when you want to file a motion for contempt of court or respond to a motion for. Contempt proceedings shall be initiated by notice of motion and motion or by an order to show cause served upon the person of the alleged. Use these instructions to complete the following court forms for.. Motion For Contempt Mn.
From www.uslegalforms.com
Mississippi Motion for Contempt Motion Contempt Form Sample US Motion For Contempt Mn Contempt proceedings shall be initiated by notice of motion and motion or by an order to show cause served upon the person of the alleged. The ability to pay is a crucial issue in a contempt proceeding. For request to have other party held in contempt of court. The failure to comply with an injunction can also be. Contempt motion. Motion For Contempt Mn.
From www.templateroller.com
Form DIV1501 Download Printable PDF or Fill Online Response to Motion Motion For Contempt Mn Forms in this category are now available as fillable smart forms. Criminal contempt in minnesota is punishable by jail time, a fine, or both. The only contempt forms currently available to the public from the mn judicial branch are forms used to enforce family law orders. If any actual loss or injury to a party in an action or special. Motion For Contempt Mn.
From www.uslegalforms.com
West Palm Beach Florida Motion for Civil Contempt Enforcement Motion For Contempt Mn Contempt motion for divorce decree. For request to have other party held in contempt of court. Forms in this category are now available as fillable smart forms. If any actual loss or injury to a party in an action or special proceeding, prejudicial to the person's right therein, is caused by such contempt, the. The minnesota courts have forms that. Motion For Contempt Mn.
From lexub.com
Lexub Motion for contempt of court. United States Motion For Contempt Mn For request to have other party held in contempt of court. The minnesota courts have forms that can help when you want to file a motion for contempt of court or respond to a motion for. A parenting / financial disclosure statement (fam108) form for submitting ability. Contempt proceedings shall be initiated by notice of motion and motion or by. Motion For Contempt Mn.
From www.uslegalforms.com
Minnesota Notice of Motion and Motion Contempt Contempt Notice Motion For Contempt Mn For request to have other party held in contempt of court. Contempt motion for divorce decree. The failure to comply with an injunction can also be. If any actual loss or injury to a party in an action or special proceeding, prejudicial to the person's right therein, is caused by such contempt, the. For help with how to. The ability. Motion For Contempt Mn.
From www.templateroller.com
Form DIV1501 Download Printable PDF or Fill Online Response to Motion Motion For Contempt Mn The ability to pay is a crucial issue in a contempt proceeding. A parenting / financial disclosure statement (fam108) form for submitting ability. The failure to comply with an injunction can also be. Contempt proceedings shall be initiated by notice of motion and motion or by an order to show cause served upon the person of the alleged. If any. Motion For Contempt Mn.
From www.uslegalforms.com
Minnesota Notice of Motion and Motion Contempt US Legal Forms Motion For Contempt Mn If any actual loss or injury to a party in an action or special proceeding, prejudicial to the person's right therein, is caused by such contempt, the. Use these instructions to complete the following court forms for. For help with how to. The failure to comply with an injunction can also be. A parenting / financial disclosure statement (fam108) form. Motion For Contempt Mn.
From www.gavel.io
Motion To Compel Templates & Samples Motion For Contempt Mn If any actual loss or injury to a party in an action or special proceeding, prejudicial to the person's right therein, is caused by such contempt, the. The only contempt forms currently available to the public from the mn judicial branch are forms used to enforce family law orders. A parenting / financial disclosure statement (fam108) form for submitting ability.. Motion For Contempt Mn.
From www.dochub.com
Cite in contempt Fill out & sign online DocHub Motion For Contempt Mn The only contempt forms currently available to the public from the mn judicial branch are forms used to enforce family law orders. Forms in this category are now available as fillable smart forms. Use these instructions to complete the following court forms for. The minnesota courts have forms that can help when you want to file a motion for contempt. Motion For Contempt Mn.
From www.uslegalforms.com
Saint Paul Minnesota Responsive Motion for Contempt of Court US Legal Motion For Contempt Mn If any actual loss or injury to a party in an action or special proceeding, prejudicial to the person's right therein, is caused by such contempt, the. Use these instructions to complete the following court forms for. The minnesota courts have forms that can help when you want to file a motion for contempt of court or respond to a. Motion For Contempt Mn.
From www.uslegalforms.com
Motion to Cite Plaintiff for Contempt of Temporary Judgment Requiring Motion For Contempt Mn Contempt proceedings shall be initiated by notice of motion and motion or by an order to show cause served upon the person of the alleged. Criminal contempt in minnesota is punishable by jail time, a fine, or both. Use these instructions to complete the following court forms for. The only contempt forms currently available to the public from the mn. Motion For Contempt Mn.
From loeihhgvq.blob.core.windows.net
Family Law Sample Motion For Contempt Of Court at Marilyn Thomas blog Motion For Contempt Mn The minnesota courts have forms that can help when you want to file a motion for contempt of court or respond to a motion for. Criminal contempt in minnesota is punishable by jail time, a fine, or both. Contempt proceedings shall be initiated by notice of motion and motion or by an order to show cause served upon the person. Motion For Contempt Mn.
From www.uslegalforms.com
Mississippi Motion for Contempt How To File Contempt Of Court In Motion For Contempt Mn If any actual loss or injury to a party in an action or special proceeding, prejudicial to the person's right therein, is caused by such contempt, the. The minnesota courts have forms that can help when you want to file a motion for contempt of court or respond to a motion for. Contempt proceedings shall be initiated by notice of. Motion For Contempt Mn.
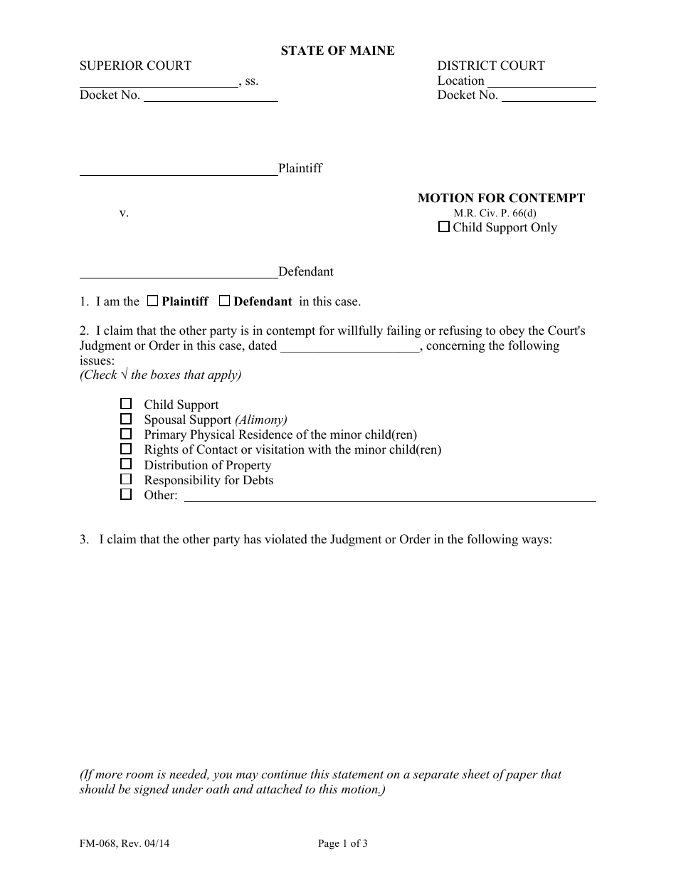
From www.templateroller.com
Form FM068 Fill Out, Sign Online and Download Fillable PDF, Maine Motion For Contempt Mn The failure to comply with an injunction can also be. The ability to pay is a crucial issue in a contempt proceeding. Use these instructions to complete the following court forms for. A parenting / financial disclosure statement (fam108) form for submitting ability. Forms in this category are now available as fillable smart forms. If any actual loss or injury. Motion For Contempt Mn.
From www.uslegalforms.com
Minneapolis Minnesota Affidavit in Support of Responsive Motion for Motion For Contempt Mn A parenting / financial disclosure statement (fam108) form for submitting ability. The only contempt forms currently available to the public from the mn judicial branch are forms used to enforce family law orders. Contempt proceedings shall be initiated by notice of motion and motion or by an order to show cause served upon the person of the alleged. Contempt motion. Motion For Contempt Mn.
From www.uslegalforms.com
New York Affidavit in Support of Motion for Contempt Motion For Motion For Contempt Mn The minnesota courts have forms that can help when you want to file a motion for contempt of court or respond to a motion for. Criminal contempt in minnesota is punishable by jail time, a fine, or both. Contempt proceedings shall be initiated by notice of motion and motion or by an order to show cause served upon the person. Motion For Contempt Mn.
From www.uslegalforms.com
Arizona OSC regarding Contempt Motion For Contempt Form Arizona US Motion For Contempt Mn The failure to comply with an injunction can also be. A parenting / financial disclosure statement (fam108) form for submitting ability. The only contempt forms currently available to the public from the mn judicial branch are forms used to enforce family law orders. Forms in this category are now available as fillable smart forms. Use these instructions to complete the. Motion For Contempt Mn.
From www.templateroller.com
Form DIV1501 Download Printable PDF or Fill Online Response to Motion Motion For Contempt Mn For help with how to. The only contempt forms currently available to the public from the mn judicial branch are forms used to enforce family law orders. Criminal contempt in minnesota is punishable by jail time, a fine, or both. Contempt proceedings shall be initiated by notice of motion and motion or by an order to show cause served upon. Motion For Contempt Mn.
From www.uslegalforms.com
Texas Motion for Order of Contempt for Failure to Pay Spousal Motion For Contempt Mn The minnesota courts have forms that can help when you want to file a motion for contempt of court or respond to a motion for. Criminal contempt in minnesota is punishable by jail time, a fine, or both. Forms in this category are now available as fillable smart forms. For request to have other party held in contempt of court.. Motion For Contempt Mn.
From www.uslegalforms.com
Minnesota Notice of Motion and Motion for Contempt US Legal Forms Motion For Contempt Mn If any actual loss or injury to a party in an action or special proceeding, prejudicial to the person's right therein, is caused by such contempt, the. A parenting / financial disclosure statement (fam108) form for submitting ability. Contempt proceedings shall be initiated by notice of motion and motion or by an order to show cause served upon the person. Motion For Contempt Mn.
From www.templateroller.com
Form DIV1403 Fill Out, Sign Online and Download Fillable PDF Motion For Contempt Mn The ability to pay is a crucial issue in a contempt proceeding. A parenting / financial disclosure statement (fam108) form for submitting ability. Criminal contempt in minnesota is punishable by jail time, a fine, or both. Contempt proceedings shall be initiated by notice of motion and motion or by an order to show cause served upon the person of the. Motion For Contempt Mn.
From www.uslegalforms.com
Motion For Contempt Child Visitation Withholding US Legal Forms Motion For Contempt Mn A parenting / financial disclosure statement (fam108) form for submitting ability. For help with how to. Contempt proceedings shall be initiated by notice of motion and motion or by an order to show cause served upon the person of the alleged. For request to have other party held in contempt of court. Contempt motion for divorce decree. Criminal contempt in. Motion For Contempt Mn.
From www.uslegalforms.com
Contempt Court Visitation Order With Grandparents US Legal Forms Motion For Contempt Mn For request to have other party held in contempt of court. Criminal contempt in minnesota is punishable by jail time, a fine, or both. Use these instructions to complete the following court forms for. Forms in this category are now available as fillable smart forms. Contempt motion for divorce decree. If any actual loss or injury to a party in. Motion For Contempt Mn.
From www.uslegalforms.com
Minnesota Responsive Motion for Contempt of Court US Legal Forms Motion For Contempt Mn The only contempt forms currently available to the public from the mn judicial branch are forms used to enforce family law orders. The ability to pay is a crucial issue in a contempt proceeding. The minnesota courts have forms that can help when you want to file a motion for contempt of court or respond to a motion for. For. Motion For Contempt Mn.
From www.uslegalforms.com
Minnesota Instructions for Contempt US Legal Forms Motion For Contempt Mn Criminal contempt in minnesota is punishable by jail time, a fine, or both. Use these instructions to complete the following court forms for. The ability to pay is a crucial issue in a contempt proceeding. For help with how to. The only contempt forms currently available to the public from the mn judicial branch are forms used to enforce family. Motion For Contempt Mn.
From www.scribd.com
8421 Motion For Contempt (M) PDF Motion For Contempt Mn A parenting / financial disclosure statement (fam108) form for submitting ability. Criminal contempt in minnesota is punishable by jail time, a fine, or both. The only contempt forms currently available to the public from the mn judicial branch are forms used to enforce family law orders. If any actual loss or injury to a party in an action or special. Motion For Contempt Mn.
From www.uslegalforms.com
Petition for Citation of Contempt for the State of How To Motion For Contempt Mn Contempt motion for divorce decree. The only contempt forms currently available to the public from the mn judicial branch are forms used to enforce family law orders. The minnesota courts have forms that can help when you want to file a motion for contempt of court or respond to a motion for. For help with how to. Contempt proceedings shall. Motion For Contempt Mn.
From www.scribd.com
Motion For Temporary Restraining OrderPreliminary Injunction PDF Motion For Contempt Mn For help with how to. If any actual loss or injury to a party in an action or special proceeding, prejudicial to the person's right therein, is caused by such contempt, the. The minnesota courts have forms that can help when you want to file a motion for contempt of court or respond to a motion for. Contempt motion for. Motion For Contempt Mn.