Will Water Float On Top Of Gasoline . Many have wondered whether water can float on top of gasoline or if the two substances are completely incompatible. When the fuel pump is pumping, the fuel and water are mixed. Water in fuel will cause jolting and sputtering among other issues. Can water float on top of gasoline? No, water does not float on gas. The lighter gasoline will float on top. In fact, when water and gas mix, they don’t really get along. Have you ever stopped to think about whether water can float on gas? As soon as you add water to a tank of gasoline, all of the water will settle to the bottom of the tank. Fuel floats on top of the water and the water will stay at the bottom of the fuel tank when the vehicle has been standing for some time. If the vehicle has been standing for a while, the water will be in the bottom of the tank. Water is denser than gasoline, which means it’s heavier and will sink to the. Gas and water don’t mix, and your car can’t run on water. What happens if water gets in your gas tank? Danielle finds out why petrol creates a rainbow effect when in contact with water, and how the behaviour of light can create all these colours, with the help of professor jeremy baumberg.
from www.youtube.com
The lighter gasoline will float on top. As soon as you add water to a tank of gasoline, all of the water will settle to the bottom of the tank. In fact, when water and gas mix, they don’t really get along. When the fuel pump is pumping, the fuel and water are mixed. Many have wondered whether water can float on top of gasoline or if the two substances are completely incompatible. Danielle finds out why petrol creates a rainbow effect when in contact with water, and how the behaviour of light can create all these colours, with the help of professor jeremy baumberg. Can water float on top of gasoline? If the vehicle has been standing for a while, the water will be in the bottom of the tank. Gas and water don’t mix, and your car can’t run on water. Water is denser than gasoline, which means it’s heavier and will sink to the.
Liquids and Density experiment Why does oil float on water
Will Water Float On Top Of Gasoline If the vehicle has been standing for a while, the water will be in the bottom of the tank. In fact, when water and gas mix, they don’t really get along. What happens if water gets in your gas tank? Many have wondered whether water can float on top of gasoline or if the two substances are completely incompatible. As soon as you add water to a tank of gasoline, all of the water will settle to the bottom of the tank. Gas and water don’t mix, and your car can’t run on water. Can water float on top of gasoline? Danielle finds out why petrol creates a rainbow effect when in contact with water, and how the behaviour of light can create all these colours, with the help of professor jeremy baumberg. Water in fuel will cause jolting and sputtering among other issues. No, water does not float on gas. Have you ever stopped to think about whether water can float on gas? Water is denser than gasoline, which means it’s heavier and will sink to the. If the vehicle has been standing for a while, the water will be in the bottom of the tank. When the fuel pump is pumping, the fuel and water are mixed. The lighter gasoline will float on top. Fuel floats on top of the water and the water will stay at the bottom of the fuel tank when the vehicle has been standing for some time.
From exoxuvcxz.blob.core.windows.net
How To Tell If Gas Is Mixed With Water at Nancy Armstrong blog Will Water Float On Top Of Gasoline Many have wondered whether water can float on top of gasoline or if the two substances are completely incompatible. The lighter gasoline will float on top. In fact, when water and gas mix, they don’t really get along. Fuel floats on top of the water and the water will stay at the bottom of the fuel tank when the vehicle. Will Water Float On Top Of Gasoline.
From stock.adobe.com
Solids of different densities. Floating or sinking in water Will Water Float On Top Of Gasoline The lighter gasoline will float on top. When the fuel pump is pumping, the fuel and water are mixed. Water is denser than gasoline, which means it’s heavier and will sink to the. What happens if water gets in your gas tank? Gas and water don’t mix, and your car can’t run on water. Fuel floats on top of the. Will Water Float On Top Of Gasoline.
From www.youtube.com
Gas Floats on Water Demo YouTube Will Water Float On Top Of Gasoline Fuel floats on top of the water and the water will stay at the bottom of the fuel tank when the vehicle has been standing for some time. Gas and water don’t mix, and your car can’t run on water. Water in fuel will cause jolting and sputtering among other issues. Water is denser than gasoline, which means it’s heavier. Will Water Float On Top Of Gasoline.
From gioxdbwro.blob.core.windows.net
Does Water Float In Gas at Sarah Beard blog Will Water Float On Top Of Gasoline Gas and water don’t mix, and your car can’t run on water. Fuel floats on top of the water and the water will stay at the bottom of the fuel tank when the vehicle has been standing for some time. No, water does not float on gas. The lighter gasoline will float on top. Can water float on top of. Will Water Float On Top Of Gasoline.
From laptrinhx.com
Why do things float in water? LaptrinhX / News Will Water Float On Top Of Gasoline Many have wondered whether water can float on top of gasoline or if the two substances are completely incompatible. If the vehicle has been standing for a while, the water will be in the bottom of the tank. Have you ever stopped to think about whether water can float on gas? Danielle finds out why petrol creates a rainbow effect. Will Water Float On Top Of Gasoline.
From ar.inspiredpencil.com
Does Water Float Will Water Float On Top Of Gasoline The lighter gasoline will float on top. Danielle finds out why petrol creates a rainbow effect when in contact with water, and how the behaviour of light can create all these colours, with the help of professor jeremy baumberg. Can water float on top of gasoline? Gas and water don’t mix, and your car can’t run on water. Water in. Will Water Float On Top Of Gasoline.
From www.utilitysmarts.com
Does Gas Float On Top Of Diesel? UtilitySmarts Will Water Float On Top Of Gasoline Can water float on top of gasoline? Danielle finds out why petrol creates a rainbow effect when in contact with water, and how the behaviour of light can create all these colours, with the help of professor jeremy baumberg. Have you ever stopped to think about whether water can float on gas? What happens if water gets in your gas. Will Water Float On Top Of Gasoline.
From www.edusmartzone.com
Why Does Oil Float On Water? All You Want To Know EDU Smart Zone Will Water Float On Top Of Gasoline The lighter gasoline will float on top. Water is denser than gasoline, which means it’s heavier and will sink to the. Water in fuel will cause jolting and sputtering among other issues. If the vehicle has been standing for a while, the water will be in the bottom of the tank. When the fuel pump is pumping, the fuel and. Will Water Float On Top Of Gasoline.
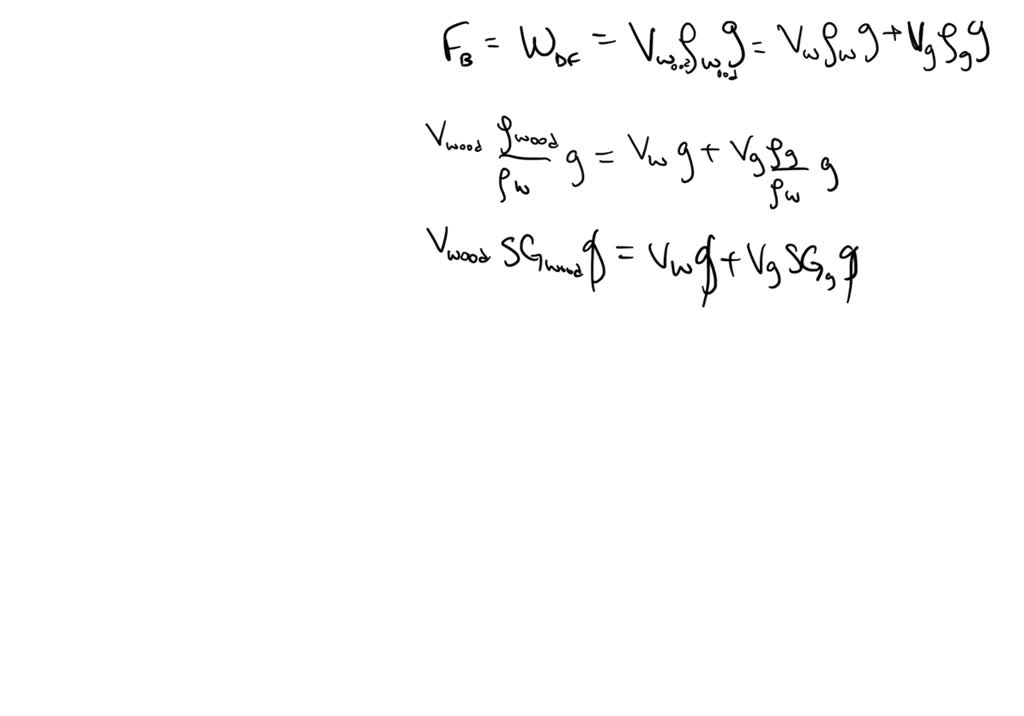
From www.numerade.com
block of wood is floating at the interface between layer of gasoline Will Water Float On Top Of Gasoline What happens if water gets in your gas tank? Danielle finds out why petrol creates a rainbow effect when in contact with water, and how the behaviour of light can create all these colours, with the help of professor jeremy baumberg. If the vehicle has been standing for a while, the water will be in the bottom of the tank.. Will Water Float On Top Of Gasoline.
From hxepvpzht.blob.core.windows.net
What Materials Float Best In Water at Thomas Walden blog Will Water Float On Top Of Gasoline Water in fuel will cause jolting and sputtering among other issues. Water is denser than gasoline, which means it’s heavier and will sink to the. Gas and water don’t mix, and your car can’t run on water. Many have wondered whether water can float on top of gasoline or if the two substances are completely incompatible. What happens if water. Will Water Float On Top Of Gasoline.
From www.sydneydieselcentre.com.au
Fuel Contamination Sydney Diesel Centre can help. Will Water Float On Top Of Gasoline Gas and water don’t mix, and your car can’t run on water. Have you ever stopped to think about whether water can float on gas? Can water float on top of gasoline? Water in fuel will cause jolting and sputtering among other issues. Water is denser than gasoline, which means it’s heavier and will sink to the. What happens if. Will Water Float On Top Of Gasoline.
From gioxdbwro.blob.core.windows.net
Does Water Float In Gas at Sarah Beard blog Will Water Float On Top Of Gasoline Gas and water don’t mix, and your car can’t run on water. Danielle finds out why petrol creates a rainbow effect when in contact with water, and how the behaviour of light can create all these colours, with the help of professor jeremy baumberg. As soon as you add water to a tank of gasoline, all of the water will. Will Water Float On Top Of Gasoline.
From www.youtube.com
Water In Gasoline What Does it Look Like? YouTube Will Water Float On Top Of Gasoline Have you ever stopped to think about whether water can float on gas? What happens if water gets in your gas tank? Many have wondered whether water can float on top of gasoline or if the two substances are completely incompatible. Can water float on top of gasoline? If the vehicle has been standing for a while, the water will. Will Water Float On Top Of Gasoline.
From www.thoughtco.com
Table of Densities of Common Substances Will Water Float On Top Of Gasoline What happens if water gets in your gas tank? Many have wondered whether water can float on top of gasoline or if the two substances are completely incompatible. In fact, when water and gas mix, they don’t really get along. When the fuel pump is pumping, the fuel and water are mixed. Can water float on top of gasoline? As. Will Water Float On Top Of Gasoline.
From sciencing.com
How to Make Things Float in Water Sciencing Will Water Float On Top Of Gasoline Water is denser than gasoline, which means it’s heavier and will sink to the. Fuel floats on top of the water and the water will stay at the bottom of the fuel tank when the vehicle has been standing for some time. If the vehicle has been standing for a while, the water will be in the bottom of the. Will Water Float On Top Of Gasoline.
From gioxdbwro.blob.core.windows.net
Does Water Float In Gas at Sarah Beard blog Will Water Float On Top Of Gasoline In fact, when water and gas mix, they don’t really get along. What happens if water gets in your gas tank? If the vehicle has been standing for a while, the water will be in the bottom of the tank. When the fuel pump is pumping, the fuel and water are mixed. As soon as you add water to a. Will Water Float On Top Of Gasoline.
From musicbykatie.com
Does Heavy Water Ice Float Or Sink? All Answers Will Water Float On Top Of Gasoline Many have wondered whether water can float on top of gasoline or if the two substances are completely incompatible. Can water float on top of gasoline? Fuel floats on top of the water and the water will stay at the bottom of the fuel tank when the vehicle has been standing for some time. Have you ever stopped to think. Will Water Float On Top Of Gasoline.
From www.snexplores.org
How salty does the sea have to be for an egg to float? Will Water Float On Top Of Gasoline Water is denser than gasoline, which means it’s heavier and will sink to the. Water in fuel will cause jolting and sputtering among other issues. Danielle finds out why petrol creates a rainbow effect when in contact with water, and how the behaviour of light can create all these colours, with the help of professor jeremy baumberg. Have you ever. Will Water Float On Top Of Gasoline.
From www.coursehero.com
[Solved] Gasoline is a nonpolar liquid that will float on water Will Water Float On Top Of Gasoline Can water float on top of gasoline? As soon as you add water to a tank of gasoline, all of the water will settle to the bottom of the tank. If the vehicle has been standing for a while, the water will be in the bottom of the tank. When the fuel pump is pumping, the fuel and water are. Will Water Float On Top Of Gasoline.
From talkradionews.com
Why Does Oil Float on Water? Talk Radio News Will Water Float On Top Of Gasoline What happens if water gets in your gas tank? Water is denser than gasoline, which means it’s heavier and will sink to the. Water in fuel will cause jolting and sputtering among other issues. Gas and water don’t mix, and your car can’t run on water. When the fuel pump is pumping, the fuel and water are mixed. Many have. Will Water Float On Top Of Gasoline.
From gioxdbwro.blob.core.windows.net
Does Water Float In Gas at Sarah Beard blog Will Water Float On Top Of Gasoline Water is denser than gasoline, which means it’s heavier and will sink to the. Gas and water don’t mix, and your car can’t run on water. As soon as you add water to a tank of gasoline, all of the water will settle to the bottom of the tank. Have you ever stopped to think about whether water can float. Will Water Float On Top Of Gasoline.
From hxebkytho.blob.core.windows.net
Will Silk Flowers Float In Water at Norman Mitchell blog Will Water Float On Top Of Gasoline No, water does not float on gas. Danielle finds out why petrol creates a rainbow effect when in contact with water, and how the behaviour of light can create all these colours, with the help of professor jeremy baumberg. What happens if water gets in your gas tank? Can water float on top of gasoline? Water in fuel will cause. Will Water Float On Top Of Gasoline.
From chiangmaiplaces.net
Does Wood Float On Water? 13 Most Correct Answers Will Water Float On Top Of Gasoline Have you ever stopped to think about whether water can float on gas? Water in fuel will cause jolting and sputtering among other issues. As soon as you add water to a tank of gasoline, all of the water will settle to the bottom of the tank. Can water float on top of gasoline? Water is denser than gasoline, which. Will Water Float On Top Of Gasoline.
From mtg-aviation.com
Discover the Surprising Truth Can Water Float on Top of Gasoline? Will Water Float On Top Of Gasoline No, water does not float on gas. In fact, when water and gas mix, they don’t really get along. Danielle finds out why petrol creates a rainbow effect when in contact with water, and how the behaviour of light can create all these colours, with the help of professor jeremy baumberg. Water in fuel will cause jolting and sputtering among. Will Water Float On Top Of Gasoline.
From www.teachoo.com
Why do objects Float or Sink in water? Teachoo Concepts Will Water Float On Top Of Gasoline Many have wondered whether water can float on top of gasoline or if the two substances are completely incompatible. Can water float on top of gasoline? Water in fuel will cause jolting and sputtering among other issues. Danielle finds out why petrol creates a rainbow effect when in contact with water, and how the behaviour of light can create all. Will Water Float On Top Of Gasoline.
From sites.google.com
Fluid Mechanics & Gas Laws Cole's Physics II site Will Water Float On Top Of Gasoline Can water float on top of gasoline? No, water does not float on gas. Water in fuel will cause jolting and sputtering among other issues. Fuel floats on top of the water and the water will stay at the bottom of the fuel tank when the vehicle has been standing for some time. If the vehicle has been standing for. Will Water Float On Top Of Gasoline.
From exorgyahn.blob.core.windows.net
How Do You Make Yourself Float In Water at Dianne Sievers blog Will Water Float On Top Of Gasoline Many have wondered whether water can float on top of gasoline or if the two substances are completely incompatible. Gas and water don’t mix, and your car can’t run on water. Fuel floats on top of the water and the water will stay at the bottom of the fuel tank when the vehicle has been standing for some time. In. Will Water Float On Top Of Gasoline.
From www.numerade.com
SOLVED 7. Gasoline is a nonpolar liquid that will float on water. 450 Will Water Float On Top Of Gasoline Have you ever stopped to think about whether water can float on gas? Water is denser than gasoline, which means it’s heavier and will sink to the. In fact, when water and gas mix, they don’t really get along. As soon as you add water to a tank of gasoline, all of the water will settle to the bottom of. Will Water Float On Top Of Gasoline.
From www.reddit.com
Seeing as Ariel Cookie can transform, and Black Pearl Cookie can freely Will Water Float On Top Of Gasoline The lighter gasoline will float on top. Have you ever stopped to think about whether water can float on gas? What happens if water gets in your gas tank? Can water float on top of gasoline? Danielle finds out why petrol creates a rainbow effect when in contact with water, and how the behaviour of light can create all these. Will Water Float On Top Of Gasoline.
From www.youtube.com
Liquids and Density experiment Why does oil float on water Will Water Float On Top Of Gasoline Gas and water don’t mix, and your car can’t run on water. As soon as you add water to a tank of gasoline, all of the water will settle to the bottom of the tank. The lighter gasoline will float on top. No, water does not float on gas. Can water float on top of gasoline? Water in fuel will. Will Water Float On Top Of Gasoline.
From www.thoughtco.com
Why Oil and Water Don't Mix Will Water Float On Top Of Gasoline Gas and water don’t mix, and your car can’t run on water. The lighter gasoline will float on top. Fuel floats on top of the water and the water will stay at the bottom of the fuel tank when the vehicle has been standing for some time. Have you ever stopped to think about whether water can float on gas?. Will Water Float On Top Of Gasoline.
From bluefin-sensor.en.made-in-china.com
Stainless Steel/PP/Plastic Liquid/Water/Fuel/Oil/Diesel/Propane Will Water Float On Top Of Gasoline When the fuel pump is pumping, the fuel and water are mixed. Have you ever stopped to think about whether water can float on gas? As soon as you add water to a tank of gasoline, all of the water will settle to the bottom of the tank. Fuel floats on top of the water and the water will stay. Will Water Float On Top Of Gasoline.
From www.dkfindout.com
Floating and Sinking Density of Liquids DK Find Out Will Water Float On Top Of Gasoline In fact, when water and gas mix, they don’t really get along. When the fuel pump is pumping, the fuel and water are mixed. Fuel floats on top of the water and the water will stay at the bottom of the fuel tank when the vehicle has been standing for some time. As soon as you add water to a. Will Water Float On Top Of Gasoline.
From www.science-sparks.com
Why do things float? Science Experiments for Kids Will Water Float On Top Of Gasoline Water in fuel will cause jolting and sputtering among other issues. Many have wondered whether water can float on top of gasoline or if the two substances are completely incompatible. Water is denser than gasoline, which means it’s heavier and will sink to the. When the fuel pump is pumping, the fuel and water are mixed. If the vehicle has. Will Water Float On Top Of Gasoline.
From www.youtube.com
Does Water Float? Can you Float Liquid Water on Liquid Water? YouTube Will Water Float On Top Of Gasoline What happens if water gets in your gas tank? Fuel floats on top of the water and the water will stay at the bottom of the fuel tank when the vehicle has been standing for some time. Have you ever stopped to think about whether water can float on gas? Water is denser than gasoline, which means it’s heavier and. Will Water Float On Top Of Gasoline.