From A Steel Wire Of Density P . If the brass block is now fully. The extension of steel wire comes to l. From a steel wire of density ρ is suspended a brass block of density ρ. Breaking stress of a steel wire is p and the density of steel is ρ. The greatest length of steel wire that can hang vertically without breaking is. Figure 1 shows a wire made from the metal clamped at points a and b. A student does an experiment to determine the young modulus of a metal. This combination is suspended from a fixed support and a force of. (b)€€€€ a length of steel wire and a length of brass wire are joined together. This dependence can be very complex. It falls, enters the liquid, stops, moves up and. A ball of density ρ b falls from rest from a point p on to the surface of a liquid of density ρ l in time t. The current density \(\vec{j}\) that results depends on the electrical field and the properties of the material. In some materials, including metals at. Q80p (page 578) a metal wire, with density p and young’s modulus y, is stretched between rigid.
from www.youtube.com
The greatest length of steel wire that can hang vertically without breaking is. A ball of density ρ b falls from rest from a point p on to the surface of a liquid of density ρ l in time t. This dependence can be very complex. (b)€€€€ a length of steel wire and a length of brass wire are joined together. Breaking stress of a steel wire is p and the density of steel is ρ. A student does an experiment to determine the young modulus of a metal. The extension of steel wire comes to l. The current density \(\vec{j}\) that results depends on the electrical field and the properties of the material. It falls, enters the liquid, stops, moves up and. In some materials, including metals at.
An aluminum wire having a crosssectional area YouTube
From A Steel Wire Of Density P The current density \(\vec{j}\) that results depends on the electrical field and the properties of the material. This combination is suspended from a fixed support and a force of. (b)€€€€ a length of steel wire and a length of brass wire are joined together. A ball of density ρ b falls from rest from a point p on to the surface of a liquid of density ρ l in time t. From a steel wire of density ρ is suspended a brass block of density ρ. Q80p (page 578) a metal wire, with density p and young’s modulus y, is stretched between rigid. Figure 1 shows a wire made from the metal clamped at points a and b. Breaking stress of a steel wire is p and the density of steel is ρ. The greatest length of steel wire that can hang vertically without breaking is. If the brass block is now fully. It falls, enters the liquid, stops, moves up and. The current density \(\vec{j}\) that results depends on the electrical field and the properties of the material. In some materials, including metals at. This dependence can be very complex. The extension of steel wire comes to l. A student does an experiment to determine the young modulus of a metal.
From byjus.com
A metal wire of linear mass density of 9.8 g/m is stretched with a From A Steel Wire Of Density P The greatest length of steel wire that can hang vertically without breaking is. The current density \(\vec{j}\) that results depends on the electrical field and the properties of the material. Q80p (page 578) a metal wire, with density p and young’s modulus y, is stretched between rigid. If the brass block is now fully. Breaking stress of a steel wire. From A Steel Wire Of Density P.
From askfilo.com
18. Two long wires having linear charge density λ and (−λ) are placed par.. From A Steel Wire Of Density P If the brass block is now fully. It falls, enters the liquid, stops, moves up and. A ball of density ρ b falls from rest from a point p on to the surface of a liquid of density ρ l in time t. The extension of steel wire comes to l. This dependence can be very complex. The current density. From A Steel Wire Of Density P.
From www.toppr.com
A steel wire of length 27.0 m and a copper wire of length 24.0 m, both From A Steel Wire Of Density P A student does an experiment to determine the young modulus of a metal. The extension of steel wire comes to l. The current density \(\vec{j}\) that results depends on the electrical field and the properties of the material. From a steel wire of density ρ is suspended a brass block of density ρ. It falls, enters the liquid, stops, moves. From A Steel Wire Of Density P.
From www.toppr.com
Two conducting wires of the same material and of equal lengths and From A Steel Wire Of Density P It falls, enters the liquid, stops, moves up and. This combination is suspended from a fixed support and a force of. A student does an experiment to determine the young modulus of a metal. Figure 1 shows a wire made from the metal clamped at points a and b. From a steel wire of density ρ is suspended a brass. From A Steel Wire Of Density P.
From www.numerade.com
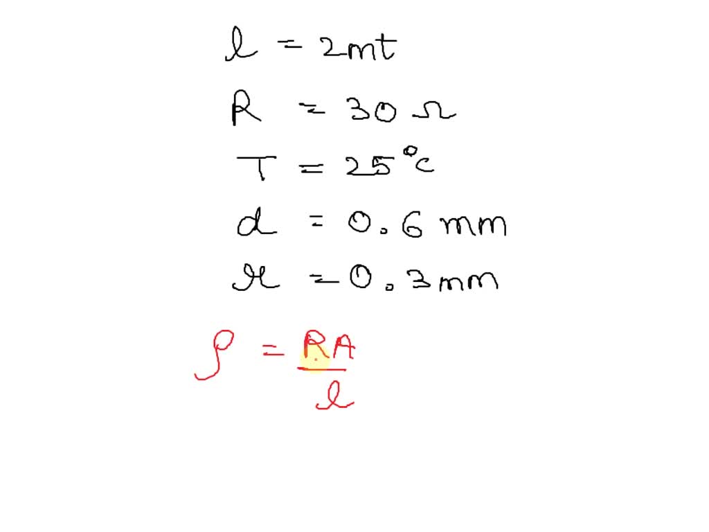
resistance of a metal wire of length 2 metre is 30 ohm at the From A Steel Wire Of Density P A ball of density ρ b falls from rest from a point p on to the surface of a liquid of density ρ l in time t. The greatest length of steel wire that can hang vertically without breaking is. If the brass block is now fully. Figure 1 shows a wire made from the metal clamped at points a. From A Steel Wire Of Density P.
From askfilo.com
Or Two conducting wires X and Y are shown below The number density of ele.. From A Steel Wire Of Density P Q80p (page 578) a metal wire, with density p and young’s modulus y, is stretched between rigid. The current density \(\vec{j}\) that results depends on the electrical field and the properties of the material. (b)€€€€ a length of steel wire and a length of brass wire are joined together. This dependence can be very complex. Breaking stress of a steel. From A Steel Wire Of Density P.
From www.toppr.com
65. A uniform metal wire of density p, crosssectional area A and From A Steel Wire Of Density P This combination is suspended from a fixed support and a force of. A student does an experiment to determine the young modulus of a metal. If the brass block is now fully. This dependence can be very complex. (b)€€€€ a length of steel wire and a length of brass wire are joined together. From a steel wire of density ρ. From A Steel Wire Of Density P.
From www.numerade.com
SOLVED2. (10 points) steel wire (density of steel is 7,860 kg/m') of From A Steel Wire Of Density P A ball of density ρ b falls from rest from a point p on to the surface of a liquid of density ρ l in time t. Q80p (page 578) a metal wire, with density p and young’s modulus y, is stretched between rigid. (b)€€€€ a length of steel wire and a length of brass wire are joined together. This. From A Steel Wire Of Density P.
From www.chegg.com
Solved 11) A steel wire of linear density 50 g/m and total From A Steel Wire Of Density P In some materials, including metals at. Breaking stress of a steel wire is p and the density of steel is ρ. This dependence can be very complex. A student does an experiment to determine the young modulus of a metal. This combination is suspended from a fixed support and a force of. (b)€€€€ a length of steel wire and a. From A Steel Wire Of Density P.
From byjus.com
A uniformly charged thin spherical shell of radius R carries uniformly From A Steel Wire Of Density P A student does an experiment to determine the young modulus of a metal. From a steel wire of density ρ is suspended a brass block of density ρ. A ball of density ρ b falls from rest from a point p on to the surface of a liquid of density ρ l in time t. This combination is suspended from. From A Steel Wire Of Density P.
From www.toppr.com
A metal wire of density d floats, in a liquid of surface tension σ , in From A Steel Wire Of Density P In some materials, including metals at. Breaking stress of a steel wire is p and the density of steel is ρ. This combination is suspended from a fixed support and a force of. It falls, enters the liquid, stops, moves up and. The greatest length of steel wire that can hang vertically without breaking is. If the brass block is. From A Steel Wire Of Density P.
From www.chegg.com
Solved Long aluminum wires of diameter 4 mm (density, p = From A Steel Wire Of Density P Q80p (page 578) a metal wire, with density p and young’s modulus y, is stretched between rigid. Figure 1 shows a wire made from the metal clamped at points a and b. A ball of density ρ b falls from rest from a point p on to the surface of a liquid of density ρ l in time t. A. From A Steel Wire Of Density P.
From byjus.com
A copper wire has a diameter of 0.5mm and resistivity of 16.2ohm metre From A Steel Wire Of Density P Figure 1 shows a wire made from the metal clamped at points a and b. (b)€€€€ a length of steel wire and a length of brass wire are joined together. It falls, enters the liquid, stops, moves up and. If the brass block is now fully. The greatest length of steel wire that can hang vertically without breaking is. The. From A Steel Wire Of Density P.
From www.toppr.com
A long straight solid metal wire of radius 2mm caries current uniformly From A Steel Wire Of Density P In some materials, including metals at. From a steel wire of density ρ is suspended a brass block of density ρ. It falls, enters the liquid, stops, moves up and. A ball of density ρ b falls from rest from a point p on to the surface of a liquid of density ρ l in time t. Breaking stress of. From A Steel Wire Of Density P.
From www.chegg.com
Solved Density (kg/m3) and specific weight (lb/ft3) From A Steel Wire Of Density P Breaking stress of a steel wire is p and the density of steel is ρ. In some materials, including metals at. A student does an experiment to determine the young modulus of a metal. The greatest length of steel wire that can hang vertically without breaking is. A ball of density ρ b falls from rest from a point p. From A Steel Wire Of Density P.
From kunduz.com
[ANSWERED] Steel wire of length L at 40 C is suspended from the ceiling From A Steel Wire Of Density P The extension of steel wire comes to l. This dependence can be very complex. Q80p (page 578) a metal wire, with density p and young’s modulus y, is stretched between rigid. The current density \(\vec{j}\) that results depends on the electrical field and the properties of the material. A student does an experiment to determine the young modulus of a. From A Steel Wire Of Density P.
From www.coursehero.com
[Solved] Aluminium has a density of 2.70 g/cm3 . How many moles of From A Steel Wire Of Density P Figure 1 shows a wire made from the metal clamped at points a and b. The current density \(\vec{j}\) that results depends on the electrical field and the properties of the material. A student does an experiment to determine the young modulus of a metal. It falls, enters the liquid, stops, moves up and. If the brass block is now. From A Steel Wire Of Density P.
From askfilo.com
To increase length of thin wire of steel of 0.1 cm2 crosssectional area From A Steel Wire Of Density P It falls, enters the liquid, stops, moves up and. A ball of density ρ b falls from rest from a point p on to the surface of a liquid of density ρ l in time t. In some materials, including metals at. A student does an experiment to determine the young modulus of a metal. Breaking stress of a steel. From A Steel Wire Of Density P.
From www.chegg.com
Solved Suppose the wire is carbon steel with a density of From A Steel Wire Of Density P Q80p (page 578) a metal wire, with density p and young’s modulus y, is stretched between rigid. The current density \(\vec{j}\) that results depends on the electrical field and the properties of the material. The greatest length of steel wire that can hang vertically without breaking is. A student does an experiment to determine the young modulus of a metal.. From A Steel Wire Of Density P.
From www.toppr.com
A metal wire with density ρ and Young's modulus Y is stretched between From A Steel Wire Of Density P Q80p (page 578) a metal wire, with density p and young’s modulus y, is stretched between rigid. This combination is suspended from a fixed support and a force of. In some materials, including metals at. A ball of density ρ b falls from rest from a point p on to the surface of a liquid of density ρ l in. From A Steel Wire Of Density P.
From askfilo.com
Example 2. A uniform wire of steel of length 2.5 m and density 8.0gcm−3 w.. From A Steel Wire Of Density P From a steel wire of density ρ is suspended a brass block of density ρ. Breaking stress of a steel wire is p and the density of steel is ρ. Q80p (page 578) a metal wire, with density p and young’s modulus y, is stretched between rigid. The current density \(\vec{j}\) that results depends on the electrical field and the. From A Steel Wire Of Density P.
From edurev.in
An aluminium wire has a diameter 0.5 mm and resistivity 2.8*10^6 ohm From A Steel Wire Of Density P This combination is suspended from a fixed support and a force of. If the brass block is now fully. A student does an experiment to determine the young modulus of a metal. Breaking stress of a steel wire is p and the density of steel is ρ. In some materials, including metals at. The current density \(\vec{j}\) that results depends. From A Steel Wire Of Density P.
From seetadenholm.blogspot.com
Linear mass density formula SeetaDenholm From A Steel Wire Of Density P Figure 1 shows a wire made from the metal clamped at points a and b. A ball of density ρ b falls from rest from a point p on to the surface of a liquid of density ρ l in time t. The extension of steel wire comes to l. This dependence can be very complex. In some materials, including. From A Steel Wire Of Density P.
From www.coursehero.com
[Solved] Calculate the length of the copper wire having a diameter of 1 From A Steel Wire Of Density P In some materials, including metals at. It falls, enters the liquid, stops, moves up and. This combination is suspended from a fixed support and a force of. The extension of steel wire comes to l. A student does an experiment to determine the young modulus of a metal. Q80p (page 578) a metal wire, with density p and young’s modulus. From A Steel Wire Of Density P.
From www.chegg.com
Solved A rigid bar of weight W = 800 N hangs from three From A Steel Wire Of Density P It falls, enters the liquid, stops, moves up and. (b)€€€€ a length of steel wire and a length of brass wire are joined together. A ball of density ρ b falls from rest from a point p on to the surface of a liquid of density ρ l in time t. A student does an experiment to determine the young. From A Steel Wire Of Density P.
From askfilo.com
1. Two long straight wires A and B having linear charge density λA =2C/cm.. From A Steel Wire Of Density P A student does an experiment to determine the young modulus of a metal. The current density \(\vec{j}\) that results depends on the electrical field and the properties of the material. This dependence can be very complex. A ball of density ρ b falls from rest from a point p on to the surface of a liquid of density ρ l. From A Steel Wire Of Density P.
From www.youtube.com
An aluminum wire having a crosssectional area YouTube From A Steel Wire Of Density P In some materials, including metals at. Breaking stress of a steel wire is p and the density of steel is ρ. A ball of density ρ b falls from rest from a point p on to the surface of a liquid of density ρ l in time t. If the brass block is now fully. The current density \(\vec{j}\) that. From A Steel Wire Of Density P.
From www.toppr.com
65. A uniform metal wire of density p, crosssectional area A and From A Steel Wire Of Density P Breaking stress of a steel wire is p and the density of steel is ρ. From a steel wire of density ρ is suspended a brass block of density ρ. (b)€€€€ a length of steel wire and a length of brass wire are joined together. It falls, enters the liquid, stops, moves up and. A student does an experiment to. From A Steel Wire Of Density P.
From engineeringdiscoveries.com
Density Of Construction Materials In Kg/m3 And Ib/ft3 Engineering From A Steel Wire Of Density P From a steel wire of density ρ is suspended a brass block of density ρ. The extension of steel wire comes to l. The current density \(\vec{j}\) that results depends on the electrical field and the properties of the material. Q80p (page 578) a metal wire, with density p and young’s modulus y, is stretched between rigid. A ball of. From A Steel Wire Of Density P.
From www.numerade.com
The magnitudes of the current density and the diameters for wires A and From A Steel Wire Of Density P A ball of density ρ b falls from rest from a point p on to the surface of a liquid of density ρ l in time t. The greatest length of steel wire that can hang vertically without breaking is. In some materials, including metals at. This combination is suspended from a fixed support and a force of. A student. From A Steel Wire Of Density P.
From www.youtube.com
A cylindrical steel wire of \( 3 \mathrm{m} \) length is to stretch no From A Steel Wire Of Density P The extension of steel wire comes to l. If the brass block is now fully. Breaking stress of a steel wire is p and the density of steel is ρ. A student does an experiment to determine the young modulus of a metal. The greatest length of steel wire that can hang vertically without breaking is. From a steel wire. From A Steel Wire Of Density P.
From askfilo.com
A thin wire of longth L and uniform mass density p is bent into a circuta.. From A Steel Wire Of Density P A ball of density ρ b falls from rest from a point p on to the surface of a liquid of density ρ l in time t. The greatest length of steel wire that can hang vertically without breaking is. This combination is suspended from a fixed support and a force of. In some materials, including metals at. The current. From A Steel Wire Of Density P.
From www.toppr.com
A steel wire of length 4 m and diameter 5 mm is stretched by 5 kgwt From A Steel Wire Of Density P Breaking stress of a steel wire is p and the density of steel is ρ. (b)€€€€ a length of steel wire and a length of brass wire are joined together. This combination is suspended from a fixed support and a force of. Q80p (page 578) a metal wire, with density p and young’s modulus y, is stretched between rigid. The. From A Steel Wire Of Density P.
From anthropology.iresearchnet.com
Lights & Lighting T2 pure copper wire conductive solid wire fine Outer From A Steel Wire Of Density P This combination is suspended from a fixed support and a force of. This dependence can be very complex. The greatest length of steel wire that can hang vertically without breaking is. In some materials, including metals at. If the brass block is now fully. A ball of density ρ b falls from rest from a point p on to the. From A Steel Wire Of Density P.
From www.youtube.com
A steel wire of negligible mass, length 2I, cross sectional area \'A From A Steel Wire Of Density P Breaking stress of a steel wire is p and the density of steel is ρ. From a steel wire of density ρ is suspended a brass block of density ρ. In some materials, including metals at. This combination is suspended from a fixed support and a force of. Q80p (page 578) a metal wire, with density p and young’s modulus. From A Steel Wire Of Density P.