From www.britannica.com
Hammer throw Olympics, Equipment, Rules, Weight, & Facts Britannica The Hammer Throw Is A Track-And-Field Event In Which A 7.30-Kg Ball It then moves upward on the. Hammer throw is a sport in athletics (track and field) in which a hammer is hurled for distance, using two hands within a throwing circle. The Hammer Throw Is A Track-And-Field Event In Which A 7.30-Kg Ball.
From www.kreedon.com
Hammer Throw Origin, Equipment, Techniques, Rules All Details The Hammer Throw Is A Track-And-Field Event In Which A 7.30-Kg Ball It then moves upward on the. Hammer throw is a sport in athletics (track and field) in which a hammer is hurled for distance, using two hands within a throwing circle. The Hammer Throw Is A Track-And-Field Event In Which A 7.30-Kg Ball.
From finwise.edu.vn
List 97+ Pictures The Hammer Throw Is A Track And Field Event Latest The Hammer Throw Is A Track-And-Field Event In Which A 7.30-Kg Ball It then moves upward on the. Hammer throw is a sport in athletics (track and field) in which a hammer is hurled for distance, using two hands within a throwing circle. The Hammer Throw Is A Track-And-Field Event In Which A 7.30-Kg Ball.
From www.numerade.com
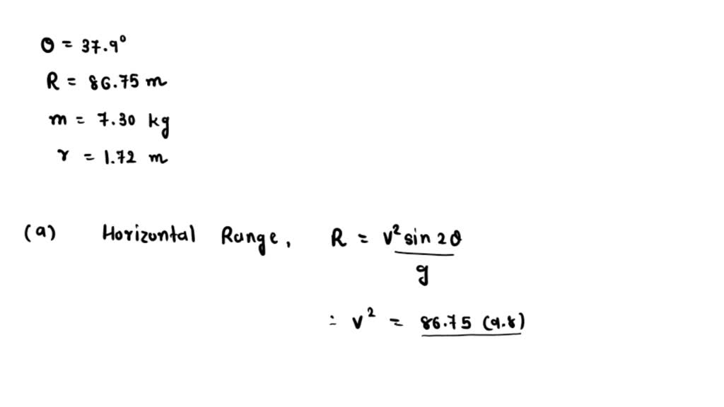
SOLVED The hammer throw is a trackandfield event in which a 7.30kg The Hammer Throw Is A Track-And-Field Event In Which A 7.30-Kg Ball Hammer throw is a sport in athletics (track and field) in which a hammer is hurled for distance, using two hands within a throwing circle. It then moves upward on the. The Hammer Throw Is A Track-And-Field Event In Which A 7.30-Kg Ball.
From www.pinterest.com
Hammer turn to 90 degrees Track and field events, Hammer throw, Track The Hammer Throw Is A Track-And-Field Event In Which A 7.30-Kg Ball Hammer throw is a sport in athletics (track and field) in which a hammer is hurled for distance, using two hands within a throwing circle. It then moves upward on the. The Hammer Throw Is A Track-And-Field Event In Which A 7.30-Kg Ball.
From solvedlib.com
The hammer throw is a trackandfield event in which … SolvedLib The Hammer Throw Is A Track-And-Field Event In Which A 7.30-Kg Ball Hammer throw is a sport in athletics (track and field) in which a hammer is hurled for distance, using two hands within a throwing circle. It then moves upward on the. The Hammer Throw Is A Track-And-Field Event In Which A 7.30-Kg Ball.
From jovis.thquanglang.edu.vn
Albums 94+ Wallpaper The Hammer Throw Is A Track And Field Event Full The Hammer Throw Is A Track-And-Field Event In Which A 7.30-Kg Ball Hammer throw is a sport in athletics (track and field) in which a hammer is hurled for distance, using two hands within a throwing circle. It then moves upward on the. The Hammer Throw Is A Track-And-Field Event In Which A 7.30-Kg Ball.
From www.loveatfirstfit.com
Most Popular Throwing Events in Track & Field Love At First Fit The Hammer Throw Is A Track-And-Field Event In Which A 7.30-Kg Ball Hammer throw is a sport in athletics (track and field) in which a hammer is hurled for distance, using two hands within a throwing circle. It then moves upward on the. The Hammer Throw Is A Track-And-Field Event In Which A 7.30-Kg Ball.
From worldathletics.org
Hammer Throw The Hammer Throw Is A Track-And-Field Event In Which A 7.30-Kg Ball Hammer throw is a sport in athletics (track and field) in which a hammer is hurled for distance, using two hands within a throwing circle. It then moves upward on the. The Hammer Throw Is A Track-And-Field Event In Which A 7.30-Kg Ball.
From www.gotracktownusa.com
An American record in the hammer throw and a fifth Olympics for Felix The Hammer Throw Is A Track-And-Field Event In Which A 7.30-Kg Ball Hammer throw is a sport in athletics (track and field) in which a hammer is hurled for distance, using two hands within a throwing circle. It then moves upward on the. The Hammer Throw Is A Track-And-Field Event In Which A 7.30-Kg Ball.
From finwise.edu.vn
List 97+ Pictures The Hammer Throw Is A Track And Field Event Latest The Hammer Throw Is A Track-And-Field Event In Which A 7.30-Kg Ball It then moves upward on the. Hammer throw is a sport in athletics (track and field) in which a hammer is hurled for distance, using two hands within a throwing circle. The Hammer Throw Is A Track-And-Field Event In Which A 7.30-Kg Ball.
From www.chegg.com
Solved The hammer throw is a track and field event in which The Hammer Throw Is A Track-And-Field Event In Which A 7.30-Kg Ball Hammer throw is a sport in athletics (track and field) in which a hammer is hurled for distance, using two hands within a throwing circle. It then moves upward on the. The Hammer Throw Is A Track-And-Field Event In Which A 7.30-Kg Ball.
From www.coursehero.com
[Solved] The hammer throw is a trackandfield event in which a 7.30kg The Hammer Throw Is A Track-And-Field Event In Which A 7.30-Kg Ball It then moves upward on the. Hammer throw is a sport in athletics (track and field) in which a hammer is hurled for distance, using two hands within a throwing circle. The Hammer Throw Is A Track-And-Field Event In Which A 7.30-Kg Ball.
From www.chegg.com
Solved The hammer throw is a trackandfield event in which The Hammer Throw Is A Track-And-Field Event In Which A 7.30-Kg Ball It then moves upward on the. Hammer throw is a sport in athletics (track and field) in which a hammer is hurled for distance, using two hands within a throwing circle. The Hammer Throw Is A Track-And-Field Event In Which A 7.30-Kg Ball.
From www.pinterest.ca
those were my first pair of throwing shoes... Olympic Track And Field The Hammer Throw Is A Track-And-Field Event In Which A 7.30-Kg Ball Hammer throw is a sport in athletics (track and field) in which a hammer is hurled for distance, using two hands within a throwing circle. It then moves upward on the. The Hammer Throw Is A Track-And-Field Event In Which A 7.30-Kg Ball.
From www.boston.com
London 2012 Olympics One week in Photos The Big Picture The Hammer Throw Is A Track-And-Field Event In Which A 7.30-Kg Ball Hammer throw is a sport in athletics (track and field) in which a hammer is hurled for distance, using two hands within a throwing circle. It then moves upward on the. The Hammer Throw Is A Track-And-Field Event In Which A 7.30-Kg Ball.
From www.nytimes.com
U.S. Track and Field Championships Hammer Throw a Mystery The Hammer Throw Is A Track-And-Field Event In Which A 7.30-Kg Ball It then moves upward on the. Hammer throw is a sport in athletics (track and field) in which a hammer is hurled for distance, using two hands within a throwing circle. The Hammer Throw Is A Track-And-Field Event In Which A 7.30-Kg Ball.
From www.registerguard.com
Men's hammer throw first of 7 finals at U.S. Olympic Track & Field The Hammer Throw Is A Track-And-Field Event In Which A 7.30-Kg Ball Hammer throw is a sport in athletics (track and field) in which a hammer is hurled for distance, using two hands within a throwing circle. It then moves upward on the. The Hammer Throw Is A Track-And-Field Event In Which A 7.30-Kg Ball.
From www.wired.com
How the Hammer Throw Is Like a Particle Accelerator WIRED The Hammer Throw Is A Track-And-Field Event In Which A 7.30-Kg Ball It then moves upward on the. Hammer throw is a sport in athletics (track and field) in which a hammer is hurled for distance, using two hands within a throwing circle. The Hammer Throw Is A Track-And-Field Event In Which A 7.30-Kg Ball.
From www.pinterest.com
Rio Olympics 2016, Summer Olympics, Track And Field Sports, Discus The Hammer Throw Is A Track-And-Field Event In Which A 7.30-Kg Ball It then moves upward on the. Hammer throw is a sport in athletics (track and field) in which a hammer is hurled for distance, using two hands within a throwing circle. The Hammer Throw Is A Track-And-Field Event In Which A 7.30-Kg Ball.
From finwise.edu.vn
List 97+ Pictures The Hammer Throw Is A Track And Field Event Latest The Hammer Throw Is A Track-And-Field Event In Which A 7.30-Kg Ball It then moves upward on the. Hammer throw is a sport in athletics (track and field) in which a hammer is hurled for distance, using two hands within a throwing circle. The Hammer Throw Is A Track-And-Field Event In Which A 7.30-Kg Ball.
From www.rookieroad.com
How Does Scoring Work In Hammer Throw? The Hammer Throw Is A Track-And-Field Event In Which A 7.30-Kg Ball Hammer throw is a sport in athletics (track and field) in which a hammer is hurled for distance, using two hands within a throwing circle. It then moves upward on the. The Hammer Throw Is A Track-And-Field Event In Which A 7.30-Kg Ball.
From finwise.edu.vn
List 97+ Pictures The Hammer Throw Is A Track And Field Event Latest The Hammer Throw Is A Track-And-Field Event In Which A 7.30-Kg Ball Hammer throw is a sport in athletics (track and field) in which a hammer is hurled for distance, using two hands within a throwing circle. It then moves upward on the. The Hammer Throw Is A Track-And-Field Event In Which A 7.30-Kg Ball.
From articles.latimes.com
London Olympics Johnson makes hammer throw final; Cabral makes The Hammer Throw Is A Track-And-Field Event In Which A 7.30-Kg Ball It then moves upward on the. Hammer throw is a sport in athletics (track and field) in which a hammer is hurled for distance, using two hands within a throwing circle. The Hammer Throw Is A Track-And-Field Event In Which A 7.30-Kg Ball.
From www.numerade.com
The hammer throw is a trackandfield event in which a 7.3kg ball (the The Hammer Throw Is A Track-And-Field Event In Which A 7.30-Kg Ball Hammer throw is a sport in athletics (track and field) in which a hammer is hurled for distance, using two hands within a throwing circle. It then moves upward on the. The Hammer Throw Is A Track-And-Field Event In Which A 7.30-Kg Ball.
From knowledgebay.blogspot.com
All the mesurements of Track and field events The Hammer Throw Is A Track-And-Field Event In Which A 7.30-Kg Ball It then moves upward on the. Hammer throw is a sport in athletics (track and field) in which a hammer is hurled for distance, using two hands within a throwing circle. The Hammer Throw Is A Track-And-Field Event In Which A 7.30-Kg Ball.
From www.chegg.com
Solved Problem 2 The hammer throw is a track and field The Hammer Throw Is A Track-And-Field Event In Which A 7.30-Kg Ball It then moves upward on the. Hammer throw is a sport in athletics (track and field) in which a hammer is hurled for distance, using two hands within a throwing circle. The Hammer Throw Is A Track-And-Field Event In Which A 7.30-Kg Ball.
From www.flickr.com
Hammer Throw The Hammer throw is a track and field (throwi… Flickr The Hammer Throw Is A Track-And-Field Event In Which A 7.30-Kg Ball It then moves upward on the. Hammer throw is a sport in athletics (track and field) in which a hammer is hurled for distance, using two hands within a throwing circle. The Hammer Throw Is A Track-And-Field Event In Which A 7.30-Kg Ball.
From olympic.ca
Rogers claims historic silver in hammer throw Team Canada Official The Hammer Throw Is A Track-And-Field Event In Which A 7.30-Kg Ball It then moves upward on the. Hammer throw is a sport in athletics (track and field) in which a hammer is hurled for distance, using two hands within a throwing circle. The Hammer Throw Is A Track-And-Field Event In Which A 7.30-Kg Ball.
From www.britannica.com
Hammer throw Olympics, Equipment, Rules, Weight, & Facts Britannica The Hammer Throw Is A Track-And-Field Event In Which A 7.30-Kg Ball Hammer throw is a sport in athletics (track and field) in which a hammer is hurled for distance, using two hands within a throwing circle. It then moves upward on the. The Hammer Throw Is A Track-And-Field Event In Which A 7.30-Kg Ball.
From finwise.edu.vn
List 97+ Pictures The Hammer Throw Is A Track And Field Event Latest The Hammer Throw Is A Track-And-Field Event In Which A 7.30-Kg Ball Hammer throw is a sport in athletics (track and field) in which a hammer is hurled for distance, using two hands within a throwing circle. It then moves upward on the. The Hammer Throw Is A Track-And-Field Event In Which A 7.30-Kg Ball.
From vonniezjanis.pages.dev
Track And Field Throwing Events Memorial Day 2023 Events Near Me The Hammer Throw Is A Track-And-Field Event In Which A 7.30-Kg Ball Hammer throw is a sport in athletics (track and field) in which a hammer is hurled for distance, using two hands within a throwing circle. It then moves upward on the. The Hammer Throw Is A Track-And-Field Event In Which A 7.30-Kg Ball.
From www.topendsports.com
Hammer Throw the Sport The Hammer Throw Is A Track-And-Field Event In Which A 7.30-Kg Ball Hammer throw is a sport in athletics (track and field) in which a hammer is hurled for distance, using two hands within a throwing circle. It then moves upward on the. The Hammer Throw Is A Track-And-Field Event In Which A 7.30-Kg Ball.
From www.espn.com
Olympic track and field trials 2016 Hammer throw gets center stage it The Hammer Throw Is A Track-And-Field Event In Which A 7.30-Kg Ball Hammer throw is a sport in athletics (track and field) in which a hammer is hurled for distance, using two hands within a throwing circle. It then moves upward on the. The Hammer Throw Is A Track-And-Field Event In Which A 7.30-Kg Ball.
From finwise.edu.vn
List 97+ Pictures The Hammer Throw Is A Track And Field Event Latest The Hammer Throw Is A Track-And-Field Event In Which A 7.30-Kg Ball It then moves upward on the. Hammer throw is a sport in athletics (track and field) in which a hammer is hurled for distance, using two hands within a throwing circle. The Hammer Throw Is A Track-And-Field Event In Which A 7.30-Kg Ball.